Номер 455, страница 227 - гдз по алгебре 11 класс учебник Арефьева, Пирютко
Авторы: Арефьева И. Г., Пирютко О. Н.
Тип: Учебник
Издательство: Народная асвета
Год издания: 2020 - 2026
Цвет обложки: бирюзовый, зелёный с графиком
ISBN: 978-985-03-3165-6
Популярные ГДЗ в 11 классе
Упражнения для итогового повторения. Функции и их свойства - номер 455, страница 227.
№455 (с. 227)
Условие. №455 (с. 227)
скриншот условия
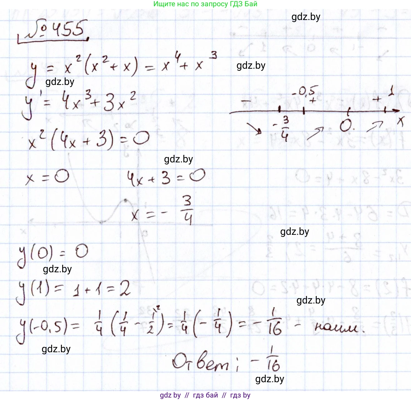
455. Найдите наименьшее значение функции $y = x^2 (x^2 + x)$ на отрезке $[-0,5; 1]$.
Решение. №455 (с. 227)
Решение 2. №455 (с. 227)
Для того чтобы найти наименьшее значение функции на отрезке, необходимо найти значения функции на концах этого отрезка и в критических точках, принадлежащих этому отрезку, а затем выбрать наименьшее из них.
Исходная функция: $y = x^2(x^2 + x)$. Для удобства дальнейших вычислений раскроем скобки:
$y = x^4 + x^3$
Теперь найдем производную функции для определения критических точек:
$y' = (x^4 + x^3)' = 4x^3 + 3x^2$
Приравняем производную к нулю, чтобы найти стационарные точки:
$4x^3 + 3x^2 = 0$
Вынесем общий множитель $x^2$ за скобки:
$x^2(4x + 3) = 0$
Это уравнение имеет два корня:
$x_1 = 0$
$x_2 = -3/4 = -0,75$
Проверим, какие из этих точек принадлежат заданному отрезку $[-0,5; 1]$.
Точка $x_1 = 0$ принадлежит отрезку $[-0,5; 1]$.
Точка $x_2 = -0,75$ не принадлежит отрезку $[-0,5; 1]$, так как $-0,75 < -0,5$.
Следовательно, нам нужно вычислить значения функции в точке $x=0$ и на концах отрезка: $x = -0,5$ и $x = 1$.
1. Значение функции на левом конце отрезка, при $x = -0,5$:
$y(-0,5) = (-0,5)^4 + (-0,5)^3 = 0,0625 - 0,125 = -0,0625$
2. Значение функции в критической точке, при $x = 0$:
$y(0) = 0^4 + 0^3 = 0$
3. Значение функции на правом конце отрезка, при $x = 1$:
$y(1) = 1^4 + 1^3 = 1 + 1 = 2$
Сравниваем полученные значения: $-0,0625$; $0$; $2$.
Наименьшее из этих значений равно $-0,0625$. В виде обыкновенной дроби это $-1/16$.
Ответ: $-0,0625$.
Другие задания:
Помогло решение? Оставьте отзыв в комментариях ниже.
Присоединяйтесь к Телеграм-группе @gdz_by_belarus
ПрисоединитьсяМы подготовили для вас ответ c подробным объяснением домашего задания по алгебре за 11 класс, для упражнения номер 455 расположенного на странице 227 к учебнику 2020 года издания для учащихся школ и гимназий.
Теперь на нашем сайте ГДЗ.ТОП вы всегда легко и бесплатно найдёте условие с правильным ответом на вопрос «Как решить ДЗ» и «Как сделать» задание по алгебре к упражнению №455 (с. 227), авторов: Арефьева (Ирина Глебовна), Пирютко (Ольга Николаевна), учебного пособия издательства Народная асвета.