Номер 439, страница 225 - гдз по алгебре 11 класс учебник Арефьева, Пирютко
Авторы: Арефьева И. Г., Пирютко О. Н.
Тип: Учебник
Издательство: Народная асвета
Год издания: 2020 - 2026
Цвет обложки: бирюзовый, зелёный с графиком
ISBN: 978-985-03-3165-6
Популярные ГДЗ в 11 классе
Упражнения для итогового повторения. Функции и их свойства - номер 439, страница 225.
№439 (с. 225)
Условие. №439 (с. 225)
скриншот условия
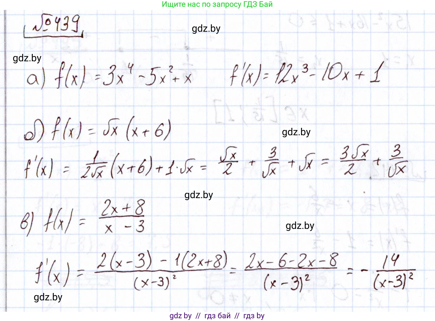
439. Найдите производную функции, используя правила дифференцирования:
a) $f(x) = 3x^4 - 5x^2 + x$;
б) $f(x) = \sqrt{x(x + 6)}$;
В) $f(x) = \frac{2x + 8}{x - 3}$.
Решение. №439 (с. 225)
Решение 2. №439 (с. 225)
а) $f(x) = 3x^4 - 5x^2 + x$
Для нахождения производной этой функции, являющейся многочленом, воспользуемся правилами дифференцирования суммы/разности функций, правилом вынесения константы за знак производной и формулой производной степенной функции $(x^n)' = nx^{n-1}$.
Производная суммы/разности функций равна сумме/разности производных:
$f'(x) = (3x^4 - 5x^2 + x)' = (3x^4)' - (5x^2)' + (x)'$.
Теперь находим производную каждого слагаемого:
$(3x^4)' = 3 \cdot (x^4)' = 3 \cdot 4x^{4-1} = 12x^3$.
$(5x^2)' = 5 \cdot (x^2)' = 5 \cdot 2x^{2-1} = 10x$.
$(x)' = 1 \cdot x^{1-1} = 1 \cdot x^0 = 1$.
Собираем все вместе:
$f'(x) = 12x^3 - 10x + 1$.
Ответ: $f'(x) = 12x^3 - 10x + 1$.
б) $f(x) = \sqrt{x(x+6)}$
Сначала преобразуем выражение под корнем:
$f(x) = \sqrt{x^2 + 6x}$.
Эту функцию можно представить в виде степенной функции: $f(x) = (x^2 + 6x)^{1/2}$.
Для нахождения производной используем правило дифференцирования сложной функции (цепное правило): $(g(h(x)))' = g'(h(x)) \cdot h'(x)$.
В данном случае внешняя функция $g(u) = u^{1/2}$, а внутренняя функция $h(x) = x^2 + 6x$.
Находим их производные:
$g'(u) = (u^{1/2})' = \frac{1}{2}u^{-1/2} = \frac{1}{2\sqrt{u}}$.
$h'(x) = (x^2 + 6x)' = 2x + 6$.
Теперь применяем цепное правило, подставляя $h(x)$ вместо $u$ в $g'(u)$:
$f'(x) = \frac{1}{2\sqrt{x^2 + 6x}} \cdot (2x + 6)$.
Упростим полученное выражение:
$f'(x) = \frac{2(x+3)}{2\sqrt{x^2 + 6x}} = \frac{x+3}{\sqrt{x^2 + 6x}}$.
Выражение можно также записать в исходном виде:
$f'(x) = \frac{x+3}{\sqrt{x(x+6)}}$.
Ответ: $f'(x) = \frac{x+3}{\sqrt{x(x+6)}}$.
в) $f(x) = \frac{2x+8}{x-3}$
Данная функция является частным двух функций. Для нахождения ее производной воспользуемся правилом дифференцирования частного: $(\frac{u}{v})' = \frac{u'v - uv'}{v^2}$.
Обозначим числитель как $u(x) = 2x+8$ и знаменатель как $v(x) = x-3$.
Найдем производные числителя и знаменателя:
$u'(x) = (2x+8)' = 2$.
$v'(x) = (x-3)' = 1$.
Подставляем эти значения в формулу производной частного:
$f'(x) = \frac{(2x+8)'(x-3) - (2x+8)(x-3)'}{(x-3)^2} = \frac{2(x-3) - (2x+8) \cdot 1}{(x-3)^2}$.
Раскроем скобки в числителе и упростим выражение:
$f'(x) = \frac{2x - 6 - 2x - 8}{(x-3)^2} = \frac{-14}{(x-3)^2}$.
Ответ: $f'(x) = -\frac{14}{(x-3)^2}$.
Другие задания:
Помогло решение? Оставьте отзыв в комментариях ниже.
Присоединяйтесь к Телеграм-группе @gdz_by_belarus
ПрисоединитьсяМы подготовили для вас ответ c подробным объяснением домашего задания по алгебре за 11 класс, для упражнения номер 439 расположенного на странице 225 к учебнику 2020 года издания для учащихся школ и гимназий.
Теперь на нашем сайте ГДЗ.ТОП вы всегда легко и бесплатно найдёте условие с правильным ответом на вопрос «Как решить ДЗ» и «Как сделать» задание по алгебре к упражнению №439 (с. 225), авторов: Арефьева (Ирина Глебовна), Пирютко (Ольга Николаевна), учебного пособия издательства Народная асвета.