Номер 384, страница 215 - гдз по алгебре 11 класс учебник Арефьева, Пирютко

Алгебра, 11 класс Учебник, авторы: Арефьева Ирина Глебовна, Пирютко Ольга Николаевна, издательство Народная асвета, Минск, 2020, бирюзового цвета

Авторы: Арефьева И. Г., Пирютко О. Н.

Тип: Учебник

Издательство: Народная асвета

Год издания: 2020 - 2026

Цвет обложки: бирюзовый, зелёный с графиком

ISBN: 978-985-03-3165-6

Популярные ГДЗ в 11 классе

Упражнения для итогового повторения. Функции и их свойства - номер 384, страница 215.

№384 (с. 215)
Условие. №384 (с. 215)
скриншот условия
Алгебра, 11 класс Учебник, авторы: Арефьева Ирина Глебовна, Пирютко Ольга Николаевна, издательство Народная асвета, Минск, 2020, бирюзового цвета, страница 215, номер 384, Условие

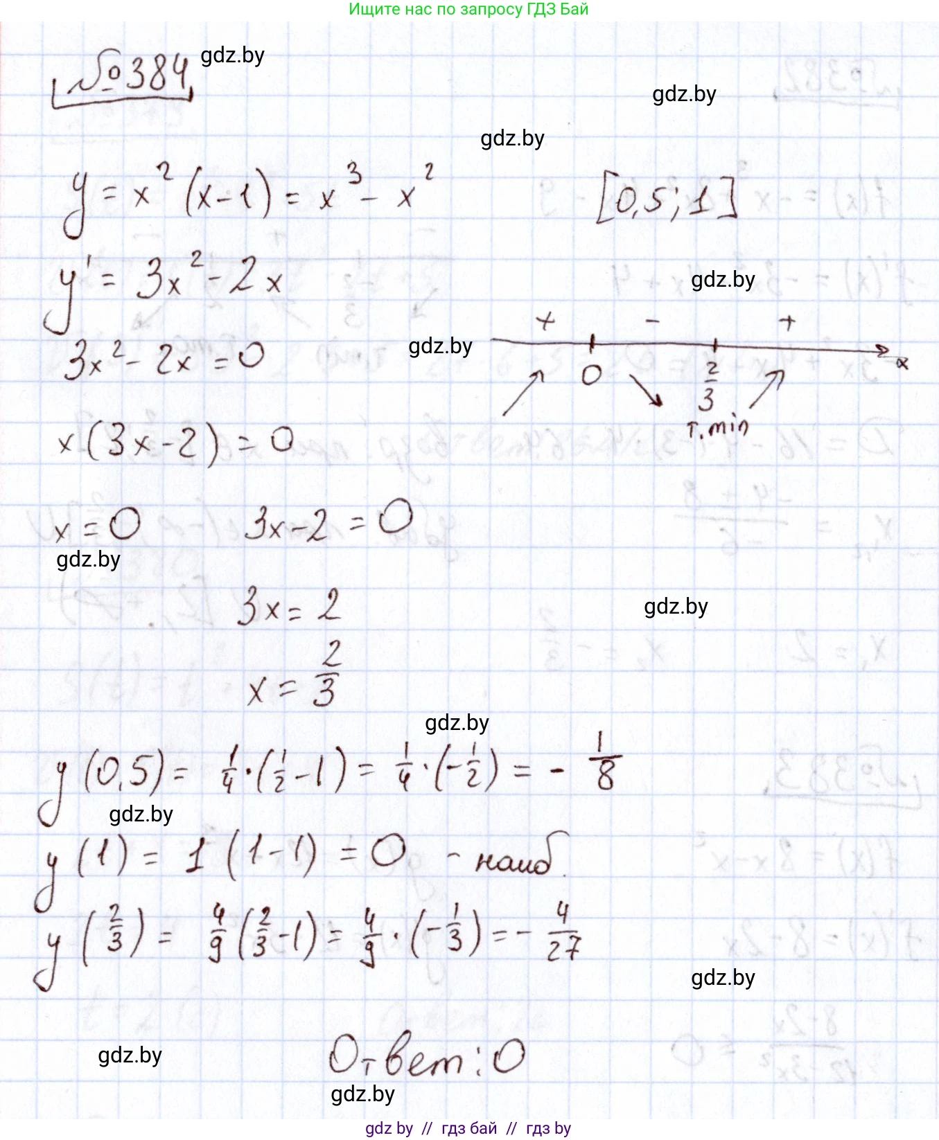
384. Найдите наибольшее значение функции $y = x^2(x - 1)$ на отрезке $[0,5; 1]$.

Решение. №384 (с. 215)
Алгебра, 11 класс Учебник, авторы: Арефьева Ирина Глебовна, Пирютко Ольга Николаевна, издательство Народная асвета, Минск, 2020, бирюзового цвета, страница 215, номер 384, Решение
Решение 2. №384 (с. 215)

Чтобы найти наибольшее значение функции на отрезке, необходимо найти значения функции на концах этого отрезка и в точках экстремума, принадлежащих этому отрезку, а затем выбрать из них наибольшее.

1. Исходная функция: $y = x^2(x - 1)$. Для удобства дифференцирования раскроем скобки: $y = x^3 - x^2$. Заданный отрезок: $[0,5; 1]$.

2. Найдем производную функции:

$y'(x) = (x^3 - x^2)' = 3x^2 - 2x$.

3. Найдем критические точки, приравняв производную к нулю:

$y' = 0$

$3x^2 - 2x = 0$

$x(3x - 2) = 0$

Отсюда получаем две критические точки: $x_1 = 0$ и $x_2 = \frac{2}{3}$.

4. Проверим, принадлежат ли критические точки заданному отрезку $[0,5; 1]$.

Точка $x_1 = 0$ не принадлежит отрезку $[0,5; 1]$, так как $0 < 0,5$.

Точка $x_2 = \frac{2}{3}$ принадлежит отрезку $[0,5; 1]$, так как $0,5 < \frac{2}{3} < 1$ (поскольку $\frac{2}{3} \approx 0,67$).

5. Вычислим значения функции в точке $x = \frac{2}{3}$ и на концах отрезка, то есть в точках $x = 0,5$ и $x = 1$.

При $x = 0,5$ (или $x = \frac{1}{2}$):

$y(0,5) = (0,5)^2(0,5 - 1) = 0,25 \cdot (-0,5) = -0,125$.

При $x = \frac{2}{3}$:

$y(\frac{2}{3}) = (\frac{2}{3})^2(\frac{2}{3} - 1) = \frac{4}{9} \cdot (-\frac{1}{3}) = -\frac{4}{27}$.

При $x = 1$:

$y(1) = 1^2(1 - 1) = 1 \cdot 0 = 0$.

6. Сравним полученные значения: $-0,125$, $-\frac{4}{27}$ и $0$.

Так как $-\frac{4}{27} \approx -0,148$, то мы сравниваем числа $-0,125$, $-0,148$ и $0$.

Наибольшее из этих значений равно $0$.

Ответ: $0$.

Помогло решение? Оставьте отзыв в комментариях ниже.

Присоединяйтесь к Телеграм-группе @gdz_by_belarus

Присоединиться

Мы подготовили для вас ответ c подробным объяснением домашего задания по алгебре за 11 класс, для упражнения номер 384 расположенного на странице 215 к учебнику 2020 года издания для учащихся школ и гимназий.

Теперь на нашем сайте ГДЗ.ТОП вы всегда легко и бесплатно найдёте условие с правильным ответом на вопрос «Как решить ДЗ» и «Как сделать» задание по алгебре к упражнению №384 (с. 215), авторов: Арефьева (Ирина Глебовна), Пирютко (Ольга Николаевна), учебного пособия издательства Народная асвета.