Номер 3.81, страница 115 - гдз по алгебре 11 класс учебник Арефьева, Пирютко

Алгебра, 11 класс Учебник, авторы: Арефьева Ирина Глебовна, Пирютко Ольга Николаевна, издательство Народная асвета, Минск, 2020, бирюзового цвета

Авторы: Арефьева И. Г., Пирютко О. Н.

Тип: Учебник

Издательство: Народная асвета

Год издания: 2020 - 2026

Цвет обложки: бирюзовый, зелёный с графиком

ISBN: 978-985-03-3165-6

Популярные ГДЗ в 11 классе

Глава 3. Логарифмическая функция. Параграф 7. Свойства логарифмов - номер 3.81, страница 115.

№3.81 (с. 115)
Условие. №3.81 (с. 115)
скриншот условия
Алгебра, 11 класс Учебник, авторы: Арефьева Ирина Глебовна, Пирютко Ольга Николаевна, издательство Народная асвета, Минск, 2020, бирюзового цвета, страница 115, номер 3.81, Условие

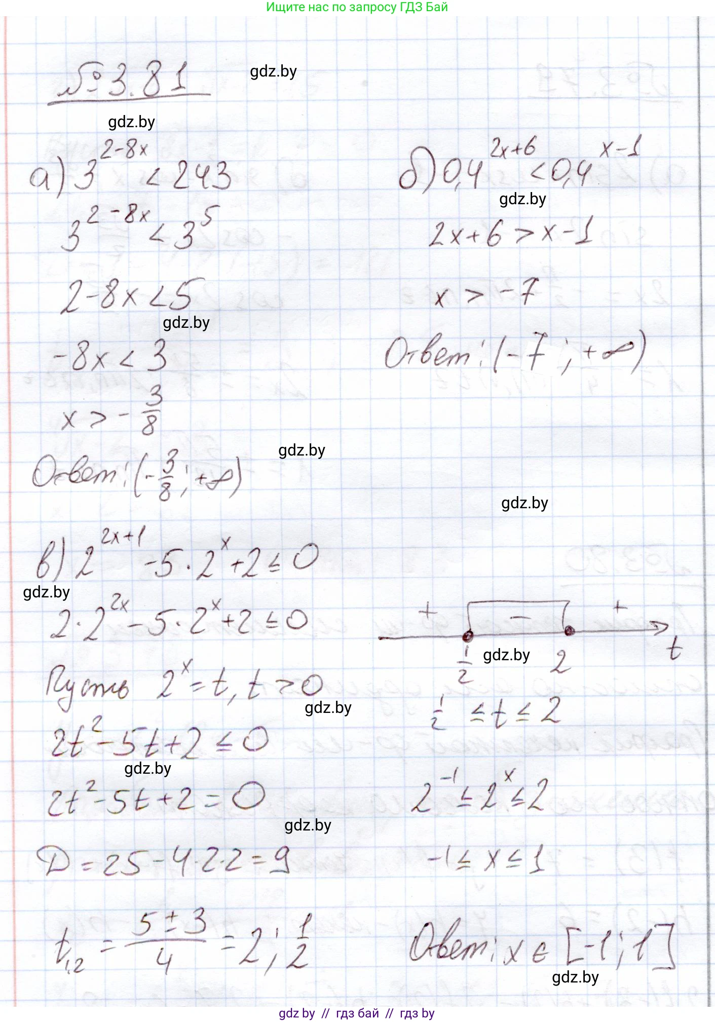
3.81. Решите показательное неравенство:

а) $3^{2-8x} < 243;$

б) $0,4^{2x+6} < 0,4^{x-1};$

В) $2^{2x+1} - 5 \cdot 2^x + 2 \le 0.$

Решение. №3.81 (с. 115)
Алгебра, 11 класс Учебник, авторы: Арефьева Ирина Глебовна, Пирютко Ольга Николаевна, издательство Народная асвета, Минск, 2020, бирюзового цвета, страница 115, номер 3.81, Решение
Решение 2. №3.81 (с. 115)

а) $3^{2-8x} < 243$

Для решения данного показательного неравенства необходимо привести обе его части к одному основанию. В данном случае это основание 3.

Представим число 243 как степень числа 3:

$3^1 = 3$

$3^2 = 9$

$3^3 = 27$

$3^4 = 81$

$3^5 = 243$

Таким образом, неравенство можно переписать в виде:

$3^{2-8x} < 3^5$

Поскольку основание степени $3$ больше 1 ($3 > 1$), показательная функция $y=3^t$ является возрастающей. Это означает, что большему значению функции соответствует большее значение аргумента, поэтому при переходе от степеней к их показателям знак неравенства сохраняется:

$2 - 8x < 5$

Теперь решим полученное линейное неравенство относительно $x$:

$-8x < 5 - 2$

$-8x < 3$

Разделим обе части неравенства на -8. Важно помнить, что при делении на отрицательное число знак неравенства меняется на противоположный:

$x > \frac{3}{-8}$

$x > -\frac{3}{8}$

Решением неравенства является числовой промежуток от $-\frac{3}{8}$ до $+\infty$, не включая границу.

Ответ: $x \in (-\frac{3}{8}, +\infty)$

б) $0,4^{2x+6} < 0,4^{x-1}$

В этом неравенстве обе части уже имеют одинаковое основание 0,4.

Основание степени $0,4$ находится в интервале от 0 до 1 ($0 < 0,4 < 1$). Показательная функция с таким основанием является убывающей. Это означает, что большему значению функции соответствует меньшее значение аргумента. Следовательно, при переходе от степеней к их показателям знак неравенства необходимо изменить на противоположный:

$2x + 6 > x - 1$

Решим полученное линейное неравенство:

$2x - x > -1 - 6$

$x > -7$

Решением неравенства является числовой промежуток от -7 до $+\infty$, не включая границу.

Ответ: $x \in (-7, +\infty)$

в) $2^{2x+1} - 5 \cdot 2^x + 2 \le 0$

Сначала преобразуем первый член неравенства, используя свойство степеней $a^{m+n} = a^m \cdot a^n$:

$2^{2x+1} = 2^{2x} \cdot 2^1 = 2 \cdot (2^x)^2$

Подставим это выражение обратно в неравенство:

$2 \cdot (2^x)^2 - 5 \cdot 2^x + 2 \le 0$

Данное неравенство является квадратным относительно выражения $2^x$. Для его решения введем замену переменной. Пусть $t = 2^x$. Так как показательная функция $y=2^x$ принимает только положительные значения, на новую переменную накладывается условие $t > 0$.

После замены неравенство принимает вид:

$2t^2 - 5t + 2 \le 0$

Чтобы решить это квадратное неравенство, найдем корни соответствующего уравнения $2t^2 - 5t + 2 = 0$ с помощью дискриминанта.

$D = b^2 - 4ac = (-5)^2 - 4 \cdot 2 \cdot 2 = 25 - 16 = 9$

Корни уравнения:

$t_1 = \frac{-(-5) - \sqrt{9}}{2 \cdot 2} = \frac{5 - 3}{4} = \frac{2}{4} = \frac{1}{2}$

$t_2 = \frac{-(-5) + \sqrt{9}}{2 \cdot 2} = \frac{5 + 3}{4} = \frac{8}{4} = 2$

Графиком функции $y = 2t^2 - 5t + 2$ является парабола, ветви которой направлены вверх, так как коэффициент при $t^2$ положителен ($2 > 0$). Следовательно, неравенство $2t^2 - 5t + 2 \le 0$ выполняется для значений $t$, находящихся между корнями, включая сами корни.

$\frac{1}{2} \le t \le 2$

Это решение удовлетворяет условию $t > 0$.

Теперь выполним обратную замену $t = 2^x$:

$\frac{1}{2} \le 2^x \le 2$

Представим все части этого двойного неравенства как степени с основанием 2:

$2^{-1} \le 2^x \le 2^1$

Поскольку основание $2 > 1$, показательная функция является возрастающей, и знаки неравенства для показателей сохраняются:

$-1 \le x \le 1$

Решением неравенства является отрезок от -1 до 1.

Ответ: $x \in [-1, 1]$

Помогло решение? Оставьте отзыв в комментариях ниже.

Присоединяйтесь к Телеграм-группе @gdz_by_belarus

Присоединиться

Мы подготовили для вас ответ c подробным объяснением домашего задания по алгебре за 11 класс, для упражнения номер 3.81 расположенного на странице 115 к учебнику 2020 года издания для учащихся школ и гимназий.

Теперь на нашем сайте ГДЗ.ТОП вы всегда легко и бесплатно найдёте условие с правильным ответом на вопрос «Как решить ДЗ» и «Как сделать» задание по алгебре к упражнению №3.81 (с. 115), авторов: Арефьева (Ирина Глебовна), Пирютко (Ольга Николаевна), учебного пособия издательства Народная асвета.