Номер 3.47, страница 111 - гдз по алгебре 11 класс учебник Арефьева, Пирютко

Алгебра, 11 класс Учебник, авторы: Арефьева Ирина Глебовна, Пирютко Ольга Николаевна, издательство Народная асвета, Минск, 2020, бирюзового цвета

Авторы: Арефьева И. Г., Пирютко О. Н.

Тип: Учебник

Издательство: Народная асвета

Год издания: 2020 - 2026

Цвет обложки: бирюзовый, зелёный с графиком

ISBN: 978-985-03-3165-6

Популярные ГДЗ в 11 классе

Глава 3. Логарифмическая функция. Параграф 7. Свойства логарифмов - номер 3.47, страница 111.

№3.47 (с. 111)
Условие. №3.47 (с. 111)
скриншот условия
Алгебра, 11 класс Учебник, авторы: Арефьева Ирина Глебовна, Пирютко Ольга Николаевна, издательство Народная асвета, Минск, 2020, бирюзового цвета, страница 111, номер 3.47, Условие

3.47. Найдите значение выражения:

a)

$\log_{625} 5;$

б)

$\log_{0,25} 2;$

в)

$\log_{7\sqrt{7}} 7;$

г)

$\log_{2\sqrt{2}} 4.$

Решение. №3.47 (с. 111)
Алгебра, 11 класс Учебник, авторы: Арефьева Ирина Глебовна, Пирютко Ольга Николаевна, издательство Народная асвета, Минск, 2020, бирюзового цвета, страница 111, номер 3.47, Решение
Решение 2. №3.47 (с. 111)

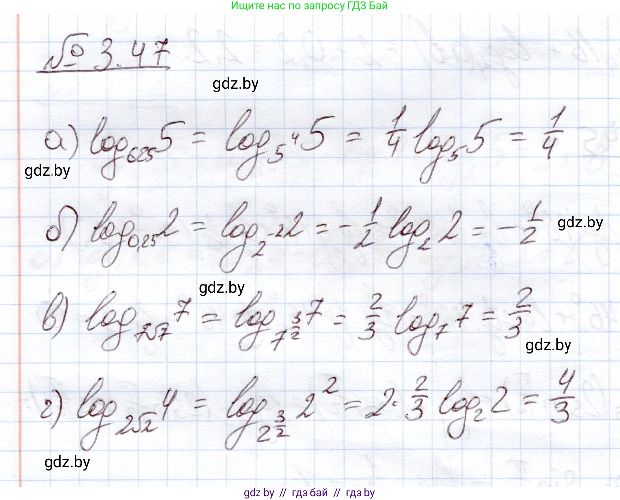
а) Чтобы найти значение выражения $\log_{625} 5$, нужно определить, в какую степень следует возвести основание 625, чтобы получить 5. Обозначим искомое значение через $x$: $\log_{625} 5 = x$.
По определению логарифма, это эквивалентно уравнению $625^x = 5$.
Мы знаем, что 625 является степенью числа 5: $625 = 5^4$.
Подставим это в наше уравнение: $(5^4)^x = 5^1$.
Используя свойство степеней $(a^m)^n = a^{mn}$, получаем: $5^{4x} = 5^1$.
Так как основания степеней равны, мы можем приравнять их показатели: $4x = 1$.
Отсюда $x = \frac{1}{4}$.
Таким образом, $\log_{625} 5 = \frac{1}{4}$.
Ответ: $\frac{1}{4}$

б) Найдем значение выражения $\log_{0,25} 2$. Обозначим его через $x$: $\log_{0,25} 2 = x$.
Это эквивалентно уравнению $0,25^x = 2$.
Преобразуем основание 0,25. Представим десятичную дробь в виде обыкновенной, а затем в виде степени числа 2:
$0,25 = \frac{25}{100} = \frac{1}{4} = \frac{1}{2^2} = 2^{-2}$.
Подставим в уравнение: $(2^{-2})^x = 2^1$.
Упростим левую часть: $2^{-2x} = 2^1$.
Приравниваем показатели степеней: $-2x = 1$.
Отсюда $x = -\frac{1}{2}$.
Таким образом, $\log_{0,25} 2 = -\frac{1}{2}$.
Ответ: $-\frac{1}{2}$

в) Найдем значение выражения $\log_{7\sqrt{7}} 7$. Обозначим его через $x$: $\log_{7\sqrt{7}} 7 = x$.
По определению логарифма: $(7\sqrt{7})^x = 7$.
Преобразуем основание $7\sqrt{7}$. Используя свойство корня $\sqrt{a} = a^{1/2}$ и свойство степеней $a^m \cdot a^n = a^{m+n}$:
$7\sqrt{7} = 7^1 \cdot 7^{1/2} = 7^{1 + 1/2} = 7^{3/2}$.
Подставим в уравнение: $(7^{3/2})^x = 7^1$.
Упростим левую часть: $7^{\frac{3}{2}x} = 7^1$.
Приравниваем показатели: $\frac{3}{2}x = 1$.
Отсюда $x = \frac{2}{3}$.
Таким образом, $\log_{7\sqrt{7}} 7 = \frac{2}{3}$.
Ответ: $\frac{2}{3}$

г) Найдем значение выражения $\log_{2\sqrt{2}} 4$. Обозначим его через $x$: $\log_{2\sqrt{2}} 4 = x$.
Это эквивалентно уравнению $(2\sqrt{2})^x = 4$.
Преобразуем основание $2\sqrt{2}$ и число 4 к степеням с основанием 2.
Основание: $2\sqrt{2} = 2^1 \cdot 2^{1/2} = 2^{1 + 1/2} = 2^{3/2}$.
Число под знаком логарифма: $4 = 2^2$.
Подставим эти значения в уравнение: $(2^{3/2})^x = 2^2$.
Упростим левую часть: $2^{\frac{3}{2}x} = 2^2$.
Приравниваем показатели степеней: $\frac{3}{2}x = 2$.
Найдем $x$: $x = 2 \cdot \frac{2}{3} = \frac{4}{3}$.
Таким образом, $\log_{2\sqrt{2}} 4 = \frac{4}{3}$.
Ответ: $\frac{4}{3}$

Помогло решение? Оставьте отзыв в комментариях ниже.

Присоединяйтесь к Телеграм-группе @gdz_by_belarus

Присоединиться

Мы подготовили для вас ответ c подробным объяснением домашего задания по алгебре за 11 класс, для упражнения номер 3.47 расположенного на странице 111 к учебнику 2020 года издания для учащихся школ и гимназий.

Теперь на нашем сайте ГДЗ.ТОП вы всегда легко и бесплатно найдёте условие с правильным ответом на вопрос «Как решить ДЗ» и «Как сделать» задание по алгебре к упражнению №3.47 (с. 111), авторов: Арефьева (Ирина Глебовна), Пирютко (Ольга Николаевна), учебного пособия издательства Народная асвета.