Номер 3.220, страница 147 - гдз по алгебре 11 класс учебник Арефьева, Пирютко

Алгебра, 11 класс Учебник, авторы: Арефьева Ирина Глебовна, Пирютко Ольга Николаевна, издательство Народная асвета, Минск, 2020, бирюзового цвета

Авторы: Арефьева И. Г., Пирютко О. Н.

Тип: Учебник

Издательство: Народная асвета

Год издания: 2020 - 2026

Цвет обложки: бирюзовый, зелёный с графиком

ISBN: 978-985-03-3165-6

Популярные ГДЗ в 11 классе

Глава 3. Логарифмическая функция. Параграф 9. Логарифмические уравнения - номер 3.220, страница 147.

№3.220 (с. 147)
Условие. №3.220 (с. 147)
скриншот условия
Алгебра, 11 класс Учебник, авторы: Арефьева Ирина Глебовна, Пирютко Ольга Николаевна, издательство Народная асвета, Минск, 2020, бирюзового цвета, страница 147, номер 3.220, Условие

3.220. Решите неравенство методом интервалов:

a)

$\frac{(x+3)^2 - 6x - 10}{(x - 5)^2} \le 0;$

б)

$\frac{x^2 (x-1)(x+2)}{(x-3)} \le 0;$

в)

$\frac{(x+4)^3 (x-7)}{(2x+8)(x+2)^5} \ge 0.$

Решение. №3.220 (с. 147)
Алгебра, 11 класс Учебник, авторы: Арефьева Ирина Глебовна, Пирютко Ольга Николаевна, издательство Народная асвета, Минск, 2020, бирюзового цвета, страница 147, номер 3.220, Решение Алгебра, 11 класс Учебник, авторы: Арефьева Ирина Глебовна, Пирютко Ольга Николаевна, издательство Народная асвета, Минск, 2020, бирюзового цвета, страница 147, номер 3.220, Решение (продолжение 2)
Решение 2. №3.220 (с. 147)

а) $ \frac{(x+3)^2 - 6x - 10}{(x-5)^2} \le 0 $

1. Преобразуем числитель дроби, раскрыв скобки и приведя подобные слагаемые:
$ (x+3)^2 - 6x - 10 = (x^2 + 6x + 9) - 6x - 10 = x^2 - 1 $.

2. Разложим числитель на множители по формуле разности квадратов:
$ x^2 - 1 = (x-1)(x+1) $.

3. Исходное неравенство принимает вид:
$ \frac{(x-1)(x+1)}{(x-5)^2} \le 0 $.

4. Найдем нули числителя и знаменателя.
Нули числителя: $ (x-1)(x+1) = 0 \Rightarrow x_1 = 1, x_2 = -1 $. Так как неравенство нестрогое ($ \le $), эти точки включаются в решение и на числовой оси отмечаются закрашенными кружками.
Нуль знаменателя: $ (x-5)^2 = 0 \Rightarrow x_3 = 5 $. Эта точка исключается из области допустимых значений (ОДЗ), так как знаменатель не может быть равен нулю. На числовой оси она отмечается выколотым кружком.

5. Нанесем найденные точки на числовую ось и определим знаки выражения на каждом интервале.
Точка $ x = 5 $ является корнем четной кратности (показатель степени 2), поэтому при переходе через эту точку знак выражения не меняется. Точки $ x = 1 $ и $ x = -1 $ — корни нечетной кратности (показатель степени 1), знак при переходе через них меняется.

6. Выбираем интервалы, где выражение меньше или равно нулю. Это интервал, на котором стоит знак "минус", а также включенные в него концы.
Решением является отрезок $ [-1; 1] $.

Ответ: $ [-1; 1] $.

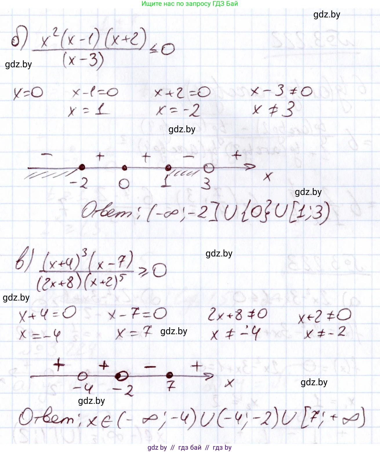
б) $ \frac{x^2(x-1)(x+2)}{x-3} \le 0 $

1. Неравенство уже представлено в виде, удобном для метода интервалов.

2. Найдем нули числителя и знаменателя.
Нули числителя: $ x^2(x-1)(x+2) = 0 \Rightarrow x_1 = 0, x_2 = 1, x_3 = -2 $. Так как неравенство нестрогое, эти точки включаются в решение и на числовой оси отмечаются закрашенными кружками.
Нуль знаменателя: $ x-3 = 0 \Rightarrow x_4 = 3 $. Эта точка исключается из ОДЗ и отмечается выколотым кружком.

3. Нанесем точки на числовую ось и определим знаки.
Точка $ x = 0 $ является корнем четной кратности (из-за $ x^2 $), поэтому при переходе через нее знак не меняется.
Точки $ x = -2, x = 1, x = 3 $ — корни нечетной кратности, знак при переходе через них меняется.

4. Выбираем интервалы, где выражение меньше или равно нулю. Это интервалы со знаком "минус" и точки, где выражение равно нулю.
Интервалы со знаком "минус": $ (-\infty; -2] $ и $ [1; 3) $.
Точка $ x=0 $ также является решением, так как при $ x=0 $ выражение равно нулю.
Объединяя все, получаем решение.

Ответ: $ (-\infty; -2] \cup \{0\} \cup [1; 3) $.

в) $ \frac{(x+4)^3(x-7)}{(2x+8)(x+2)^5} \ge 0 $

1. Сначала преобразуем знаменатель:
$ 2x+8 = 2(x+4) $.

2. Неравенство принимает вид:
$ \frac{(x+4)^3(x-7)}{2(x+4)(x+2)^5} \ge 0 $.

3. Определим область допустимых значений (ОДЗ): знаменатель не равен нулю.
$ 2(x+4)(x+2)^5 \neq 0 \Rightarrow x \neq -4 $ и $ x \neq -2 $.

4. Сократим дробь на $ (x+4) $, учитывая, что $ x \neq -4 $.
$ \frac{(x+4)^2(x-7)}{2(x+2)^5} \ge 0 $.
Постоянный множитель 2 в знаменателе не влияет на знак дроби, поэтому его можно не учитывать при определении знаков на интервалах. Решаем неравенство:
$ \frac{(x+4)^2(x-7)}{(x+2)^5} \ge 0 $.

5. Найдем нули числителя и знаменателя упрощенного выражения.
Нули числителя: $ (x+4)^2(x-7) = 0 \Rightarrow x_1 = -4, x_2 = 7 $.
Нуль знаменателя: $ (x+2)^5 = 0 \Rightarrow x_3 = -2 $.

6. Нанесем точки на числовую ось с учетом ОДЗ и определим знаки.
Точки $ x=-4 $ и $ x=-2 $ выкалываются согласно ОДЗ.
Точка $ x=7 $ включается в решение, так как неравенство нестрогое и при $ x=7 $ числитель равен нулю.
Точка $ x=-4 $ — корень четной кратности (степень 2), знак при переходе через нее не меняется.
Точки $ x=-2 $ и $ x=7 $ — корни нечетной кратности (степени 5 и 1), знак при переходе через них меняется.

7. Выбираем интервалы, где выражение больше или равно нулю. Это интервалы со знаком "плюс" и точка, где выражение равно нулю.
Интервалы со знаком "плюс": $ (-\infty; -4) $, $ (-4; -2) $ и $ [7; +\infty) $.
Объединяем полученные промежутки.

Ответ: $ (-\infty; -4) \cup (-4; -2) \cup [7; +\infty) $.

Помогло решение? Оставьте отзыв в комментариях ниже.

Присоединяйтесь к Телеграм-группе @gdz_by_belarus

Присоединиться

Мы подготовили для вас ответ c подробным объяснением домашего задания по алгебре за 11 класс, для упражнения номер 3.220 расположенного на странице 147 к учебнику 2020 года издания для учащихся школ и гимназий.

Теперь на нашем сайте ГДЗ.ТОП вы всегда легко и бесплатно найдёте условие с правильным ответом на вопрос «Как решить ДЗ» и «Как сделать» задание по алгебре к упражнению №3.220 (с. 147), авторов: Арефьева (Ирина Глебовна), Пирютко (Ольга Николаевна), учебного пособия издательства Народная асвета.