Номер 3.20, страница 109 - гдз по алгебре 11 класс учебник Арефьева, Пирютко

Алгебра, 11 класс Учебник, авторы: Арефьева Ирина Глебовна, Пирютко Ольга Николаевна, издательство Народная асвета, Минск, 2020, бирюзового цвета

Авторы: Арефьева И. Г., Пирютко О. Н.

Тип: Учебник

Издательство: Народная асвета

Год издания: 2020 - 2026

Цвет обложки: бирюзовый, зелёный с графиком

ISBN: 978-985-03-3165-6

Популярные ГДЗ в 11 классе

Глава 3. Логарифмическая функция. Параграф 7. Свойства логарифмов - номер 3.20, страница 109.

№3.20 (с. 109)
Условие. №3.20 (с. 109)
скриншот условия
Алгебра, 11 класс Учебник, авторы: Арефьева Ирина Глебовна, Пирютко Ольга Николаевна, издательство Народная асвета, Минск, 2020, бирюзового цвета, страница 109, номер 3.20, Условие

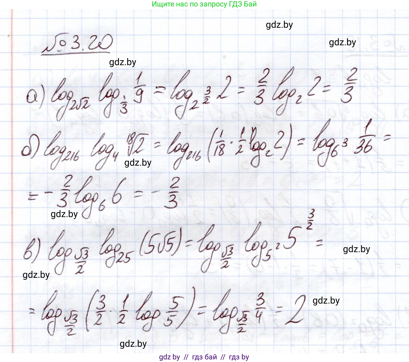
3.20. Найдите значение выражения:

a) $log_{2\sqrt{2}} - log_{1/3} \frac{1}{9};$

б) $log_{216} \log_4 \sqrt[18]{2};$

в) $log_{\frac{\sqrt{3}}{2}} \log_{25} (5\sqrt{5}).$

Решение. №3.20 (с. 109)
Алгебра, 11 класс Учебник, авторы: Арефьева Ирина Глебовна, Пирютко Ольга Николаевна, издательство Народная асвета, Минск, 2020, бирюзового цвета, страница 109, номер 3.20, Решение
Решение 2. №3.20 (с. 109)

а)

Для того чтобы найти значение выражения $ \log_{2\sqrt{2}} \left( \log_{\frac{1}{3}} \frac{1}{9} \right) $, сначала необходимо вычислить значение внутреннего логарифма $ \log_{\frac{1}{3}} \frac{1}{9} $.

Пусть $ \log_{\frac{1}{3}} \frac{1}{9} = x $. По определению логарифма, это равенство эквивалентно $ \left(\frac{1}{3}\right)^x = \frac{1}{9} $. Поскольку $ \frac{1}{9} = \left(\frac{1}{3}\right)^2 $, то значение $ x = 2 $.

Теперь подставим полученный результат в исходное выражение, получив $ \log_{2\sqrt{2}} 2 $. Преобразуем основание этого логарифма: $ 2\sqrt{2} = 2^1 \cdot 2^{1/2} = 2^{1 + 1/2} = 2^{3/2} $. Таким образом, выражение принимает вид $ \log_{2^{3/2}} 2 $.

Воспользуемся свойством логарифма $ \log_{a^k} b = \frac{1}{k} \log_a b $. Применив его, получаем: $ \log_{2^{3/2}} 2 = \frac{1}{3/2} \log_2 2 = \frac{2}{3} \cdot 1 = \frac{2}{3} $.

Ответ: $ \frac{2}{3} $.

б)

Чтобы найти значение выражения $ \log_{216} \log_4 \sqrt[18]{2} $, начнем с вычисления внутреннего логарифма $ \log_4 \sqrt[18]{2} $.

Преобразуем основание и аргумент логарифма к степеням двойки: $ 4 = 2^2 $ и $ \sqrt[18]{2} = 2^{1/18} $. Тогда логарифм принимает вид $ \log_{2^2} 2^{1/18} $. Используя свойство $ \log_{a^k} b^m = \frac{m}{k} \log_a b $, получаем: $ \frac{1/18}{2} \log_2 2 = \frac{1}{36} \cdot 1 = \frac{1}{36} $.

Теперь подставим найденное значение во внешний логарифм: $ \log_{216} \frac{1}{36} $. Представим основание и аргумент как степени числа 6: $ 216 = 6^3 $ и $ \frac{1}{36} = \frac{1}{6^2} = 6^{-2} $. Получаем выражение $ \log_{6^3} 6^{-2} $.

Применяя то же свойство логарифма, находим: $ \log_{6^3} 6^{-2} = \frac{-2}{3} \log_6 6 = -\frac{2}{3} \cdot 1 = -\frac{2}{3} $.

Ответ: $ -\frac{2}{3} $.

в)

Для нахождения значения выражения $ \log_{\frac{\sqrt{3}}{2}} \log_{25} (5\sqrt{5}) $ сначала вычислим внутренний логарифм $ \log_{25} (5\sqrt{5}) $.

Преобразуем основание и аргумент к степеням пятерки: $ 25 = 5^2 $ и $ 5\sqrt{5} = 5^1 \cdot 5^{1/2} = 5^{3/2} $. Логарифм принимает вид $ \log_{5^2} 5^{3/2} $. По свойству $ \log_{a^k} b^m = \frac{m}{k} \log_a b $ получаем: $ \frac{3/2}{2} \log_5 5 = \frac{3}{4} \cdot 1 = \frac{3}{4} $.

Далее подставим полученное значение во внешний логарифм: $ \log_{\frac{\sqrt{3}}{2}} \frac{3}{4} $. Пусть $ \log_{\frac{\sqrt{3}}{2}} \frac{3}{4} = y $. По определению логарифма, это означает, что $ \left(\frac{\sqrt{3}}{2}\right)^y = \frac{3}{4} $. Заметим, что $ \left(\frac{\sqrt{3}}{2}\right)^2 = \frac{(\sqrt{3})^2}{2^2} = \frac{3}{4} $. Следовательно, $ y = 2 $.

Ответ: $ 2 $.

Помогло решение? Оставьте отзыв в комментариях ниже.

Присоединяйтесь к Телеграм-группе @gdz_by_belarus

Присоединиться

Мы подготовили для вас ответ c подробным объяснением домашего задания по алгебре за 11 класс, для упражнения номер 3.20 расположенного на странице 109 к учебнику 2020 года издания для учащихся школ и гимназий.

Теперь на нашем сайте ГДЗ.ТОП вы всегда легко и бесплатно найдёте условие с правильным ответом на вопрос «Как решить ДЗ» и «Как сделать» задание по алгебре к упражнению №3.20 (с. 109), авторов: Арефьева (Ирина Глебовна), Пирютко (Ольга Николаевна), учебного пособия издательства Народная асвета.