Номер 3.177, страница 143 - гдз по алгебре 11 класс учебник Арефьева, Пирютко
Авторы: Арефьева И. Г., Пирютко О. Н.
Тип: Учебник
Издательство: Народная асвета
Год издания: 2020 - 2026
Цвет обложки: бирюзовый, зелёный с графиком
ISBN: 978-985-03-3165-6
Популярные ГДЗ в 11 классе
Глава 3. Логарифмическая функция. Параграф 9. Логарифмические уравнения - номер 3.177, страница 143.
№3.177 (с. 143)
Условие. №3.177 (с. 143)
скриншот условия
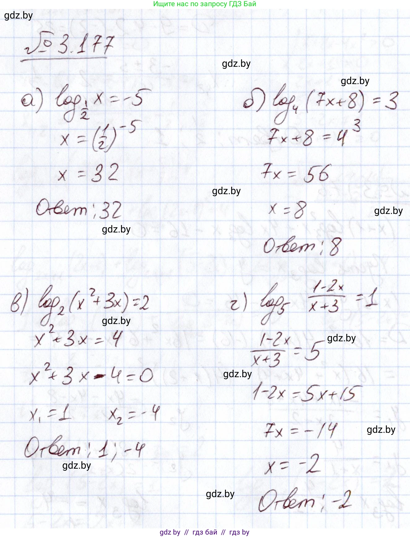
3.177. Решите логарифмическое уравнение:
a) $log_{\frac{1}{2}} x = -5;$
б) $log_4 (7x + 8) = 3;$
в) $log_2 (x^2 + 3x) = 2;$
г) $log_5 \frac{1-2x}{x+3} = 1.$
Решение. №3.177 (с. 143)
Решение 2. №3.177 (с. 143)
а) $log_{\frac{1}{2}} x = -5$
Данное уравнение является простейшим логарифмическим уравнением. Для его решения воспользуемся определением логарифма: $log_b a = c$ эквивалентно $a = b^c$.
В нашем случае основание $b = \frac{1}{2}$, число под логарифмом $a = x$, а значение логарифма $c = -5$.
Применяя определение, получаем:
$x = (\frac{1}{2})^{-5}$
Чтобы вычислить значение, воспользуемся свойством степени с отрицательным показателем $(\frac{m}{n})^{-k} = (\frac{n}{m})^k$:
$x = (\frac{2}{1})^5 = 2^5 = 32$
Область допустимых значений (ОДЗ) для исходного уравнения определяется условием $x > 0$. Найденный корень $x=32$ удовлетворяет этому условию.
Ответ: $32$.
б) $log_4(7x + 8) = 3$
Используем определение логарифма $log_b a = c \iff a = b^c$.
В данном уравнении $b=4$, $a = 7x+8$, $c=3$.
Получаем уравнение:
$7x + 8 = 4^3$
$7x + 8 = 64$
Решаем полученное линейное уравнение:
$7x = 64 - 8$
$7x = 56$
$x = \frac{56}{7}$
$x = 8$
Проверим, удовлетворяет ли найденный корень области допустимых значений. Аргумент логарифма должен быть положительным:
$7x + 8 > 0$
Подставляем $x=8$: $7 \cdot 8 + 8 = 56 + 8 = 64$. Так как $64 > 0$, корень является действительным решением.
Ответ: $8$.
в) $log_2(x^2 + 3x) = 2$
По определению логарифма, $log_b a = c \iff a = b^c$.
Применяем это определение к нашему уравнению, где $b=2$, $a=x^2+3x$, $c=2$:
$x^2 + 3x = 2^2$
$x^2 + 3x = 4$
Перенесем все члены в левую часть, чтобы получить стандартное квадратное уравнение:
$x^2 + 3x - 4 = 0$
Решим это уравнение. Можно использовать теорему Виета или формулу для корней через дискриминант. Найдем дискриминант $D = b^2 - 4ac$:
$D = 3^2 - 4 \cdot 1 \cdot (-4) = 9 + 16 = 25$
Так как $D > 0$, уравнение имеет два различных корня:
$x_1 = \frac{-b + \sqrt{D}}{2a} = \frac{-3 + \sqrt{25}}{2 \cdot 1} = \frac{-3 + 5}{2} = \frac{2}{2} = 1$
$x_2 = \frac{-b - \sqrt{D}}{2a} = \frac{-3 - \sqrt{25}}{2 \cdot 1} = \frac{-3 - 5}{2} = \frac{-8}{2} = -4$
Проверим ОДЗ: аргумент логарифма $x^2 + 3x$ должен быть строго больше нуля.
Для $x_1=1$: $1^2 + 3 \cdot 1 = 1 + 3 = 4 > 0$. Корень подходит.
Для $x_2=-4$: $(-4)^2 + 3 \cdot (-4) = 16 - 12 = 4 > 0$. Корень также подходит.
Ответ: $-4; 1$.
г) $log_5 \frac{1-2x}{x+3} = 1$
Используя определение логарифма, преобразуем уравнение:
$\frac{1-2x}{x+3} = 5^1$
$\frac{1-2x}{x+3} = 5$
Область допустимых значений (ОДЗ) требует, чтобы знаменатель дроби не был равен нулю ($x+3 \neq 0 \implies x \neq -3$) и чтобы аргумент логарифма был положителен ($\frac{1-2x}{x+3} > 0$). Поскольку из уравнения следует, что дробь равна 5, а $5>0$, второе условие ОДЗ будет выполнено автоматически для любого найденного корня.
Решаем полученное дробно-рациональное уравнение, умножив обе части на знаменатель $(x+3)$:
$1 - 2x = 5(x+3)$
$1 - 2x = 5x + 15$
Соберем слагаемые с $x$ в одной части, а свободные члены в другой:
$1 - 15 = 5x + 2x$
$-14 = 7x$
$x = \frac{-14}{7}$
$x = -2$
Найденный корень $x=-2$ не совпадает с ограничением $x \neq -3$. Следовательно, это решение является действительным.
Ответ: $-2$.
Другие задания:
Помогло решение? Оставьте отзыв в комментариях ниже.
Присоединяйтесь к Телеграм-группе @gdz_by_belarus
ПрисоединитьсяМы подготовили для вас ответ c подробным объяснением домашего задания по алгебре за 11 класс, для упражнения номер 3.177 расположенного на странице 143 к учебнику 2020 года издания для учащихся школ и гимназий.
Теперь на нашем сайте ГДЗ.ТОП вы всегда легко и бесплатно найдёте условие с правильным ответом на вопрос «Как решить ДЗ» и «Как сделать» задание по алгебре к упражнению №3.177 (с. 143), авторов: Арефьева (Ирина Глебовна), Пирютко (Ольга Николаевна), учебного пособия издательства Народная асвета.