Номер 3.12, страница 108 - гдз по алгебре 11 класс учебник Арефьева, Пирютко

Алгебра, 11 класс Учебник, авторы: Арефьева Ирина Глебовна, Пирютко Ольга Николаевна, издательство Народная асвета, Минск, 2020, бирюзового цвета

Авторы: Арефьева И. Г., Пирютко О. Н.

Тип: Учебник

Издательство: Народная асвета

Год издания: 2020 - 2026

Цвет обложки: бирюзовый, зелёный с графиком

ISBN: 978-985-03-3165-6

Популярные ГДЗ в 11 классе

Глава 3. Логарифмическая функция. Параграф 7. Свойства логарифмов - номер 3.12, страница 108.

№3.12 (с. 108)
Условие. №3.12 (с. 108)
скриншот условия
Алгебра, 11 класс Учебник, авторы: Арефьева Ирина Глебовна, Пирютко Ольга Николаевна, издательство Народная асвета, Минск, 2020, бирюзового цвета, страница 108, номер 3.12, Условие

3.12. Найдите значение выражения, используя свойства логарифмов:

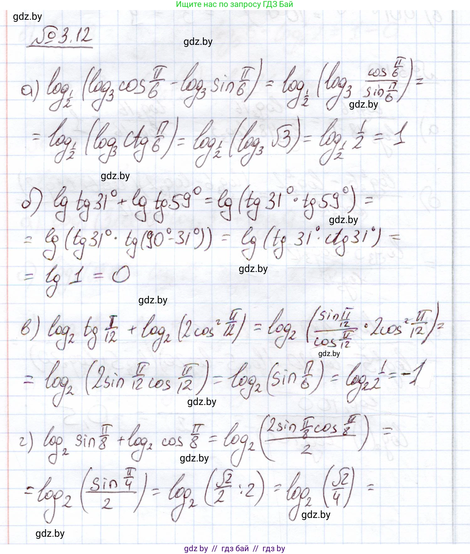
а) $\log_{\frac{1}{2}}\left(\log_3 \cos\frac{\pi}{6} - \log_3 \sin\frac{\pi}{6}\right)$;

б) $\lg \tan 31^\circ + \lg \tan 59^\circ$;

в) $\log_2 \tan \frac{\pi}{12} + \log_2 \left(2\cos^2 \frac{\pi}{12}\right)$;

г) $\log_2 \sin \frac{\pi}{8} + \log_2 \cos \frac{\pi}{8}$;

д) $\log_7 \left(2\tan \frac{\pi}{8}\right) - \log_7 \left(1 - \tan^2 \frac{\pi}{8}\right)$;

е) $\log_2 \cot \frac{3\pi}{8} - \log_2 \sin^2 \frac{3\pi}{8}$.

Решение. №3.12 (с. 108)
Алгебра, 11 класс Учебник, авторы: Арефьева Ирина Глебовна, Пирютко Ольга Николаевна, издательство Народная асвета, Минск, 2020, бирюзового цвета, страница 108, номер 3.12, Решение Алгебра, 11 класс Учебник, авторы: Арефьева Ирина Глебовна, Пирютко Ольга Николаевна, издательство Народная асвета, Минск, 2020, бирюзового цвета, страница 108, номер 3.12, Решение (продолжение 2)
Решение 2. №3.12 (с. 108)

а) $\log_{\frac{1}{2}}(\log_3 \cos\frac{\pi}{6} - \log_3 \sin\frac{\pi}{6})$

Сначала упростим выражение в скобках, используя свойство разности логарифмов $\log_b x - \log_b y = \log_b \frac{x}{y}$:

$\log_3 \cos\frac{\pi}{6} - \log_3 \sin\frac{\pi}{6} = \log_3\left(\frac{\cos\frac{\pi}{6}}{\sin\frac{\pi}{6}}\right)$

Используя тригонометрическое тождество $\cot\alpha = \frac{\cos\alpha}{\sin\alpha}$, получаем:

$\log_3\left(\cot\frac{\pi}{6}\right)$

Вычислим значение котангенса: $\cot\frac{\pi}{6} = \cot 30^\circ = \sqrt{3}$.

Теперь внутренний логарифм равен: $\log_3(\sqrt{3}) = \log_3(3^{\frac{1}{2}}) = \frac{1}{2}$.

Подставим это значение в исходное выражение:

$\log_{\frac{1}{2}}\left(\frac{1}{2}\right)$

По определению логарифма $\log_b b = 1$, поэтому:

$\log_{\frac{1}{2}}\left(\frac{1}{2}\right) = 1$

Ответ: 1

б) $\lg\tg31^\circ + \lg\tg59^\circ$

Используем свойство суммы логарифмов $\log_b x + \log_b y = \log_b(xy)$ (где $\lg$ - десятичный логарифм):

$\lg\tg31^\circ + \lg\tg59^\circ = \lg(\tg31^\circ \cdot \tg59^\circ)$

Применим формулу приведения $\tg(90^\circ - \alpha) = \cot\alpha$:

$\tg59^\circ = \tg(90^\circ - 31^\circ) = \cot31^\circ$

Подставим в выражение:

$\lg(\tg31^\circ \cdot \cot31^\circ)$

Так как $\tg\alpha \cdot \cot\alpha = 1$, то $\tg31^\circ \cdot \cot31^\circ = 1$.

Получаем: $\lg(1) = 0$.

Ответ: 0

в) $\log_2 \tg\frac{\pi}{12} + \log_2 (2\cos^2\frac{\pi}{12})$

Используем свойство суммы логарифмов $\log_b x + \log_b y = \log_b(xy)$:

$\log_2\left(\tg\frac{\pi}{12} \cdot 2\cos^2\frac{\pi}{12}\right)$

Заменим тангенс отношением синуса к косинусу $\tg\alpha = \frac{\sin\alpha}{\cos\alpha}$:

$\log_2\left(\frac{\sin\frac{\pi}{12}}{\cos\frac{\pi}{12}} \cdot 2\cos^2\frac{\pi}{12}\right)$

Сократим $\cos\frac{\pi}{12}$:

$\log_2\left(2\sin\frac{\pi}{12}\cos\frac{\pi}{12}\right)$

Используем формулу синуса двойного угла $2\sin\alpha\cos\alpha = \sin(2\alpha)$:

$\log_2\left(\sin\left(2 \cdot \frac{\pi}{12}\right)\right) = \log_2\left(\sin\frac{\pi}{6}\right)$

Вычислим значение синуса: $\sin\frac{\pi}{6} = \frac{1}{2}$.

Получаем: $\log_2\left(\frac{1}{2}\right) = \log_2(2^{-1}) = -1$.

Ответ: -1

г) $\log_2 \sin\frac{\pi}{8} + \log_2 \cos\frac{\pi}{8}$

Используем свойство суммы логарифмов $\log_b x + \log_b y = \log_b(xy)$:

$\log_2\left(\sin\frac{\pi}{8}\cos\frac{\pi}{8}\right)$

Применим формулу синуса двойного угла в виде $\sin\alpha\cos\alpha = \frac{1}{2}\sin(2\alpha)$:

$\log_2\left(\frac{1}{2}\sin\left(2 \cdot \frac{\pi}{8}\right)\right) = \log_2\left(\frac{1}{2}\sin\frac{\pi}{4}\right)$

Вычислим значение синуса: $\sin\frac{\pi}{4} = \frac{\sqrt{2}}{2}$.

Подставим значение в выражение под логарифмом:

$\frac{1}{2} \cdot \frac{\sqrt{2}}{2} = \frac{\sqrt{2}}{4}$

Теперь вычислим логарифм:

$\log_2\left(\frac{\sqrt{2}}{4}\right) = \log_2\left(\frac{2^{\frac{1}{2}}}{2^2}\right) = \log_2\left(2^{\frac{1}{2}-2}\right) = \log_2\left(2^{-\frac{3}{2}}\right) = -\frac{3}{2}$

Ответ: -1,5

д) $\log_7(2\tg\frac{\pi}{8}) - \log_7(1-\tg^2\frac{\pi}{8})$

Используем свойство разности логарифмов $\log_b x - \log_b y = \log_b \frac{x}{y}$:

$\log_7\left(\frac{2\tg\frac{\pi}{8}}{1-\tg^2\frac{\pi}{8}}\right)$

Выражение в скобках соответствует формуле тангенса двойного угла $\tg(2\alpha) = \frac{2\tg\alpha}{1-\tg^2\alpha}$:

$\log_7\left(\tg\left(2 \cdot \frac{\pi}{8}\right)\right) = \log_7\left(\tg\frac{\pi}{4}\right)$

Вычислим значение тангенса: $\tg\frac{\pi}{4} = 1$.

Получаем: $\log_7(1) = 0$.

Ответ: 0

е) $\log_2 \ctg\frac{3\pi}{8} - \log_2 \sin^2\frac{3\pi}{8}$

Примечание: В данном выражении, скорее всего, допущена опечатка, так как в исходном виде оно не приводит к простому ответу, в отличие от остальных заданий. Наиболее вероятная опечатка — знак минус вместо плюса. Решим задачу с этой поправкой.

Рассмотрим выражение: $\log_2 \ctg\frac{3\pi}{8} + \log_2 \sin^2\frac{3\pi}{8}$

Используем свойство суммы логарифмов $\log_b x + \log_b y = \log_b(xy)$:

$\log_2\left(\ctg\frac{3\pi}{8} \cdot \sin^2\frac{3\pi}{8}\right)$

Заменим котангенс отношением косинуса к синусу $\ctg\alpha = \frac{\cos\alpha}{\sin\alpha}$:

$\log_2\left(\frac{\cos\frac{3\pi}{8}}{\sin\frac{3\pi}{8}} \cdot \sin^2\frac{3\pi}{8}\right)$

Сократим $\sin\frac{3\pi}{8}$:

$\log_2\left(\cos\frac{3\pi}{8}\sin\frac{3\pi}{8}\right)$

Применим формулу синуса двойного угла $\sin\alpha\cos\alpha = \frac{1}{2}\sin(2\alpha)$:

$\log_2\left(\frac{1}{2}\sin\left(2 \cdot \frac{3\pi}{8}\right)\right) = \log_2\left(\frac{1}{2}\sin\frac{3\pi}{4}\right)$

Вычислим значение синуса: $\sin\frac{3\pi}{4} = \sin(135^\circ) = \frac{\sqrt{2}}{2}$.

Подставим значение в выражение под логарифмом:

$\frac{1}{2} \cdot \frac{\sqrt{2}}{2} = \frac{\sqrt{2}}{4}$

Теперь вычислим логарифм:

$\log_2\left(\frac{\sqrt{2}}{4}\right) = \log_2\left(\frac{2^{\frac{1}{2}}}{2^2}\right) = \log_2\left(2^{\frac{1}{2}-2}\right) = \log_2\left(2^{-\frac{3}{2}}\right) = -\frac{3}{2}$

Ответ: -1,5

Помогло решение? Оставьте отзыв в комментариях ниже.

Присоединяйтесь к Телеграм-группе @gdz_by_belarus

Присоединиться

Мы подготовили для вас ответ c подробным объяснением домашего задания по алгебре за 11 класс, для упражнения номер 3.12 расположенного на странице 108 к учебнику 2020 года издания для учащихся школ и гимназий.

Теперь на нашем сайте ГДЗ.ТОП вы всегда легко и бесплатно найдёте условие с правильным ответом на вопрос «Как решить ДЗ» и «Как сделать» задание по алгебре к упражнению №3.12 (с. 108), авторов: Арефьева (Ирина Глебовна), Пирютко (Ольга Николаевна), учебного пособия издательства Народная асвета.