Номер 3.119, страница 127 - гдз по алгебре 11 класс учебник Арефьева, Пирютко

Алгебра, 11 класс Учебник, авторы: Арефьева Ирина Глебовна, Пирютко Ольга Николаевна, издательство Народная асвета, Минск, 2020, бирюзового цвета

Авторы: Арефьева И. Г., Пирютко О. Н.

Тип: Учебник

Издательство: Народная асвета

Год издания: 2020 - 2026

Цвет обложки: бирюзовый, зелёный с графиком

ISBN: 978-985-03-3165-6

Популярные ГДЗ в 11 классе

Глава 3. Логарифмическая функция. Параграф 8. Логарифмическая функция. Свойства логарифмической функции - номер 3.119, страница 127.

№3.119 (с. 127)
Условие. №3.119 (с. 127)
скриншот условия
Алгебра, 11 класс Учебник, авторы: Арефьева Ирина Глебовна, Пирютко Ольга Николаевна, издательство Народная асвета, Минск, 2020, бирюзового цвета, страница 127, номер 3.119, Условие

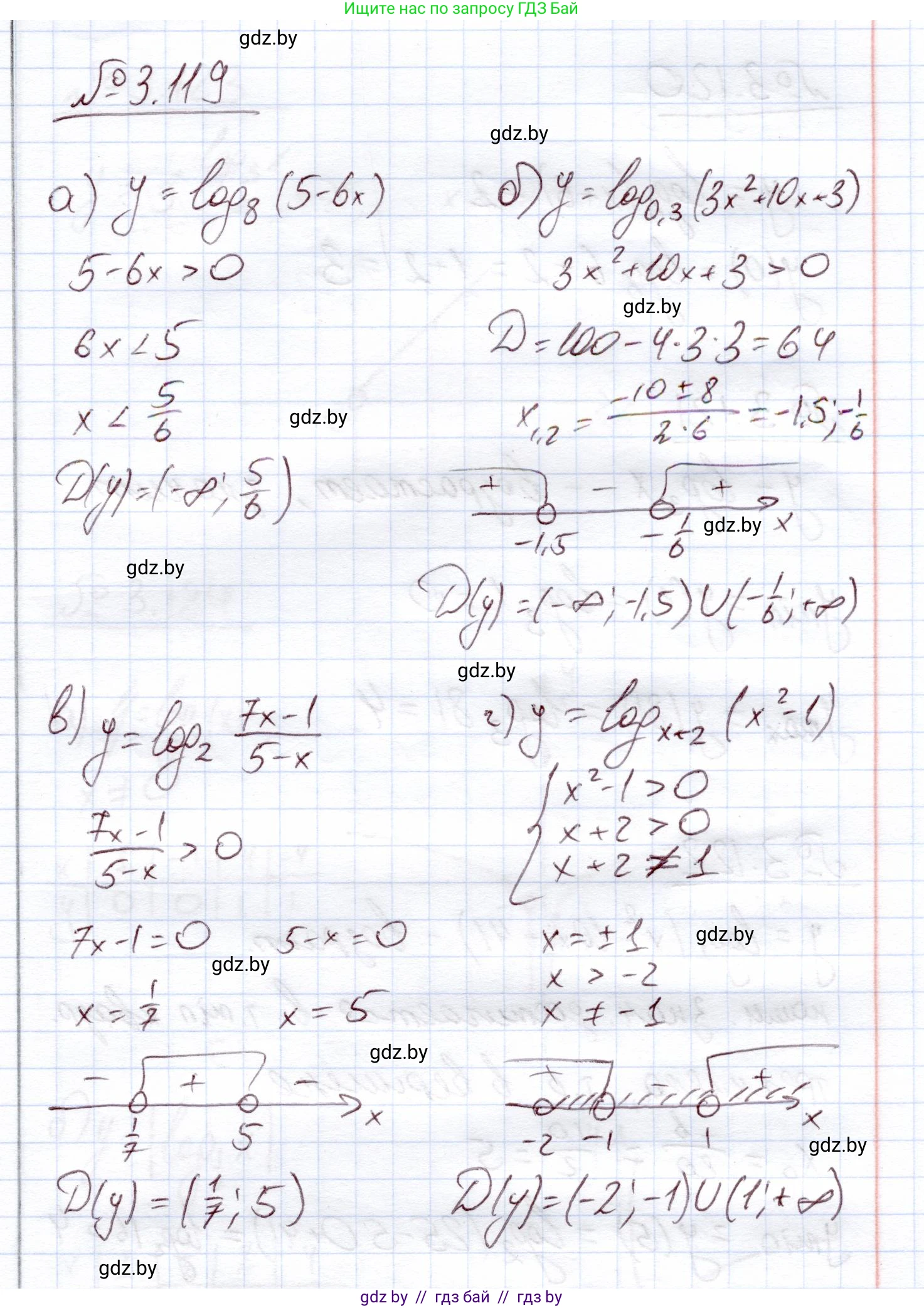
3.119. Найдите область определения функции:

a) $y = \log_8(5 - 6x);$

б) $y = \log_{0,3}(3x^2 + 10x + 3);$

в) $y = \log_2\frac{7x - 1}{5 - x};$

г) $y = \log_{x+2}(x^2 - 1).$

Решение. №3.119 (с. 127)
Алгебра, 11 класс Учебник, авторы: Арефьева Ирина Глебовна, Пирютко Ольга Николаевна, издательство Народная асвета, Минск, 2020, бирюзового цвета, страница 127, номер 3.119, Решение
Решение 2. №3.119 (с. 127)

а) $y = \log_{8}(5 - 6x)$

Область определения логарифмической функции находится из условия, что выражение под знаком логарифма (аргумент) должно быть строго положительным. Основание логарифма равно 8, что удовлетворяет условиям $8 > 0$ и $8 \neq 1$.

Составим и решим неравенство:

$5 - 6x > 0$

$-6x > -5$

При делении обеих частей неравенства на отрицательное число (-6), знак неравенства меняется на противоположный:

$x < \frac{-5}{-6}$

$x < \frac{5}{6}$

Таким образом, область определения функции — это все значения $x$, меньшие $\frac{5}{6}$.

Ответ: $x \in (-\infty; \frac{5}{6})$.

б) $y = \log_{0,3}(3x^2 + 10x + 3)$

Основание логарифма равно 0,3, что удовлетворяет условиям $0,3 > 0$ и $0,3 \neq 1$. Аргумент логарифма должен быть строго больше нуля.

Решим квадратное неравенство:

$3x^2 + 10x + 3 > 0$

Сначала найдем корни соответствующего квадратного уравнения $3x^2 + 10x + 3 = 0$.

Вычислим дискриминант:

$D = b^2 - 4ac = 10^2 - 4 \cdot 3 \cdot 3 = 100 - 36 = 64$

Найдем корни:

$x_1 = \frac{-b - \sqrt{D}}{2a} = \frac{-10 - \sqrt{64}}{2 \cdot 3} = \frac{-10 - 8}{6} = \frac{-18}{6} = -3$

$x_2 = \frac{-b + \sqrt{D}}{2a} = \frac{-10 + \sqrt{64}}{2 \cdot 3} = \frac{-10 + 8}{6} = \frac{-2}{6} = -\frac{1}{3}$

Графиком функции $y = 3x^2 + 10x + 3$ является парабола, ветви которой направлены вверх, так как коэффициент при $x^2$ положителен ($3 > 0$). Следовательно, значения функции положительны вне интервала между корнями.

Таким образом, решение неравенства: $x < -3$ или $x > -\frac{1}{3}$.

Ответ: $x \in (-\infty; -3) \cup (-\frac{1}{3}; +\infty)$.

в) $y = \log_{2}\frac{7x - 1}{5 - x}$

Основание логарифма равно 2 ($2>0, 2\neq1$). Аргумент логарифма должен быть строго положительным.

$\frac{7x - 1}{5 - x} > 0$

Решим это рациональное неравенство методом интервалов. Найдем точки, в которых числитель или знаменатель обращаются в ноль.

Нуль числителя: $7x - 1 = 0 \Rightarrow 7x = 1 \Rightarrow x = \frac{1}{7}$.

Нуль знаменателя: $5 - x = 0 \Rightarrow x = 5$.

Нанесем эти точки на числовую ось и определим знак дроби в каждом из полученных интервалов: $(-\infty; \frac{1}{7})$, $(\frac{1}{7}; 5)$ и $(5; +\infty)$.

  • При $x=0$ (из интервала $(-\infty; \frac{1}{7})$): $\frac{7 \cdot 0 - 1}{5 - 0} = -\frac{1}{5} < 0$.
  • При $x=1$ (из интервала $(\frac{1}{7}; 5)$): $\frac{7 \cdot 1 - 1}{5 - 1} = \frac{6}{4} > 0$.
  • При $x=6$ (из интервала $(5; +\infty)$): $\frac{7 \cdot 6 - 1}{5 - 6} = \frac{41}{-1} < 0$.

Нам нужны значения $x$, при которых дробь положительна. Это интервал $(\frac{1}{7}; 5)$.

Ответ: $x \in (\frac{1}{7}; 5)$.

г) $y = \log_{x + 2}(x^2 - 1)$

В данной функции и основание, и аргумент логарифма зависят от переменной $x$. Область определения функции задается системой из трех условий:

  1. Аргумент логарифма должен быть положителен: $x^2 - 1 > 0$.
  2. Основание логарифма должно быть положительно: $x + 2 > 0$.
  3. Основание логарифма не должно равняться единице: $x + 2 \neq 1$.

Решим каждое условие по отдельности.

1. $x^2 - 1 > 0 \Rightarrow (x-1)(x+1) > 0$. Решением этого неравенства является $x \in (-\infty; -1) \cup (1; +\infty)$.

2. $x + 2 > 0 \Rightarrow x > -2$. Решением является $x \in (-2; +\infty)$.

3. $x + 2 \neq 1 \Rightarrow x \neq -1$.

Теперь найдем пересечение решений всех трех условий. Для этого удобно использовать числовую ось.

Пересекая решение первого условия $(-\infty; -1) \cup (1; +\infty)$ с решением второго $(-2; +\infty)$, получаем: $(-2; -1) \cup (1; +\infty)$.

Третье условие $x \neq -1$ уже учтено, так как точка $-1$ не входит в полученные интервалы.

Следовательно, итоговая область определения функции является объединением интервалов $(-2; -1)$ и $(1; +\infty)$.

Ответ: $x \in (-2; -1) \cup (1; +\infty)$.

Помогло решение? Оставьте отзыв в комментариях ниже.

Присоединяйтесь к Телеграм-группе @gdz_by_belarus

Присоединиться

Мы подготовили для вас ответ c подробным объяснением домашего задания по алгебре за 11 класс, для упражнения номер 3.119 расположенного на странице 127 к учебнику 2020 года издания для учащихся школ и гимназий.

Теперь на нашем сайте ГДЗ.ТОП вы всегда легко и бесплатно найдёте условие с правильным ответом на вопрос «Как решить ДЗ» и «Как сделать» задание по алгебре к упражнению №3.119 (с. 127), авторов: Арефьева (Ирина Глебовна), Пирютко (Ольга Николаевна), учебного пособия издательства Народная асвета.