Номер 2.234, страница 97 - гдз по алгебре 11 класс учебник Арефьева, Пирютко

Алгебра, 11 класс Учебник, авторы: Арефьева Ирина Глебовна, Пирютко Ольга Николаевна, издательство Народная асвета, Минск, 2020, бирюзового цвета

Авторы: Арефьева И. Г., Пирютко О. Н.

Тип: Учебник

Издательство: Народная асвета

Год издания: 2020 - 2026

Цвет обложки: бирюзовый, зелёный с графиком

ISBN: 978-985-03-3165-6

Популярные ГДЗ в 11 классе

Глава 2. Показательная функция. Параграф 6. Показательные неравенства - номер 2.234, страница 97.

№2.234 (с. 97)
Условие. №2.234 (с. 97)
скриншот условия
Алгебра, 11 класс Учебник, авторы: Арефьева Ирина Глебовна, Пирютко Ольга Николаевна, издательство Народная асвета, Минск, 2020, бирюзового цвета, страница 97, номер 2.234, Условие

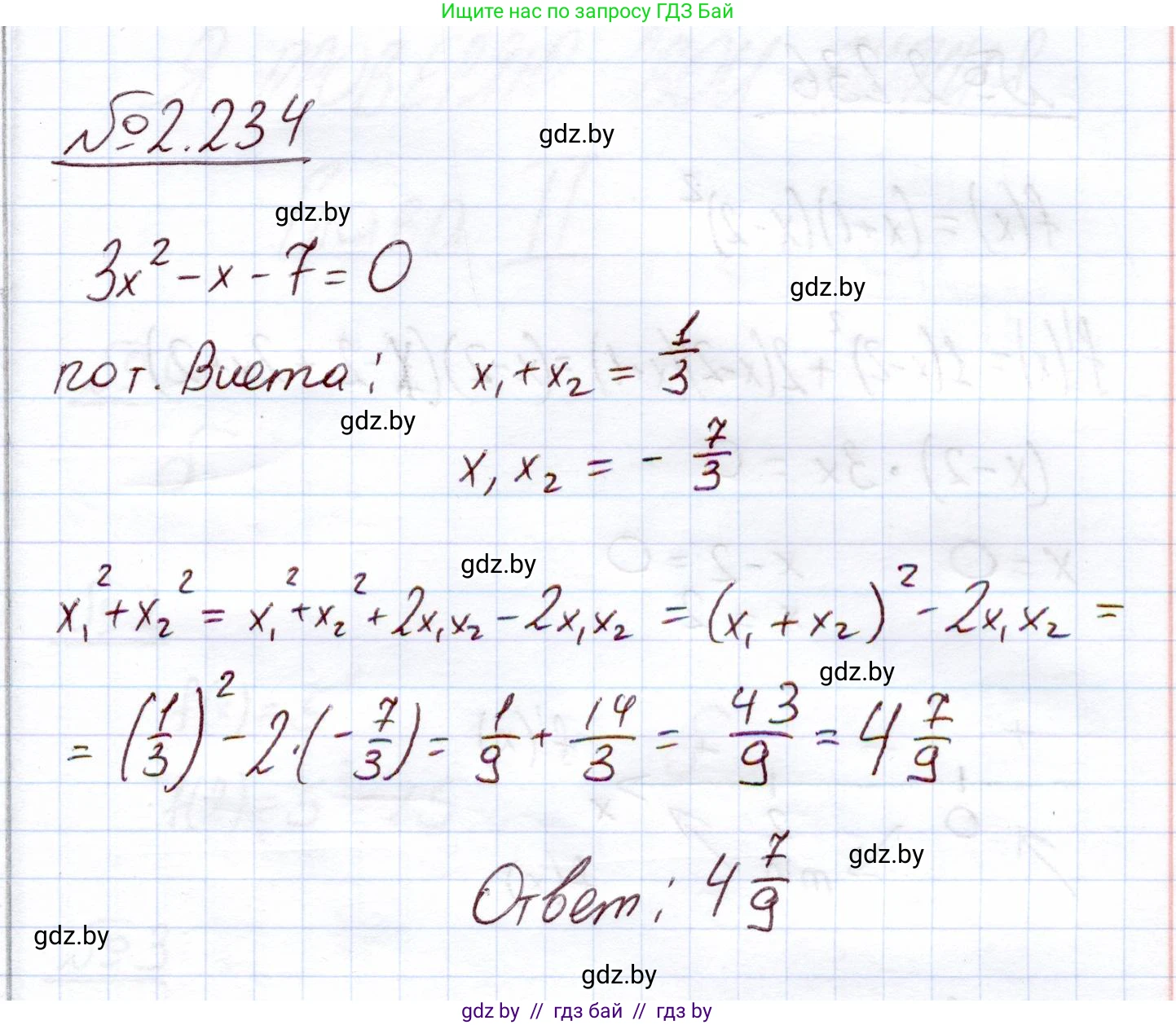
2.234. Найдите сумму квадратов корней уравнения $3x^2 - x - 7 = 0$.

Решение. №2.234 (с. 97)
Алгебра, 11 класс Учебник, авторы: Арефьева Ирина Глебовна, Пирютко Ольга Николаевна, издательство Народная асвета, Минск, 2020, бирюзового цвета, страница 97, номер 2.234, Решение
Решение 2. №2.234 (с. 97)

2.234. Для того чтобы найти сумму квадратов корней уравнения $3x^2 - x - 7 = 0$, мы воспользуемся теоремой Виета, не вычисляя сами корни. Пусть $x_1$ и $x_2$ — корни данного квадратного уравнения. Нам нужно найти значение выражения $x_1^2 + x_2^2$.

Сначала проверим, имеет ли уравнение действительные корни, вычислив его дискриминант $D = b^2 - 4ac$. Для уравнения $3x^2 - x - 7 = 0$ коэффициенты равны: $a = 3$, $b = -1$, $c = -7$.
$D = (-1)^2 - 4 \cdot 3 \cdot (-7) = 1 + 84 = 85$.
Поскольку $D > 0$, уравнение имеет два различных действительных корня, и задача имеет смысл.

Согласно теореме Виета для квадратного уравнения вида $ax^2 + bx + c = 0$, сумма и произведение корней определяются следующими формулами:
Сумма корней: $x_1 + x_2 = -\frac{b}{a}$
Произведение корней: $x_1 \cdot x_2 = \frac{c}{a}$

Применительно к нашему уравнению, подставив значения коэффициентов, получим:
$x_1 + x_2 = -\frac{-1}{3} = \frac{1}{3}$
$x_1 \cdot x_2 = \frac{-7}{3} = -\frac{7}{3}$

Искомое выражение $x_1^2 + x_2^2$ можно преобразовать, выделив полный квадрат суммы:
$x_1^2 + x_2^2 = (x_1^2 + 2x_1x_2 + x_2^2) - 2x_1x_2 = (x_1 + x_2)^2 - 2x_1x_2$.

Теперь подставим известные значения суммы и произведения корней в полученную формулу:
$x_1^2 + x_2^2 = \left(\frac{1}{3}\right)^2 - 2\left(-\frac{7}{3}\right) = \frac{1}{9} + \frac{14}{3}$.
Приведем дроби к общему знаменателю и выполним сложение:
$\frac{1}{9} + \frac{14}{3} = \frac{1}{9} + \frac{14 \cdot 3}{3 \cdot 3} = \frac{1}{9} + \frac{42}{9} = \frac{1 + 42}{9} = \frac{43}{9}$.

Ответ: $\frac{43}{9}$.

Помогло решение? Оставьте отзыв в комментариях ниже.

Присоединяйтесь к Телеграм-группе @gdz_by_belarus

Присоединиться

Мы подготовили для вас ответ c подробным объяснением домашего задания по алгебре за 11 класс, для упражнения номер 2.234 расположенного на странице 97 к учебнику 2020 года издания для учащихся школ и гимназий.

Теперь на нашем сайте ГДЗ.ТОП вы всегда легко и бесплатно найдёте условие с правильным ответом на вопрос «Как решить ДЗ» и «Как сделать» задание по алгебре к упражнению №2.234 (с. 97), авторов: Арефьева (Ирина Глебовна), Пирютко (Ольга Николаевна), учебного пособия издательства Народная асвета.