Номер 2.208, страница 94 - гдз по алгебре 11 класс учебник Арефьева, Пирютко

Алгебра, 11 класс Учебник, авторы: Арефьева Ирина Глебовна, Пирютко Ольга Николаевна, издательство Народная асвета, Минск, 2020, бирюзового цвета

Авторы: Арефьева И. Г., Пирютко О. Н.

Тип: Учебник

Издательство: Народная асвета

Год издания: 2020 - 2026

Цвет обложки: бирюзовый, зелёный с графиком

ISBN: 978-985-03-3165-6

Популярные ГДЗ в 11 классе

Глава 2. Показательная функция. Параграф 6. Показательные неравенства - номер 2.208, страница 94.

№2.208 (с. 94)
Условие. №2.208 (с. 94)
скриншот условия
Алгебра, 11 класс Учебник, авторы: Арефьева Ирина Глебовна, Пирютко Ольга Николаевна, издательство Народная асвета, Минск, 2020, бирюзового цвета, страница 94, номер 2.208, Условие

2.208. Решите неравенство, используя свойство монотонности показательной функции:

a) $(1/5)^{\frac{x^2+11x+49}{2x-9}} \ge 5;$

б) $(0,4^{x^2+2x-3})^{\frac{1}{x}} \ge 1.$

Решение. №2.208 (с. 94)
Алгебра, 11 класс Учебник, авторы: Арефьева Ирина Глебовна, Пирютко Ольга Николаевна, издательство Народная асвета, Минск, 2020, бирюзового цвета, страница 94, номер 2.208, Решение Алгебра, 11 класс Учебник, авторы: Арефьева Ирина Глебовна, Пирютко Ольга Николаевна, издательство Народная асвета, Минск, 2020, бирюзового цвета, страница 94, номер 2.208, Решение (продолжение 2)
Решение 2. №2.208 (с. 94)

а)

Дано неравенство:

$$ \left(\frac{1}{5}\right)^{\frac{x^2+11x+49}{2x-9}} \ge 5 $$

Чтобы решить это показательное неравенство, приведем обе его части к одному основанию. В данном случае удобно использовать основание 5. Поскольку $\frac{1}{5} = 5^{-1}$ и $5 = 5^1$, мы можем переписать неравенство следующим образом:

$$ \left(5^{-1}\right)^{\frac{x^2+11x+49}{2x-9}} \ge 5^1 $$

Используя свойство степени $(a^m)^n = a^{mn}$, получаем:

$$ 5^{-\frac{x^2+11x+49}{2x-9}} \ge 5^1 $$

Теперь воспользуемся свойством монотонности показательной функции. Так как основание $a=5$ больше 1 ($a > 1$), функция $y=5^t$ является возрастающей. Это означает, что большему значению функции соответствует большее значение аргумента (показателя). Поэтому мы можем перейти к неравенству для показателей, сохранив знак неравенства:

$$ -\frac{x^2+11x+49}{2x-9} \ge 1 $$

Область допустимых значений (ОДЗ) для исходного неравенства определяется знаменателем показателя: $2x-9 \ne 0$, откуда $x \ne 4.5$.

Решим полученное рациональное неравенство. Перенесем 1 в левую часть:

$$ -\frac{x^2+11x+49}{2x-9} - 1 \ge 0 $$

Умножим обе части на -1, изменив знак неравенства на противоположный:

$$ \frac{x^2+11x+49}{2x-9} + 1 \le 0 $$

Приведем левую часть к общему знаменателю:

$$ \frac{x^2+11x+49 + (2x-9)}{2x-9} \le 0 $$

$$ \frac{x^2+13x+40}{2x-9} \le 0 $$

Для решения этого неравенства используем метод интервалов. Найдем нули числителя и знаменателя.

Нули числителя: $x^2+13x+40 = 0$. По теореме Виета, корни $x_1=-8$ и $x_2=-5$.

Нуль знаменателя: $2x-9=0$, откуда $x=4.5$.

Нанесем эти точки на числовую ось. Точки -8 и -5 включаем в решение (так как неравенство нестрогое), а точку 4.5 исключаем (знаменатель не может быть равен нулю).

Проверим знаки выражения $\frac{(x+8)(x+5)}{2x-9}$ в полученных интервалах:

  • Интервал $(-\infty, -8]$: выражение $\le 0$. Подходит.
  • Интервал $[-8, -5]$: выражение $\ge 0$. Не подходит.
  • Интервал $[-5, 4.5)$: выражение $\le 0$. Подходит.
  • Интервал $(4.5, +\infty)$: выражение $> 0$. Не подходит.

Объединяя подходящие интервалы, получаем решение неравенства.

Ответ: $(-\infty, -8] \cup [-5, 4.5)$.

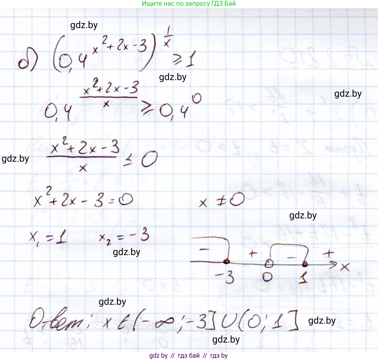
б)

Дано неравенство:

$$ \left(0.4^{x^2+2x-3}\right)^{\frac{1}{x}} \ge 1 $$

Приведем обе части к одному основанию 0.4. Упростим левую часть по свойству $(a^m)^n = a^{mn}$, а правую часть представим как $1 = (0.4)^0$.

$$ (0.4)^{\frac{x^2+2x-3}{x}} \ge (0.4)^0 $$

Воспользуемся свойством монотонности показательной функции. Так как основание $a=0.4$ находится в интервале $0 < a < 1$, функция $y=0.4^t$ является убывающей. Это означает, что большему значению функции соответствует меньшее значение аргумента. Поэтому при переходе к неравенству для показателей знак неравенства необходимо изменить на противоположный:

$$ \frac{x^2+2x-3}{x} \le 0 $$

Область допустимых значений (ОДЗ) исходного неравенства определяется знаменателем показателя: $x \ne 0$.

Решим полученное рациональное неравенство методом интервалов. Найдем нули числителя и знаменателя.

Нули числителя: $x^2+2x-3 = 0$. По теореме Виета, корни $x_1=1$ и $x_2=-3$.

Нуль знаменателя: $x=0$.

Нанесем эти точки на числовую ось. Точки -3 и 1 включаем в решение (неравенство нестрогое), а точку 0 исключаем (ОДЗ).

Проверим знаки выражения $\frac{(x-1)(x+3)}{x}$ в полученных интервалах:

  • Интервал $(-\infty, -3]$: выражение $\le 0$. Подходит.
  • Интервал $[-3, 0)$: выражение $\ge 0$. Не подходит.
  • Интервал $(0, 1]$: выражение $\le 0$. Подходит.
  • Интервал $[1, +\infty)$: выражение $\ge 0$. Не подходит.

Объединяя подходящие интервалы, получаем решение неравенства.

Ответ: $(-\infty, -3] \cup (0, 1]$.

Помогло решение? Оставьте отзыв в комментариях ниже.

Присоединяйтесь к Телеграм-группе @gdz_by_belarus

Присоединиться

Мы подготовили для вас ответ c подробным объяснением домашего задания по алгебре за 11 класс, для упражнения номер 2.208 расположенного на странице 94 к учебнику 2020 года издания для учащихся школ и гимназий.

Теперь на нашем сайте ГДЗ.ТОП вы всегда легко и бесплатно найдёте условие с правильным ответом на вопрос «Как решить ДЗ» и «Как сделать» задание по алгебре к упражнению №2.208 (с. 94), авторов: Арефьева (Ирина Глебовна), Пирютко (Ольга Николаевна), учебного пособия издательства Народная асвета.