Номер 2.198, страница 93 - гдз по алгебре 11 класс учебник Арефьева, Пирютко

Алгебра, 11 класс Учебник, авторы: Арефьева Ирина Глебовна, Пирютко Ольга Николаевна, издательство Народная асвета, Минск, 2020, бирюзового цвета

Авторы: Арефьева И. Г., Пирютко О. Н.

Тип: Учебник

Издательство: Народная асвета

Год издания: 2020 - 2026

Цвет обложки: бирюзовый, зелёный с графиком

ISBN: 978-985-03-3165-6

Популярные ГДЗ в 11 классе

Глава 2. Показательная функция. Параграф 6. Показательные неравенства - номер 2.198, страница 93.

№2.198 (с. 93)
Условие. №2.198 (с. 93)
скриншот условия
Алгебра, 11 класс Учебник, авторы: Арефьева Ирина Глебовна, Пирютко Ольга Николаевна, издательство Народная асвета, Минск, 2020, бирюзового цвета, страница 93, номер 2.198, Условие

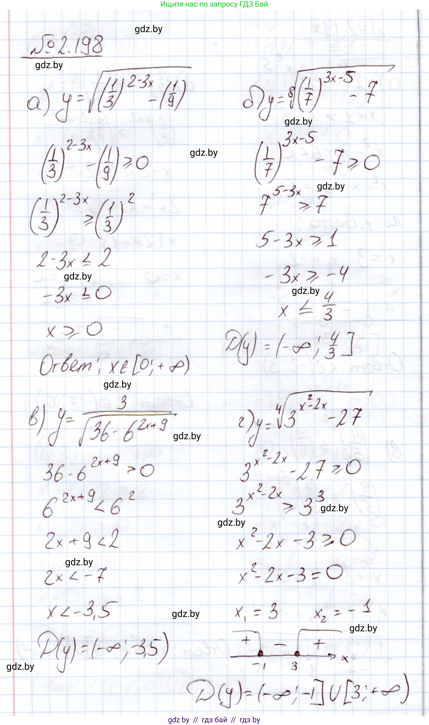
2.198. Найдите область определения функции:

а) $y = \sqrt{\left(\frac{1}{3}\right)^{2-3x} - \left(\frac{1}{9}\right)};$

б) $y = \sqrt[8]{\left(\frac{1}{7}\right)^{3x-5} - 7};$

в) $y = \frac{3}{\sqrt{36 - 6^{2x+9}}};$

г) $y = \sqrt[4]{3^{x^2 - 2x} - 27}.$

Решение. №2.198 (с. 93)
Алгебра, 11 класс Учебник, авторы: Арефьева Ирина Глебовна, Пирютко Ольга Николаевна, издательство Народная асвета, Минск, 2020, бирюзового цвета, страница 93, номер 2.198, Решение
Решение 2. №2.198 (с. 93)

а) $y = \sqrt{(\frac{1}{3})^{2-3x} - \frac{1}{9}}$

Область определения функции задается условием, что подкоренное выражение должно быть неотрицательным:

$(\frac{1}{3})^{2-3x} - \frac{1}{9} \geq 0$

Перенесем $\frac{1}{9}$ в правую часть и представим его как степень $\frac{1}{3}$:

$(\frac{1}{3})^{2-3x} \geq \frac{1}{9}$

$(\frac{1}{3})^{2-3x} \geq (\frac{1}{3})^2$

Так как основание степени $\frac{1}{3}$ меньше 1 ( $0 < \frac{1}{3} < 1$ ), то при переходе к сравнению показателей знак неравенства меняется на противоположный:

$2 - 3x \leq 2$

Вычтем 2 из обеих частей:

$-3x \leq 0$

Разделим обе части на -3, изменив знак неравенства:

$x \geq 0$

Ответ: $x \in [0, +\infty)$.

б) $y = \sqrt[8]{(\frac{1}{7})^{3x-5} - 7}$

Область определения функции, содержащей корень четной степени (в данном случае 8), задается условием, что подкоренное выражение должно быть неотрицательным:

$(\frac{1}{7})^{3x-5} - 7 \geq 0$

Перенесем 7 в правую часть и представим его как степень $\frac{1}{7}$:

$(\frac{1}{7})^{3x-5} \geq 7$

$(\frac{1}{7})^{3x-5} \geq (\frac{1}{7})^{-1}$

Так как основание степени $\frac{1}{7}$ меньше 1 ( $0 < \frac{1}{7} < 1$ ), то при переходе к сравнению показателей знак неравенства меняется на противоположный:

$3x - 5 \leq -1$

Прибавим 5 к обеим частям:

$3x \leq 4$

Разделим обе части на 3:

$x \leq \frac{4}{3}$

Ответ: $x \in (-\infty, \frac{4}{3}]$.

в) $y = \frac{3}{\sqrt{36 - 6^{2x+9}}}$

Область определения функции задается двумя условиями: подкоренное выражение должно быть неотрицательным, а знаменатель не должен быть равен нулю. Объединяя эти условия, получаем, что выражение под корнем в знаменателе должно быть строго больше нуля:

$36 - 6^{2x+9} > 0$

Перенесем $6^{2x+9}$ в правую часть и представим 36 как степень 6:

$36 > 6^{2x+9}$

$6^2 > 6^{2x+9}$

Так как основание степени 6 больше 1, то при переходе к сравнению показателей знак неравенства сохраняется:

$2 > 2x + 9$

Вычтем 9 из обеих частей:

$-7 > 2x$

Разделим обе части на 2:

$-\frac{7}{2} > x$, или $x < -3.5$

Ответ: $x \in (-\infty, -3.5)$.

г) $y = \sqrt[4]{3^{x^2-2x} - 27}$

Область определения функции, содержащей корень четной степени (в данном случае 4), задается условием, что подкоренное выражение должно быть неотрицательным:

$3^{x^2-2x} - 27 \geq 0$

Перенесем 27 в правую часть и представим его как степень 3:

$3^{x^2-2x} \geq 27$

$3^{x^2-2x} \geq 3^3$

Так как основание степени 3 больше 1, то при переходе к сравнению показателей знак неравенства сохраняется:

$x^2 - 2x \geq 3$

Перенесем 3 в левую часть, чтобы получить квадратное неравенство:

$x^2 - 2x - 3 \geq 0$

Для решения квадратного неравенства найдем корни соответствующего уравнения $x^2 - 2x - 3 = 0$. По теореме Виета, сумма корней равна 2, а произведение равно -3. Корни уравнения: $x_1 = 3$ и $x_2 = -1$.

Графиком функции $f(x) = x^2 - 2x - 3$ является парабола с ветвями, направленными вверх. Следовательно, значения функции неотрицательны при $x$ вне интервала между корнями.

Таким образом, решение неравенства: $x \leq -1$ или $x \geq 3$.

Ответ: $x \in (-\infty, -1] \cup [3, +\infty)$.

Помогло решение? Оставьте отзыв в комментариях ниже.

Присоединяйтесь к Телеграм-группе @gdz_by_belarus

Присоединиться

Мы подготовили для вас ответ c подробным объяснением домашего задания по алгебре за 11 класс, для упражнения номер 2.198 расположенного на странице 93 к учебнику 2020 года издания для учащихся школ и гимназий.

Теперь на нашем сайте ГДЗ.ТОП вы всегда легко и бесплатно найдёте условие с правильным ответом на вопрос «Как решить ДЗ» и «Как сделать» задание по алгебре к упражнению №2.198 (с. 93), авторов: Арефьева (Ирина Глебовна), Пирютко (Ольга Николаевна), учебного пособия издательства Народная асвета.