Номер 1.47, страница 18 - гдз по алгебре 11 класс учебник Арефьева, Пирютко

Алгебра, 11 класс Учебник, авторы: Арефьева Ирина Глебовна, Пирютко Ольга Николаевна, издательство Народная асвета, Минск, 2020, бирюзового цвета

Авторы: Арефьева И. Г., Пирютко О. Н.

Тип: Учебник

Издательство: Народная асвета

Год издания: 2020 - 2026

Цвет обложки: бирюзовый, зелёный с графиком

ISBN: 978-985-03-3165-6

Популярные ГДЗ в 11 классе

Глава 1. Обобщение понятия степени. Параграф 1. Степень с рациональным показателем и ее свойства. Степень с действительным показателем - номер 1.47, страница 18.

№1.47 (с. 18)
Условие. №1.47 (с. 18)
скриншот условия
Алгебра, 11 класс Учебник, авторы: Арефьева Ирина Глебовна, Пирютко Ольга Николаевна, издательство Народная асвета, Минск, 2020, бирюзового цвета, страница 18, номер 1.47, Условие

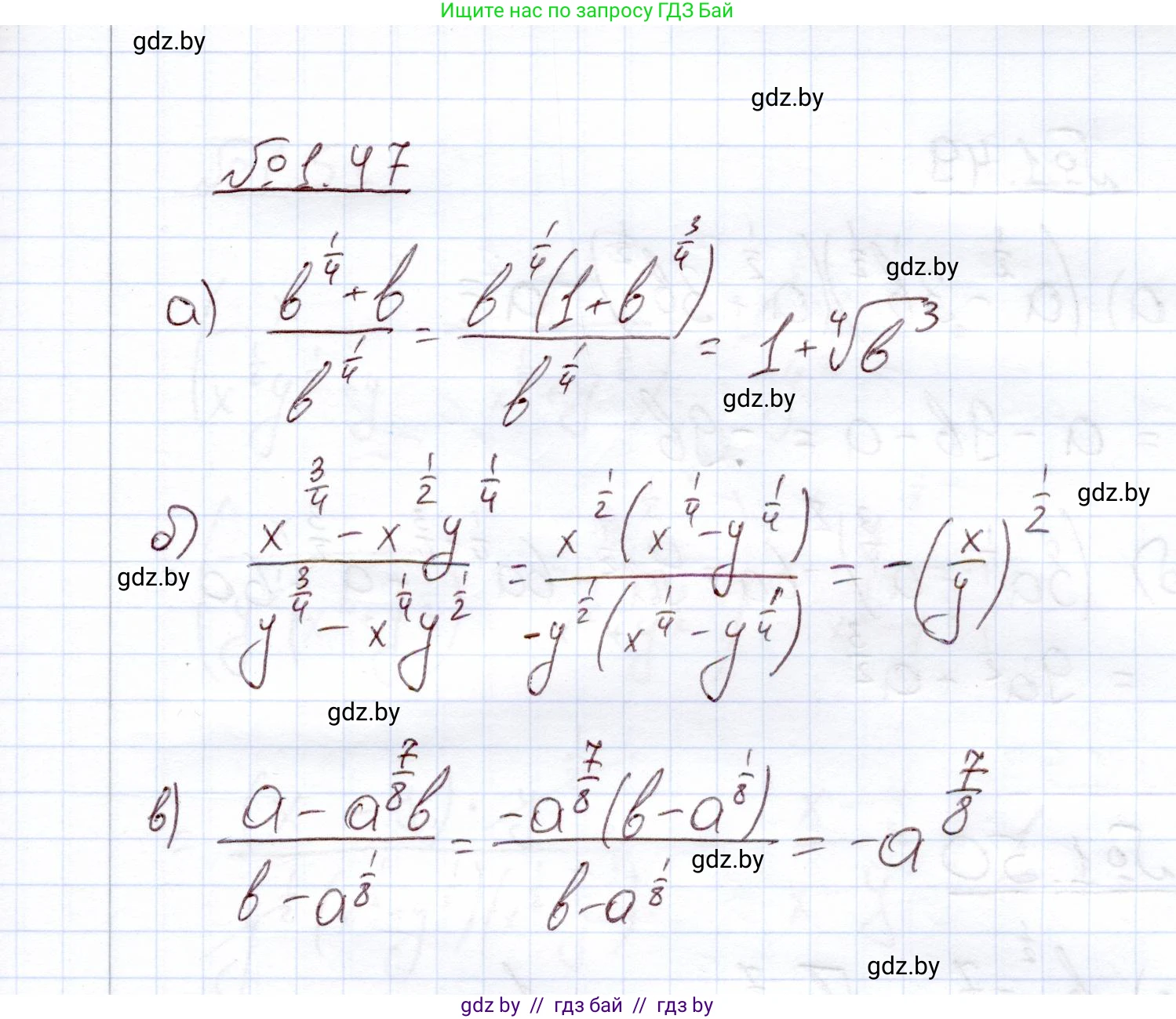
1.47. Сократите дробь:

а) $\frac{\frac{1}{b^4} + b}{\frac{1}{b^4}};

б) $\frac{x^{\frac{3}{4}} - x^{\frac{1}{2}} y^{\frac{1}{4}}}{y^{\frac{3}{4}} - x^{\frac{1}{4}} y^{\frac{1}{2}}};

В) $\frac{a - a^{\frac{7}{8}}b}{b - a^{\frac{1}{8}}}$.

Решение. №1.47 (с. 18)
Алгебра, 11 класс Учебник, авторы: Арефьева Ирина Глебовна, Пирютко Ольга Николаевна, издательство Народная асвета, Минск, 2020, бирюзового цвета, страница 18, номер 1.47, Решение
Решение 2. №1.47 (с. 18)

а) Для сокращения дроби $\frac{\frac{1}{b^4} + b}{\frac{1}{b^4}}$ умножим ее числитель и знаменатель на $b^4$. Это позволит избавиться от дробей в числителе и знаменателе.

Выполним умножение числителя: $$ (\frac{1}{b^4} + b) \cdot b^4 = \frac{1}{b^4} \cdot b^4 + b \cdot b^4 = 1 + b^5 $$

Выполним умножение знаменателя: $$ \frac{1}{b^4} \cdot b^4 = 1 $$

Таким образом, исходная дробь упрощается до: $$ \frac{1 + b^5}{1} = 1 + b^5 $$ Ответ: $1+b^5$

б) Рассмотрим дробь $\frac{x^{\frac{3}{4}} - x^{\frac{1}{2}}y^{\frac{1}{4}}}{y^{\frac{3}{4}} - x^{\frac{1}{4}}y^{\frac{1}{2}}}$. Для ее сокращения вынесем общие множители в числителе и знаменателе.

В числителе вынесем за скобки $x^{\frac{1}{2}}$: $$ x^{\frac{3}{4}} - x^{\frac{1}{2}}y^{\frac{1}{4}} = x^{\frac{1}{2}}(x^{\frac{3}{4}-\frac{1}{2}} - y^{\frac{1}{4}}) = x^{\frac{1}{2}}(x^{\frac{1}{4}} - y^{\frac{1}{4}}) $$

В знаменателе вынесем за скобки $y^{\frac{1}{2}}$: $$ y^{\frac{3}{4}} - x^{\frac{1}{4}}y^{\frac{1}{2}} = y^{\frac{1}{2}}(y^{\frac{3}{4}-\frac{1}{2}} - x^{\frac{1}{4}}) = y^{\frac{1}{2}}(y^{\frac{1}{4}} - x^{\frac{1}{4}}) $$

Теперь дробь имеет вид: $$ \frac{x^{\frac{1}{2}}(x^{\frac{1}{4}} - y^{\frac{1}{4}})}{y^{\frac{1}{2}}(y^{\frac{1}{4}} - x^{\frac{1}{4}})} $$

Заметим, что $(y^{\frac{1}{4}} - x^{\frac{1}{4}}) = -(x^{\frac{1}{4}} - y^{\frac{1}{4}})$. Подставим это в знаменатель: $$ \frac{x^{\frac{1}{2}}(x^{\frac{1}{4}} - y^{\frac{1}{4}})}{-y^{\frac{1}{2}}(x^{\frac{1}{4}} - y^{\frac{1}{4}})} $$

Сократим общий множитель $(x^{\frac{1}{4}} - y^{\frac{1}{4}})$: $$ -\frac{x^{\frac{1}{2}}}{y^{\frac{1}{2}}} = -(\frac{x}{y})^{\frac{1}{2}} $$ Ответ: $-(\frac{x}{y})^{\frac{1}{2}}$

в) Рассмотрим дробь $\frac{a - a^{\frac{7}{8}}b}{b - a^{\frac{1}{8}}}$. Для ее сокращения вынесем общий множитель в числителе.

В числителе вынесем за скобки $a^{\frac{7}{8}}$: $$ a - a^{\frac{7}{8}}b = a^1 - a^{\frac{7}{8}}b = a^{\frac{7}{8}}(a^{1-\frac{7}{8}} - b) = a^{\frac{7}{8}}(a^{\frac{1}{8}} - b) $$

Теперь дробь имеет вид: $$ \frac{a^{\frac{7}{8}}(a^{\frac{1}{8}} - b)}{b - a^{\frac{1}{8}}} $$

Заметим, что выражение в знаменателе $(b - a^{\frac{1}{8}})$ является противоположным выражению $(a^{\frac{1}{8}} - b)$ в числителе, то есть $(b - a^{\frac{1}{8}}) = -(a^{\frac{1}{8}} - b)$. $$ \frac{a^{\frac{7}{8}}(a^{\frac{1}{8}} - b)}{-(a^{\frac{1}{8}} - b)} $$

Сократим общий множитель $(a^{\frac{1}{8}} - b)$: $$ \frac{a^{\frac{7}{8}}}{-1} = -a^{\frac{7}{8}} $$ Ответ: $-a^{\frac{7}{8}}$

Помогло решение? Оставьте отзыв в комментариях ниже.

Присоединяйтесь к Телеграм-группе @gdz_by_belarus

Присоединиться

Мы подготовили для вас ответ c подробным объяснением домашего задания по алгебре за 11 класс, для упражнения номер 1.47 расположенного на странице 18 к учебнику 2020 года издания для учащихся школ и гимназий.

Теперь на нашем сайте ГДЗ.ТОП вы всегда легко и бесплатно найдёте условие с правильным ответом на вопрос «Как решить ДЗ» и «Как сделать» задание по алгебре к упражнению №1.47 (с. 18), авторов: Арефьева (Ирина Глебовна), Пирютко (Ольга Николаевна), учебного пособия издательства Народная асвета.