Номер 2, страница 59 - гдз по алгебре 11 класс сборник задач Арефьева, Пирютко

Алгебра, 11 класс Сборник задач, авторы: Арефьева Ирина Глебовна, Пирютко Ольга Николаевна, издательство Народная асвета, Минск, 2020, белого цвета

Авторы: Арефьева И. Г., Пирютко О. Н.

Тип: Сборник задач

Издательство: Народная асвета

Год издания: 2020 - 2026

Уровень обучения: базовый и повышенный

Цвет обложки: белый с графиком

Допущено Министерством образования Республики Беларусь

Популярные ГДЗ в 11 классе

Глава 3. Логарифмическая функция. Параграф 8. Логарифмическая функция. Производная логарифмической функции - номер 2, страница 59.

№2 (с. 59)
Условие. №2 (с. 59)
скриншот условия
Алгебра, 11 класс Сборник задач, авторы: Арефьева Ирина Глебовна, Пирютко Ольга Николаевна, издательство Народная асвета, Минск, 2020, белого цвета, страница 59, номер 2, Условие

8.2. Найдите область определения функции:

а) $y = \lg(-x^2 - x)$;

б) $y = \log_{0,3}(1 - 4x^2)$;

В) $y = \lg\frac{x^2 - 9}{x}$;

Г) $f(x) = \sqrt[4]{7} + \log_5\left(1 - \frac{1}{x}\right)$;

Д) $y = \lg\left(\frac{2}{x - 1} - \frac{1}{7}\right)$;

е) $f(x) = \ln\left(\frac{2x - 7}{x^2 + 2x - 8} - 1\right)$.

Решение. №2 (с. 59)
Алгебра, 11 класс Сборник задач, авторы: Арефьева Ирина Глебовна, Пирютко Ольга Николаевна, издательство Народная асвета, Минск, 2020, белого цвета, страница 59, номер 2, Решение Алгебра, 11 класс Сборник задач, авторы: Арефьева Ирина Глебовна, Пирютко Ольга Николаевна, издательство Народная асвета, Минск, 2020, белого цвета, страница 59, номер 2, Решение (продолжение 2)
Решение 2. №2 (с. 59)

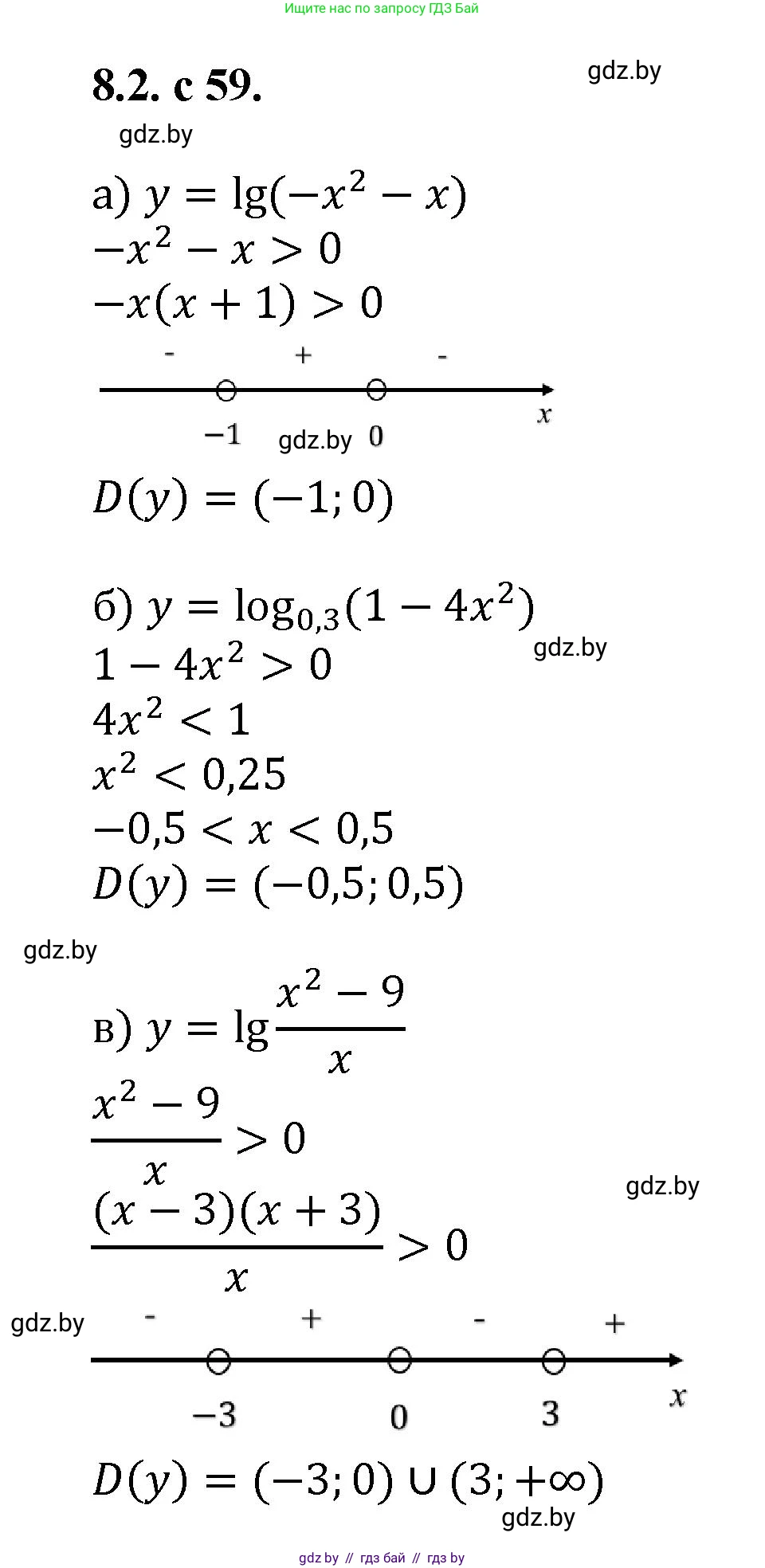
а) Область определения логарифмической функции $y = \lg(-x^2 - x)$ находится из условия, что выражение под знаком логарифма должно быть строго положительным:

$-x^2 - x > 0$

Умножим неравенство на -1, изменив его знак на противоположный:

$x^2 + x < 0$

Разложим левую часть на множители, вынеся $x$ за скобки:

$x(x + 1) < 0$

Это квадратичное неравенство. Корнями соответствующего уравнения $x(x+1) = 0$ являются $x_1 = -1$ и $x_2 = 0$. Так как ветви параболы $y = x^2 + x$ направлены вверх, неравенство $x^2 + x < 0$ выполняется в интервале между корнями.

Следовательно, область определения функции: $x \in (-1, 0)$.

Ответ: $D(y) = (-1, 0)$.

б) Для функции $y = \log_{0,3}(1 - 4x^2)$ найдем область определения из условия:

$1 - 4x^2 > 0$

Перенесем $4x^2$ в правую часть:

$1 > 4x^2$

Разделим обе части на 4:

$x^2 < \frac{1}{4}$

Решением этого неравенства является интервал:

$-\sqrt{\frac{1}{4}} < x < \sqrt{\frac{1}{4}}$

$-\frac{1}{2} < x < \frac{1}{2}$

Следовательно, область определения функции: $x \in (-\frac{1}{2}, \frac{1}{2})$.

Ответ: $D(y) = (-\frac{1}{2}, \frac{1}{2})$.

в) Область определения функции $y = \lg\frac{x^2 - 9}{x}$ определяется неравенством:

$\frac{x^2 - 9}{x} > 0$

Разложим числитель на множители по формуле разности квадратов:

$\frac{(x-3)(x+3)}{x} > 0$

Решим это рациональное неравенство методом интервалов. Находим нули числителя ($x=3, x=-3$) и нуль знаменателя ($x=0$). Отметим эти точки на числовой прямой и определим знаки выражения в каждом из полученных интервалов.

  • Интервал $(3, +\infty)$: $x=4 \implies \frac{(+)(+)}{(+)} > 0$. Подходит.
  • Интервал $(0, 3)$: $x=1 \implies \frac{(-)(+)}{(+)} < 0$. Не подходит.
  • Интервал $(-3, 0)$: $x=-1 \implies \frac{(-)(+)}{(-)} > 0$. Подходит.
  • Интервал $(-\infty, -3)$: $x=-4 \implies \frac{(-)(-)}{(-)} < 0$. Не подходит.

Объединяя интервалы, где неравенство выполняется, получаем область определения.

Ответ: $D(y) = (-3, 0) \cup (3, \infty)$.

г) Функция $f(x) = \sqrt[4]{7} + \log_5(1 - \frac{1}{x})$ определена, когда определено каждое из слагаемых. Слагаемое $\sqrt[4]{7}$ — это константа, она определена всегда. Для логарифмического слагаемого должно выполняться условие:

$1 - \frac{1}{x} > 0$

Приведем левую часть к общему знаменателю:

$\frac{x - 1}{x} > 0$

Решим неравенство методом интервалов. Нуль числителя $x=1$, нуль знаменателя $x=0$.

  • Интервал $(1, +\infty)$: $x=2 \implies \frac{(+)}{(+)} > 0$. Подходит.
  • Интервал $(0, 1)$: $x=0.5 \implies \frac{(-)}{(+)} < 0$. Не подходит.
  • Интервал $(-\infty, 0)$: $x=-1 \implies \frac{(-)}{(-)} > 0$. Подходит.

Область определения является объединением этих интервалов.

Ответ: $D(f) = (-\infty, 0) \cup (1, \infty)$.

д) Для функции $y = \lg(\frac{2}{x-1} - \frac{1}{7})$ найдем область определения из условия:

$\frac{2}{x-1} - \frac{1}{7} > 0$

Приведем выражение в скобках к общему знаменателю $7(x-1)$:

$\frac{2 \cdot 7 - 1 \cdot (x-1)}{7(x-1)} > 0$

$\frac{14 - x + 1}{7(x-1)} > 0$

$\frac{15 - x}{7(x-1)} > 0$

Так как множитель 7 в знаменателе положителен, его можно опустить, не меняя знака неравенства:

$\frac{15 - x}{x-1} > 0$

Решим методом интервалов. Нули числителя и знаменателя: $x=15$ и $x=1$.

  • Интервал $(15, +\infty)$: $x=16 \implies \frac{(-)}{(+)} < 0$. Не подходит.
  • Интервал $(1, 15)$: $x=2 \implies \frac{(+)}{(+)} > 0$. Подходит.
  • Интервал $(-\infty, 1)$: $x=0 \implies \frac{(+)}{(-)} < 0$. Не подходит.

Решением является интервал $(1, 15)$.

Ответ: $D(y) = (1, 15)$.

е) Область определения функции $f(x) = \ln(\frac{2x - 7}{x^2 + 2x - 8} - 1)$ определяется условием:

$\frac{2x - 7}{x^2 + 2x - 8} - 1 > 0$

Приведем к общему знаменателю:

$\frac{2x - 7 - (x^2 + 2x - 8)}{x^2 + 2x - 8} > 0$

$\frac{2x - 7 - x^2 - 2x + 8}{x^2 + 2x - 8} > 0$

$\frac{-x^2 + 1}{x^2 + 2x - 8} > 0$

Умножим на -1 и сменим знак неравенства:

$\frac{x^2 - 1}{x^2 + 2x - 8} < 0$

Разложим числитель и знаменатель на множители. Корни числителя $x^2-1=0$ это $x = \pm 1$. Корни знаменателя $x^2+2x-8=0$ (по теореме Виета) это $x_1 = 2, x_2 = -4$.

$\frac{(x-1)(x+1)}{(x-2)(x+4)} < 0$

Решим методом интервалов. Отмечаем на числовой прямой точки -4, -1, 1, 2.

  • Интервал $(2, +\infty)$: $x=3 \implies \frac{(+)(+)}{(+)(+)} > 0$.
  • Интервал $(1, 2)$: $x=1.5 \implies \frac{(+)(+)}{(-)(+)} < 0$. Подходит.
  • Интервал $(-1, 1)$: $x=0 \implies \frac{(-)(+)}{(-)(+)} > 0$.
  • Интервал $(-4, -1)$: $x=-2 \implies \frac{(-)(-)}{(-)(+)} < 0$. Подходит.
  • Интервал $(-\infty, -4)$: $x=-5 \implies \frac{(-)(-)}{(-)(-)} > 0$.

Объединяем подходящие интервалы.

Ответ: $D(f) = (-4, -1) \cup (1, 2)$.

Помогло решение? Оставьте отзыв в комментариях ниже.

Присоединяйтесь к Телеграм-группе @gdz_by_belarus

Присоединиться

Мы подготовили для вас ответ c подробным объяснением домашего задания по алгебре за 11 класс, для упражнения номер 2 расположенного на странице 59 к сборнику задач 2020 года издания для учащихся школ и гимназий.

Теперь на нашем сайте ГДЗ.ТОП вы всегда легко и бесплатно найдёте условие с правильным ответом на вопрос «Как решить ДЗ» и «Как сделать» задание по алгебре к упражнению №2 (с. 59), авторов: Арефьева (Ирина Глебовна), Пирютко (Ольга Николаевна), базовый и повышенный уровень обучения учебного пособия издательства Народная асвета.