Номер 3.80, страница 252 - гдз по алгебре 10 класс учебник Арефьева, Пирютко

Алгебра, 10 класс Учебник, авторы: Арефьева Ирина Глебовна, Пирютко Ольга Николаевна, издательство Народная асвета, Минск, 2019, голубого цвета

Авторы: Арефьева И. Г., Пирютко О. Н.

Тип: Учебник

Издательство: Народная асвета

Год издания: 2019 - 2026

Цвет обложки: голубой с графиком

Допущено Министерством образования Республики Беларусь

Популярные ГДЗ в 10 классе

Глава 3. Производная. Параграф 20. Геометрический смысл производной. Связь между знаком производной функции и ее возрастанием или убыванием - номер 3.80, страница 252.

№3.80 (с. 252)
Условие. №3.80 (с. 252)
скриншот условия
Алгебра, 10 класс Учебник, авторы: Арефьева Ирина Глебовна, Пирютко Ольга Николаевна, издательство Народная асвета, Минск, 2019, голубого цвета, страница 252, номер 3.80, Условие

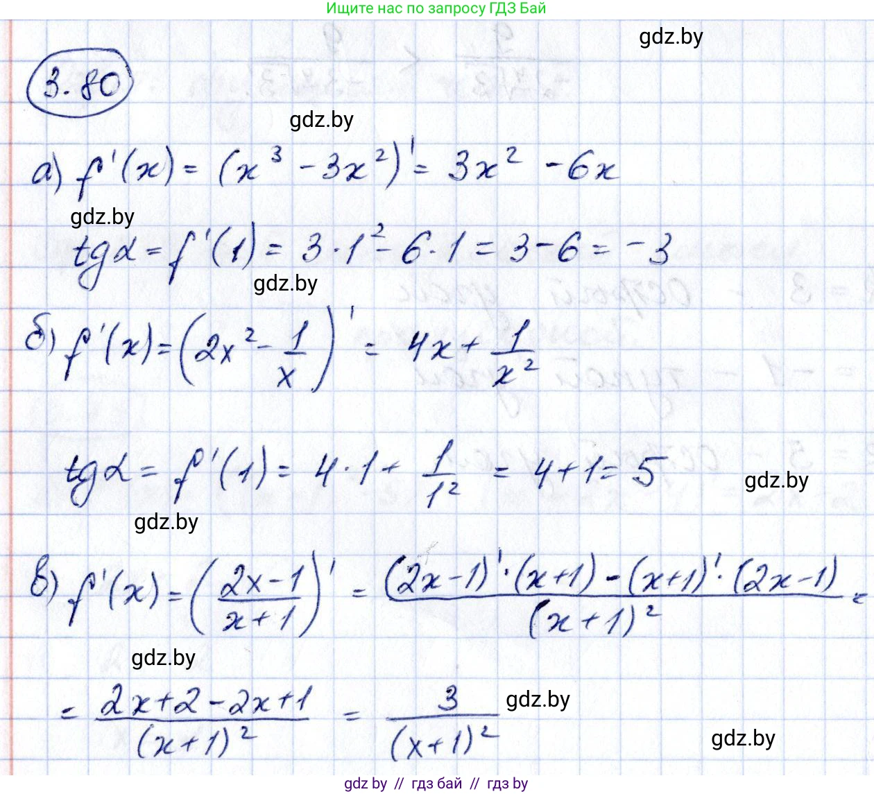
3.80. Найдите тангенс угла наклона касательной к графику функции $y = f(x)$ в точке $x_0 = 1$, если: Рис. 147

a) $f(x) = x^3 - 3x^2;$

б) $f(x) = 2x^2 - \frac{1}{x};$

в) $f(x) = \frac{2x - 1}{x + 1}.$

Решение. №3.80 (с. 252)
Алгебра, 10 класс Учебник, авторы: Арефьева Ирина Глебовна, Пирютко Ольга Николаевна, издательство Народная асвета, Минск, 2019, голубого цвета, страница 252, номер 3.80, Решение Алгебра, 10 класс Учебник, авторы: Арефьева Ирина Глебовна, Пирютко Ольга Николаевна, издательство Народная асвета, Минск, 2019, голубого цвета, страница 252, номер 3.80, Решение (продолжение 2)
Решение 2. №3.80 (с. 252)

Геометрический смысл производной заключается в том, что значение производной функции $f(x)$ в точке $x_0$ равно тангенсу угла наклона касательной, проведенной к графику функции в этой точке. Таким образом, чтобы найти тангенс угла наклона, нам нужно найти производную функции $f'(x)$ и вычислить ее значение в точке $x_0 = 1$.

a) Дана функция $f(x) = x^3 - 3x^2$.
1. Найдем производную функции, используя правила дифференцирования степенной функции и суммы/разности функций:
$f'(x) = (x^3 - 3x^2)' = (x^3)' - (3x^2)' = 3x^{3-1} - 3 \cdot 2x^{2-1} = 3x^2 - 6x$.
2. Вычислим значение производной в точке $x_0 = 1$:
$f'(1) = 3(1)^2 - 6(1) = 3 \cdot 1 - 6 = 3 - 6 = -3$.
Ответ: -3.

б) Дана функция $f(x) = 2x^2 - \frac{1}{x}$.
1. Для удобства дифференцирования представим функцию в виде $f(x) = 2x^2 - x^{-1}$. Найдем ее производную:
$f'(x) = (2x^2 - x^{-1})' = (2x^2)' - (x^{-1})' = 2 \cdot 2x - (-1)x^{-1-1} = 4x + x^{-2} = 4x + \frac{1}{x^2}$.
2. Вычислим значение производной в точке $x_0 = 1$:
$f'(1) = 4(1) + \frac{1}{1^2} = 4 + 1 = 5$.
Ответ: 5.

в) Дана функция $f(x) = \frac{2x - 1}{x + 1}$.
1. Найдем производную, используя правило дифференцирования частного $(\frac{u}{v})' = \frac{u'v - uv'}{v^2}$:
$f'(x) = \frac{(2x-1)'(x+1) - (2x-1)(x+1)'}{(x+1)^2} = \frac{2(x+1) - (2x-1) \cdot 1}{(x+1)^2}$.
Раскроем скобки в числителе:
$f'(x) = \frac{2x + 2 - 2x + 1}{(x+1)^2} = \frac{3}{(x+1)^2}$.
2. Вычислим значение производной в точке $x_0 = 1$:
$f'(1) = \frac{3}{(1+1)^2} = \frac{3}{2^2} = \frac{3}{4}$.
Ответ: $\frac{3}{4}$.

Помогло решение? Оставьте отзыв в комментариях ниже.

Присоединяйтесь к Телеграм-группе @gdz_by_belarus

Присоединиться

Мы подготовили для вас ответ c подробным объяснением домашего задания по алгебре за 10 класс, для упражнения номер 3.80 расположенного на странице 252 к учебнику 2019 года издания для учащихся школ и гимназий.

Теперь на нашем сайте ГДЗ.ТОП вы всегда легко и бесплатно найдёте условие с правильным ответом на вопрос «Как решить ДЗ» и «Как сделать» задание по алгебре к упражнению №3.80 (с. 252), авторов: Арефьева (Ирина Глебовна), Пирютко (Ольга Николаевна), учебного пособия издательства Народная асвета.