Номер 3.71, страница 239 - гдз по алгебре 10 класс учебник Арефьева, Пирютко

Алгебра, 10 класс Учебник, авторы: Арефьева Ирина Глебовна, Пирютко Ольга Николаевна, издательство Народная асвета, Минск, 2019, голубого цвета

Авторы: Арефьева И. Г., Пирютко О. Н.

Тип: Учебник

Издательство: Народная асвета

Год издания: 2019 - 2026

Цвет обложки: голубой с графиком

Допущено Министерством образования Республики Беларусь

Популярные ГДЗ в 10 классе

Глава 3. Производная. Параграф 19. Правила вычисления производных - номер 3.71, страница 239.

№3.71 (с. 239)
Условие. №3.71 (с. 239)
скриншот условия
Алгебра, 10 класс Учебник, авторы: Арефьева Ирина Глебовна, Пирютко Ольга Николаевна, издательство Народная асвета, Минск, 2019, голубого цвета, страница 239, номер 3.71, Условие

(3)

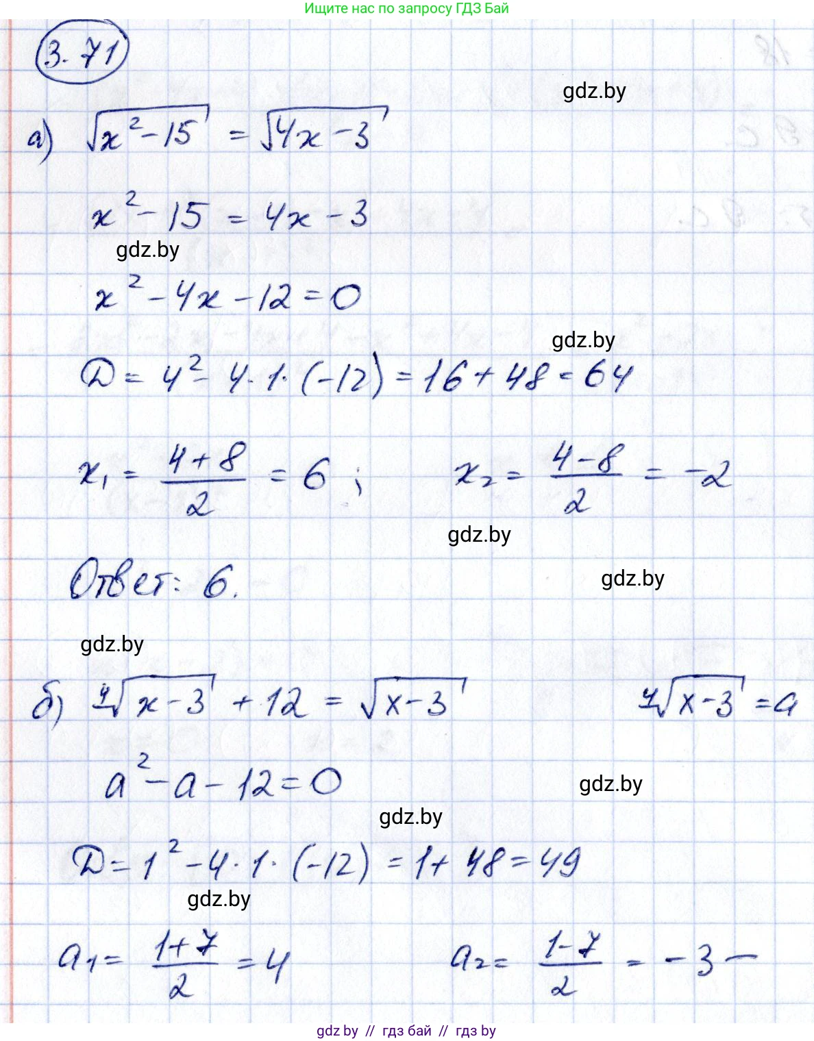
3.71. Решите уравнение:

а) $\sqrt{x^2 - 15} = \sqrt{4x - 3}$;

б) $\sqrt[4]{x - 3} + 12 = \sqrt{x - 3}$.

Решение. №3.71 (с. 239)
Алгебра, 10 класс Учебник, авторы: Арефьева Ирина Глебовна, Пирютко Ольга Николаевна, издательство Народная асвета, Минск, 2019, голубого цвета, страница 239, номер 3.71, Решение Алгебра, 10 класс Учебник, авторы: Арефьева Ирина Глебовна, Пирютко Ольга Николаевна, издательство Народная асвета, Минск, 2019, голубого цвета, страница 239, номер 3.71, Решение (продолжение 2)
Решение 2. №3.71 (с. 239)

а) $\sqrt{x^2 - 15} = \sqrt{4x - 3}$

Для решения иррационального уравнения найдем область допустимых значений (ОДЗ). Выражения под знаком корня должны быть неотрицательными:

$\begin{cases} x^2 - 15 \ge 0 \\ 4x - 3 \ge 0 \end{cases}$

Решим систему неравенств:

1) $4x - 3 \ge 0 \implies 4x \ge 3 \implies x \ge \frac{3}{4}$

2) $x^2 - 15 \ge 0 \implies x^2 \ge 15 \implies |x| \ge \sqrt{15}$, что равносильно $x \ge \sqrt{15}$ или $x \le -\sqrt{15}$.

Объединяя условия, получаем, что $x$ должен одновременно удовлетворять $x \ge \frac{3}{4}$ и ($x \ge \sqrt{15}$ или $x \le -\sqrt{15}$). Так как $\sqrt{15} \approx 3.87$, общим решением системы неравенств будет $x \ge \sqrt{15}$.

Теперь возведем обе части исходного уравнения в квадрат, чтобы избавиться от корней:

$(\sqrt{x^2 - 15})^2 = (\sqrt{4x - 3})^2$

$x^2 - 15 = 4x - 3$

Перенесем все члены в левую часть и приведем подобные слагаемые, чтобы получить квадратное уравнение:

$x^2 - 4x - 15 + 3 = 0$

$x^2 - 4x - 12 = 0$

Решим квадратное уравнение с помощью дискриминанта $D = b^2 - 4ac$:

$D = (-4)^2 - 4 \cdot 1 \cdot (-12) = 16 + 48 = 64$

$\sqrt{D} = \sqrt{64} = 8$

Найдем корни уравнения:

$x_1 = \frac{-(-4) + 8}{2 \cdot 1} = \frac{4 + 8}{2} = \frac{12}{2} = 6$

$x_2 = \frac{-(-4) - 8}{2 \cdot 1} = \frac{4 - 8}{2} = \frac{-4}{2} = -2$

Проверим найденные корни на соответствие ОДЗ ($x \ge \sqrt{15}$):

Корень $x_1 = 6$ удовлетворяет условию, так как $6 > \sqrt{15}$ (поскольку $36 > 15$).

Корень $x_2 = -2$ не удовлетворяет условию, так как $-2 < \sqrt{15}$. Этот корень является посторонним.

Таким образом, уравнение имеет один корень.

Ответ: 6


б) $\sqrt[4]{x - 3} + 12 = \sqrt{x - 3}$

Найдем область допустимых значений (ОДЗ). Выражение под знаком корня четной степени должно быть неотрицательным:

$x - 3 \ge 0 \implies x \ge 3$

Для решения уравнения введем замену. Пусть $t = \sqrt[4]{x - 3}$. Тогда $\sqrt{x - 3} = (\sqrt[4]{x - 3})^2 = t^2$.

По определению корня четной степени, переменная $t$ должна быть неотрицательной: $t \ge 0$.

Подставим замену в исходное уравнение:

$t + 12 = t^2$

Перенесем все члены в одну сторону, чтобы получить квадратное уравнение:

$t^2 - t - 12 = 0$

Решим квадратное уравнение относительно $t$ с помощью дискриминанта $D = b^2 - 4ac$:

$D = (-1)^2 - 4 \cdot 1 \cdot (-12) = 1 + 48 = 49$

$\sqrt{D} = \sqrt{49} = 7$

Найдем корни для $t$:

$t_1 = \frac{-(-1) + 7}{2 \cdot 1} = \frac{1 + 7}{2} = \frac{8}{2} = 4$

$t_2 = \frac{-(-1) - 7}{2 \cdot 1} = \frac{1 - 7}{2} = \frac{-6}{2} = -3$

Проверим корни на соответствие условию $t \ge 0$.

Корень $t_1 = 4$ удовлетворяет условию, так как $4 \ge 0$.

Корень $t_2 = -3$ не удовлетворяет условию, так как $-3 < 0$. Этот корень является посторонним.

Выполним обратную замену для $t = 4$:

$\sqrt[4]{x - 3} = 4$

Возведем обе части уравнения в четвертую степень:

$(\sqrt[4]{x - 3})^4 = 4^4$

$x - 3 = 256$

$x = 256 + 3$

$x = 259$

Проверим найденный корень на соответствие ОДЗ ($x \ge 3$):

Корень $x = 259$ удовлетворяет условию, так как $259 \ge 3$.

Ответ: 259

Помогло решение? Оставьте отзыв в комментариях ниже.

Присоединяйтесь к Телеграм-группе @gdz_by_belarus

Присоединиться

Мы подготовили для вас ответ c подробным объяснением домашего задания по алгебре за 10 класс, для упражнения номер 3.71 расположенного на странице 239 к учебнику 2019 года издания для учащихся школ и гимназий.

Теперь на нашем сайте ГДЗ.ТОП вы всегда легко и бесплатно найдёте условие с правильным ответом на вопрос «Как решить ДЗ» и «Как сделать» задание по алгебре к упражнению №3.71 (с. 239), авторов: Арефьева (Ирина Глебовна), Пирютко (Ольга Николаевна), учебного пособия издательства Народная асвета.