Номер 3.167, страница 273 - гдз по алгебре 10 класс учебник Арефьева, Пирютко

Алгебра, 10 класс Учебник, авторы: Арефьева Ирина Глебовна, Пирютко Ольга Николаевна, издательство Народная асвета, Минск, 2019, голубого цвета

Авторы: Арефьева И. Г., Пирютко О. Н.

Тип: Учебник

Издательство: Народная асвета

Год издания: 2019 - 2026

Цвет обложки: голубой с графиком

Допущено Министерством образования Республики Беларусь

Популярные ГДЗ в 10 классе

Глава 3. Производная. Параграф 22. Наибольшее и наименьшее значения функции - номер 3.167, страница 273.

№3.167 (с. 273)
Условие. №3.167 (с. 273)
скриншот условия
Алгебра, 10 класс Учебник, авторы: Арефьева Ирина Глебовна, Пирютко Ольга Николаевна, издательство Народная асвета, Минск, 2019, голубого цвета, страница 273, номер 3.167, Условие

3.167. Найдите наибольшее и наименьшее значения функции

$f(x) = x^3 + 3x^2 - 2$ на отрезке:

a) $[-1; 3];$

б) $[-4; -1];$

в) $[-3; 1];$

г) $[2; 3].$

Решение. №3.167 (с. 273)
Алгебра, 10 класс Учебник, авторы: Арефьева Ирина Глебовна, Пирютко Ольга Николаевна, издательство Народная асвета, Минск, 2019, голубого цвета, страница 273, номер 3.167, Решение Алгебра, 10 класс Учебник, авторы: Арефьева Ирина Глебовна, Пирютко Ольга Николаевна, издательство Народная асвета, Минск, 2019, голубого цвета, страница 273, номер 3.167, Решение (продолжение 2)
Решение 2. №3.167 (с. 273)

Для нахождения наибольшего и наименьшего значений функции на замкнутом отрезке, необходимо выполнить следующие действия:

  1. Найти производную функции $f'(x)$.
  2. Найти критические точки функции, решив уравнение $f'(x) = 0$.
  3. Выбрать те критические точки, которые принадлежат заданному отрезку.
  4. Вычислить значения функции $f(x)$ в выбранных критических точках и на концах отрезка.
  5. Сравнить полученные значения: наибольшее из них будет являться наибольшим значением функции на отрезке, а наименьшее — наименьшим.

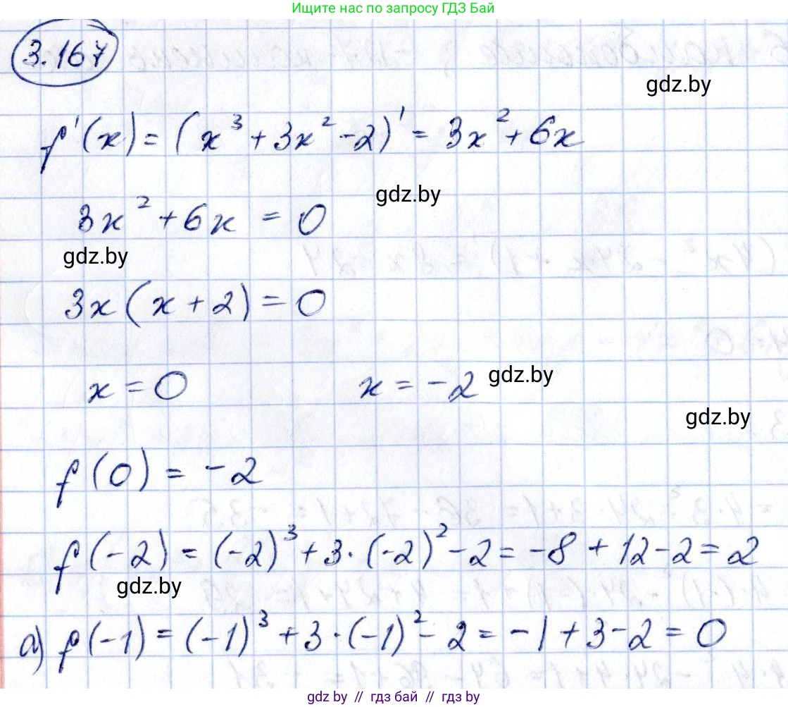
Исходная функция: $f(x) = x^3 + 3x^2 - 2$.

1. Найдём производную функции:

$f'(x) = (x^3 + 3x^2 - 2)' = 3x^2 + 6x$

2. Найдём критические точки:

Приравняем производную к нулю:

$3x^2 + 6x = 0$

$3x(x + 2) = 0$

Критические точки функции: $x_1 = 0$ и $x_2 = -2$.

Теперь проанализируем каждый отрезок.


а) [-1; 3];

Отрезку $[-1; 3]$ принадлежит одна критическая точка: $x = 0$.

Вычислим значения функции в этой точке и на концах отрезка:

  • $f(-1) = (-1)^3 + 3(-1)^2 - 2 = -1 + 3 - 2 = 0$
  • $f(0) = 0^3 + 3(0)^2 - 2 = -2$
  • $f(3) = 3^3 + 3(3)^2 - 2 = 27 + 27 - 2 = 52$

Сравнивая значения $\{0, -2, 52\}$, находим, что наибольшее значение равно $52$, а наименьшее $-2$.

Ответ: наибольшее значение $52$, наименьшее значение $-2$.


б) [-4; -1];

Отрезку $[-4; -1]$ принадлежит одна критическая точка: $x = -2$.

Вычислим значения функции в этой точке и на концах отрезка:

  • $f(-4) = (-4)^3 + 3(-4)^2 - 2 = -64 + 48 - 2 = -18$
  • $f(-2) = (-2)^3 + 3(-2)^2 - 2 = -8 + 12 - 2 = 2$
  • $f(-1) = (-1)^3 + 3(-1)^2 - 2 = -1 + 3 - 2 = 0$

Сравнивая значения $\{-18, 2, 0\}$, находим, что наибольшее значение равно $2$, а наименьшее $-18$.

Ответ: наибольшее значение $2$, наименьшее значение $-18$.


в) [-3; 1];

Отрезку $[-3; 1]$ принадлежат обе критические точки: $x = 0$ и $x = -2$.

Вычислим значения функции в этих точках и на концах отрезка:

  • $f(-3) = (-3)^3 + 3(-3)^2 - 2 = -27 + 27 - 2 = -2$
  • $f(-2) = (-2)^3 + 3(-2)^2 - 2 = -8 + 12 - 2 = 2$
  • $f(0) = 0^3 + 3(0)^2 - 2 = -2$
  • $f(1) = 1^3 + 3(1)^2 - 2 = 1 + 3 - 2 = 2$

Сравнивая значения $\{-2, 2, -2, 2\}$, находим, что наибольшее значение равно $2$, а наименьшее $-2$.

Ответ: наибольшее значение $2$, наименьшее значение $-2$.


г) [2; 3].

Ни одна из критических точек ($x=0, x=-2$) не принадлежит отрезку $[2; 3]$.

Следовательно, искомые значения находятся на концах отрезка. Вычислим их:

  • $f(2) = 2^3 + 3(2)^2 - 2 = 8 + 12 - 2 = 18$
  • $f(3) = 3^3 + 3(3)^2 - 2 = 27 + 27 - 2 = 52$

Сравнивая значения $\{18, 52\}$, находим, что наибольшее значение равно $52$, а наименьшее $18$.

Ответ: наибольшее значение $52$, наименьшее значение $18$.

Помогло решение? Оставьте отзыв в комментариях ниже.

Присоединяйтесь к Телеграм-группе @gdz_by_belarus

Присоединиться

Мы подготовили для вас ответ c подробным объяснением домашего задания по алгебре за 10 класс, для упражнения номер 3.167 расположенного на странице 273 к учебнику 2019 года издания для учащихся школ и гимназий.

Теперь на нашем сайте ГДЗ.ТОП вы всегда легко и бесплатно найдёте условие с правильным ответом на вопрос «Как решить ДЗ» и «Как сделать» задание по алгебре к упражнению №3.167 (с. 273), авторов: Арефьева (Ирина Глебовна), Пирютко (Ольга Николаевна), учебного пособия издательства Народная асвета.