Номер 3.119, страница 256 - гдз по алгебре 10 класс учебник Арефьева, Пирютко

Алгебра, 10 класс Учебник, авторы: Арефьева Ирина Глебовна, Пирютко Ольга Николаевна, издательство Народная асвета, Минск, 2019, голубого цвета

Авторы: Арефьева И. Г., Пирютко О. Н.

Тип: Учебник

Издательство: Народная асвета

Год издания: 2019 - 2026

Цвет обложки: голубой с графиком

Допущено Министерством образования Республики Беларусь

Популярные ГДЗ в 10 классе

Глава 3. Производная. Параграф 20. Геометрический смысл производной. Связь между знаком производной функции и ее возрастанием или убыванием - номер 3.119, страница 256.

№3.119 (с. 256)
Условие. №3.119 (с. 256)
скриншот условия
Алгебра, 10 класс Учебник, авторы: Арефьева Ирина Глебовна, Пирютко Ольга Николаевна, издательство Народная асвета, Минск, 2019, голубого цвета, страница 256, номер 3.119, Условие

3.119. Найдите точки экстремума и экстремумы функции:

а) $f(x)=5-4x-x^2$;

б) $f(x)=3x-x^3$;

в) $f(x)=x+\frac{1}{x}$.

Решение. №3.119 (с. 256)
Алгебра, 10 класс Учебник, авторы: Арефьева Ирина Глебовна, Пирютко Ольга Николаевна, издательство Народная асвета, Минск, 2019, голубого цвета, страница 256, номер 3.119, Решение Алгебра, 10 класс Учебник, авторы: Арефьева Ирина Глебовна, Пирютко Ольга Николаевна, издательство Народная асвета, Минск, 2019, голубого цвета, страница 256, номер 3.119, Решение (продолжение 2)
Решение 2. №3.119 (с. 256)

Чтобы найти точки экстремума (точки, в которых достигается локальный максимум или минимум) и экстремумы функции (значения функции в этих точках), необходимо следовать алгоритму:

  1. Найти область определения функции.
  2. Найти производную функции $f'(x)$.
  3. Найти критические точки, решив уравнение $f'(x)=0$ и найдя точки, в которых производная не существует.
  4. Определить знаки производной на интервалах, на которые критические точки разбивают область определения.
  5. Определить точки минимума (производная меняет знак с «-» на «+») и точки максимума (производная меняет знак с «+» на «-»).
  6. Вычислить значения функции в точках экстремума.

а) $f(x) = 5 - 4x - x^2$

1. Область определения функции — все действительные числа, $D(f) = (-\infty; +\infty)$, так как это многочлен.

2. Находим производную функции:

$f'(x) = (5 - 4x - x^2)' = -4 - 2x$

3. Находим критические точки, приравняв производную к нулю:

$f'(x) = 0 \implies -4 - 2x = 0$

$-2x = 4$

$x = -2$

Критическая точка одна: $x = -2$.

4. Исследуем знак производной. На интервале $(-\infty; -2)$ производная положительна (например, $f'(-3) = -4 - 2(-3) = 2 > 0$), значит, функция возрастает. На интервале $(-2; +\infty)$ производная отрицательна (например, $f'(0) = -4 < 0$), значит, функция убывает.

5. В точке $x = -2$ знак производной меняется с «+» на «-», следовательно, это точка максимума.

6. Находим максимум функции:

$y_{max} = f(-2) = 5 - 4(-2) - (-2)^2 = 5 + 8 - 4 = 9$

Ответ: точка максимума $x_{max} = -2$, максимум функции $y_{max} = 9$.

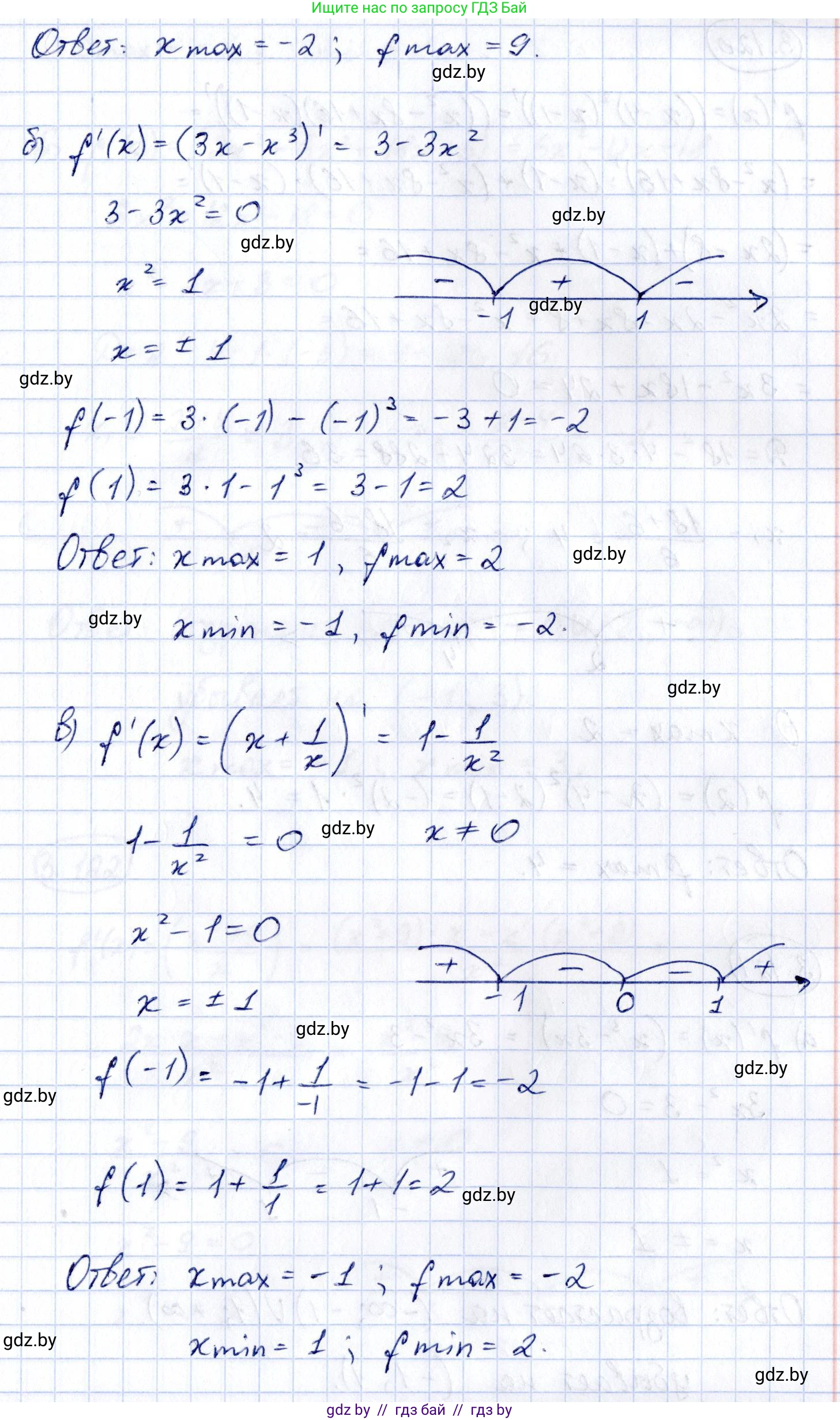
б) $f(x) = 3x - x^3$

1. Область определения функции — все действительные числа, $D(f) = (-\infty; +\infty)$.

2. Находим производную функции:

$f'(x) = (3x - x^3)' = 3 - 3x^2$

3. Находим критические точки:

$f'(x) = 0 \implies 3 - 3x^2 = 0$

$3(1 - x^2) = 0$

$x^2 = 1 \implies x_1 = -1, x_2 = 1$

Критические точки: $x = -1$ и $x = 1$.

4. Исследуем знак производной на интервалах $(-\infty; -1)$, $(-1; 1)$ и $(1; +\infty)$.

При $x < -1$, $f'(x) < 0$ (убывает).

При $-1 < x < 1$, $f'(x) > 0$ (возрастает).

При $x > 1$, $f'(x) < 0$ (убывает).

5. В точке $x = -1$ знак производной меняется с «-» на «+», это точка минимума. В точке $x = 1$ знак меняется с «+» на «-», это точка максимума.

6. Находим экстремумы функции:

Минимум: $y_{min} = f(-1) = 3(-1) - (-1)^3 = -3 + 1 = -2$.

Максимум: $y_{max} = f(1) = 3(1) - (1)^3 = 3 - 1 = 2$.

Ответ: точка минимума $x_{min} = -1$, минимум функции $y_{min} = -2$; точка максимума $x_{max} = 1$, максимум функции $y_{max} = 2$.

в) $f(x) = x + \frac{1}{x}$

1. Область определения: знаменатель не может быть равен нулю, поэтому $x \neq 0$. $D(f) = (-\infty; 0) \cup (0; +\infty)$.

2. Находим производную функции:

$f'(x) = \left(x + \frac{1}{x}\right)' = 1 - \frac{1}{x^2}$

3. Находим критические точки:

$f'(x) = 0 \implies 1 - \frac{1}{x^2} = 0$

$\frac{x^2 - 1}{x^2} = 0$

$x^2 - 1 = 0 \implies x^2 = 1 \implies x_1 = -1, x_2 = 1$

Производная не существует в точке $x = 0$, но она не входит в область определения функции.

4. Исследуем знак производной $f'(x) = \frac{(x-1)(x+1)}{x^2}$ на интервалах $(-\infty; -1)$, $(-1; 0)$, $(0; 1)$ и $(1; +\infty)$.

При $x < -1$, $f'(x) > 0$ (возрастает).

При $-1 < x < 0$, $f'(x) < 0$ (убывает).

При $0 < x < 1$, $f'(x) < 0$ (убывает).

При $x > 1$, $f'(x) > 0$ (возрастает).

5. В точке $x = -1$ знак производной меняется с «+» на «-», это точка максимума. В точке $x = 1$ знак меняется с «-» на «+», это точка минимума.

6. Находим экстремумы функции:

Максимум: $y_{max} = f(-1) = -1 + \frac{1}{-1} = -1 - 1 = -2$.

Минимум: $y_{min} = f(1) = 1 + \frac{1}{1} = 2$.

Ответ: точка максимума $x_{max} = -1$, максимум функции $y_{max} = -2$; точка минимума $x_{min} = 1$, минимум функции $y_{min} = 2$.

Помогло решение? Оставьте отзыв в комментариях ниже.

Присоединяйтесь к Телеграм-группе @gdz_by_belarus

Присоединиться

Мы подготовили для вас ответ c подробным объяснением домашего задания по алгебре за 10 класс, для упражнения номер 3.119 расположенного на странице 256 к учебнику 2019 года издания для учащихся школ и гимназий.

Теперь на нашем сайте ГДЗ.ТОП вы всегда легко и бесплатно найдёте условие с правильным ответом на вопрос «Как решить ДЗ» и «Как сделать» задание по алгебре к упражнению №3.119 (с. 256), авторов: Арефьева (Ирина Глебовна), Пирютко (Ольга Николаевна), учебного пособия издательства Народная асвета.