Номер 2.40, страница 170 - гдз по алгебре 10 класс учебник Арефьева, Пирютко

Алгебра, 10 класс Учебник, авторы: Арефьева Ирина Глебовна, Пирютко Ольга Николаевна, издательство Народная асвета, Минск, 2019, голубого цвета

Авторы: Арефьева И. Г., Пирютко О. Н.

Тип: Учебник

Издательство: Народная асвета

Год издания: 2019 - 2026

Цвет обложки: голубой с графиком

Допущено Министерством образования Республики Беларусь

Популярные ГДЗ в 10 классе

Глава 2. Корень n-й степени из числа. Параграф 13. Корень n-й степени из числа а (n≥2, n∈N) - номер 2.40, страница 170.

№2.40 (с. 170)
Условие. №2.40 (с. 170)
скриншот условия
Алгебра, 10 класс Учебник, авторы: Арефьева Ирина Глебовна, Пирютко Ольга Николаевна, издательство Народная асвета, Минск, 2019, голубого цвета, страница 170, номер 2.40, Условие

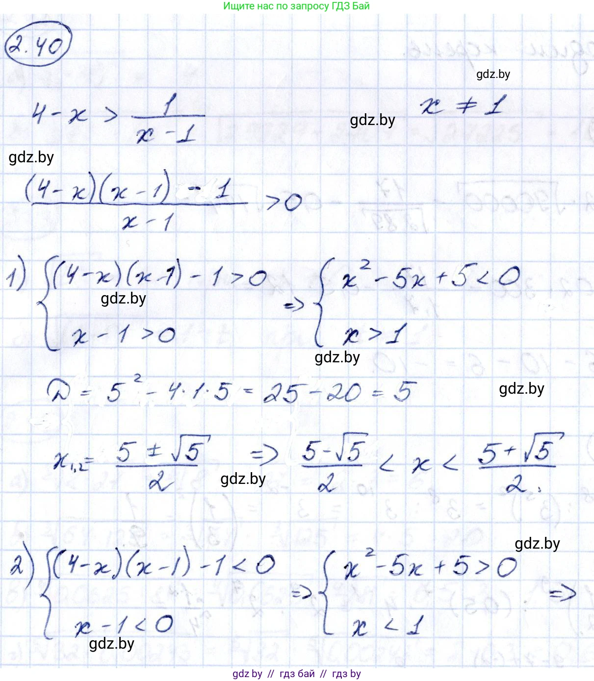
2.40. Решите неравенство $4 - x > \frac{1}{x-1}$.

Решение. №2.40 (с. 170)
Алгебра, 10 класс Учебник, авторы: Арефьева Ирина Глебовна, Пирютко Ольга Николаевна, издательство Народная асвета, Минск, 2019, голубого цвета, страница 170, номер 2.40, Решение Алгебра, 10 класс Учебник, авторы: Арефьева Ирина Глебовна, Пирютко Ольга Николаевна, издательство Народная асвета, Минск, 2019, голубого цвета, страница 170, номер 2.40, Решение (продолжение 2)
Решение 2. №2.40 (с. 170)

Для решения данного неравенства $4 - x > \frac{1}{x-1}$ перенесем все его члены в одну сторону, чтобы сравнить выражение с нулем.

$$ 4 - x - \frac{1}{x-1} > 0 $$

Теперь приведем слагаемые в левой части к общему знаменателю $(x-1)$:

$$ \frac{(4-x)(x-1) - 1}{x-1} > 0 $$

Раскроем скобки в числителе и выполним упрощение:

$$ \frac{4x - 4 - x^2 + x - 1}{x-1} > 0 $$

$$ \frac{-x^2 + 5x - 5}{x-1} > 0 $$

Чтобы упростить анализ знаков, умножим обе части неравенства на -1. При этом необходимо изменить знак неравенства на противоположный:

$$ \frac{x^2 - 5x + 5}{x-1} < 0 $$

Далее воспользуемся методом интервалов. Для этого определим точки, в которых числитель или знаменатель обращаются в ноль.

  1. Корень знаменателя:

    $$ x - 1 = 0 \implies x = 1 $$

    В этой точке функция не определена, поэтому на числовой оси она будет "выколотой".

  2. Корни числителя:

    Решим квадратное уравнение $x^2 - 5x + 5 = 0$ с помощью дискриминанта.

    $$ D = b^2 - 4ac = (-5)^2 - 4 \cdot 1 \cdot 5 = 25 - 20 = 5 $$

    Так как $D > 0$, уравнение имеет два действительных корня:

    $$ x_1 = \frac{-(-5) - \sqrt{5}}{2} = \frac{5 - \sqrt{5}}{2} $$

    $$ x_2 = \frac{-(-5) + \sqrt{5}}{2} = \frac{5 + \sqrt{5}}{2} $$

Теперь нанесем найденные точки на числовую ось. Все точки ($1$, $\frac{5 - \sqrt{5}}{2}$ и $\frac{5 + \sqrt{5}}{2}$) будут выколотыми, так как неравенство строгое.

Чтобы правильно расположить точки, оценим их значения: $\sqrt{5} \approx 2.236$.

  • $x_1 = \frac{5 - \sqrt{5}}{2} \approx \frac{5 - 2.236}{2} \approx 1.382$
  • $x_2 = \frac{5 + \sqrt{5}}{2} \approx \frac{5 + 2.236}{2} \approx 3.618$

Таким образом, точки на числовой оси располагаются в следующем порядке: $1 < \frac{5 - \sqrt{5}}{2} < \frac{5 + \sqrt{5}}{2}$.

Эти точки разбивают ось на четыре интервала. Определим знак выражения $f(x) = \frac{x^2 - 5x + 5}{x-1}$ в каждом из них. Так как все корни имеют нечетную кратность (1), знаки будут чередоваться.

Возьмем пробную точку $x=0$ из интервала $(-\infty, 1)$:

$$ f(0) = \frac{0^2 - 5(0) + 5}{0-1} = \frac{5}{-1} = -5 < 0 $$

Расставим знаки на интервалах:

  • $(-\infty, 1)$: $(-)$
  • $(1, \frac{5 - \sqrt{5}}{2})$: $(+)$
  • $(\frac{5 - \sqrt{5}}{2}, \frac{5 + \sqrt{5}}{2})$: $(-)$
  • $(\frac{5 + \sqrt{5}}{2}, \infty)$: $(+)$

Мы ищем решение неравенства $\frac{x^2 - 5x + 5}{x-1} < 0$, то есть интервалы со знаком "минус".

Это интервалы $(-\infty, 1)$ и $(\frac{5 - \sqrt{5}}{2}, \frac{5 + \sqrt{5}}{2})$. Объединение этих интервалов является решением исходного неравенства.

Ответ: $x \in (-\infty; 1) \cup \left(\frac{5 - \sqrt{5}}{2}; \frac{5 + \sqrt{5}}{2}\right)$

Помогло решение? Оставьте отзыв в комментариях ниже.

Присоединяйтесь к Телеграм-группе @gdz_by_belarus

Присоединиться

Мы подготовили для вас ответ c подробным объяснением домашего задания по алгебре за 10 класс, для упражнения номер 2.40 расположенного на странице 170 к учебнику 2019 года издания для учащихся школ и гимназий.

Теперь на нашем сайте ГДЗ.ТОП вы всегда легко и бесплатно найдёте условие с правильным ответом на вопрос «Как решить ДЗ» и «Как сделать» задание по алгебре к упражнению №2.40 (с. 170), авторов: Арефьева (Ирина Глебовна), Пирютко (Ольга Николаевна), учебного пособия издательства Народная асвета.