Номер 2.32, страница 169 - гдз по алгебре 10 класс учебник Арефьева, Пирютко

Алгебра, 10 класс Учебник, авторы: Арефьева Ирина Глебовна, Пирютко Ольга Николаевна, издательство Народная асвета, Минск, 2019, голубого цвета

Авторы: Арефьева И. Г., Пирютко О. Н.

Тип: Учебник

Издательство: Народная асвета

Год издания: 2019 - 2026

Цвет обложки: голубой с графиком

Допущено Министерством образования Республики Беларусь

Популярные ГДЗ в 10 классе

Глава 2. Корень n-й степени из числа. Параграф 13. Корень n-й степени из числа а (n≥2, n∈N) - номер 2.32, страница 169.

№2.32 (с. 169)
Условие. №2.32 (с. 169)
скриншот условия
Алгебра, 10 класс Учебник, авторы: Арефьева Ирина Глебовна, Пирютко Ольга Николаевна, издательство Народная асвета, Минск, 2019, голубого цвета, страница 169, номер 2.32, Условие

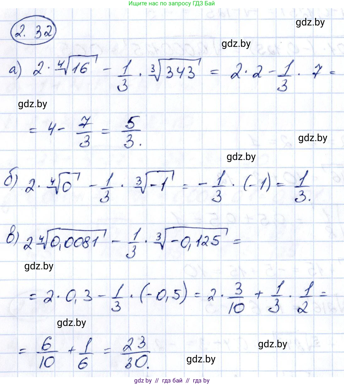
2.32. Найдите значение выражения $2\sqrt[4]{x} - \frac{1}{3}\sqrt[3]{y}$ при:

a) $x = 16, y = 343;$

б) $x = 0, y = -1;$

в) $x = 0,0081, y = -0,125.$

Решение. №2.32 (с. 169)
Алгебра, 10 класс Учебник, авторы: Арефьева Ирина Глебовна, Пирютко Ольга Николаевна, издательство Народная асвета, Минск, 2019, голубого цвета, страница 169, номер 2.32, Решение
Решение 2. №2.32 (с. 169)

а) Подставим значения $x=16$ и $y=343$ в выражение $2\sqrt[4]{x} - \frac{1}{3}\sqrt[3]{y}$:
$2\sqrt[4]{16} - \frac{1}{3}\sqrt[3]{343}$
Вычислим значения корней. Корень четвертой степени из 16 равен 2, так как $2^4 = 16$. Корень третьей степени из 343 равен 7, так как $7^3 = 343$.
Подставляем полученные значения в выражение:
$2 \cdot 2 - \frac{1}{3} \cdot 7 = 4 - \frac{7}{3}$
Чтобы выполнить вычитание, представим 4 в виде дроби со знаменателем 3:
$4 - \frac{7}{3} = \frac{12}{3} - \frac{7}{3} = \frac{12-7}{3} = \frac{5}{3}$
Так как $\frac{5}{3}$ является неправильной дробью, выделим из нее целую часть:
$\frac{5}{3} = 1\frac{2}{3}$.
Ответ: $1\frac{2}{3}$

б) Подставим значения $x=0$ и $y=-1$ в выражение:
$2\sqrt[4]{0} - \frac{1}{3}\sqrt[3]{-1}$
Вычислим значения корней. Корень четвертой степени из 0 равен 0. Корень третьей степени из -1 равен -1, так как $(-1)^3 = -1$.
Подставляем полученные значения в выражение:
$2 \cdot 0 - \frac{1}{3} \cdot (-1) = 0 - (-\frac{1}{3}) = \frac{1}{3}$.
Ответ: $\frac{1}{3}$

в) Подставим значения $x=0,0081$ и $y=-0,125$ в выражение:
$2\sqrt[4]{0,0081} - \frac{1}{3}\sqrt[3]{-0,125}$
Вычислим значения корней. Корень четвертой степени из 0,0081 равен 0,3, так как $0,3^4 = 0,0081$. Корень третьей степени из -0,125 равен -0,5, так как $(-0,5)^3 = -0,125$.
Подставляем полученные значения в выражение:
$2 \cdot 0,3 - \frac{1}{3} \cdot (-0,5) = 0,6 - (-\frac{0,5}{3}) = 0,6 + \frac{0,5}{3}$
Для удобства вычислений перейдем к обыкновенным дробям:
$0,6 = \frac{6}{10} = \frac{3}{5}$
$0,5 = \frac{1}{2}$, следовательно $\frac{0,5}{3} = \frac{1/2}{3} = \frac{1}{6}$.
Сложим полученные дроби, приведя их к общему знаменателю 30:
$\frac{3}{5} + \frac{1}{6} = \frac{3 \cdot 6}{30} + \frac{1 \cdot 5}{30} = \frac{18+5}{30} = \frac{23}{30}$.
Ответ: $\frac{23}{30}$

Помогло решение? Оставьте отзыв в комментариях ниже.

Присоединяйтесь к Телеграм-группе @gdz_by_belarus

Присоединиться

Мы подготовили для вас ответ c подробным объяснением домашего задания по алгебре за 10 класс, для упражнения номер 2.32 расположенного на странице 169 к учебнику 2019 года издания для учащихся школ и гимназий.

Теперь на нашем сайте ГДЗ.ТОП вы всегда легко и бесплатно найдёте условие с правильным ответом на вопрос «Как решить ДЗ» и «Как сделать» задание по алгебре к упражнению №2.32 (с. 169), авторов: Арефьева (Ирина Глебовна), Пирютко (Ольга Николаевна), учебного пособия издательства Народная асвета.