Номер 2.221, страница 201 - гдз по алгебре 10 класс учебник Арефьева, Пирютко

Алгебра, 10 класс Учебник, авторы: Арефьева Ирина Глебовна, Пирютко Ольга Николаевна, издательство Народная асвета, Минск, 2019, голубого цвета

Авторы: Арефьева И. Г., Пирютко О. Н.

Тип: Учебник

Издательство: Народная асвета

Год издания: 2019 - 2026

Цвет обложки: голубой с графиком

Допущено Министерством образования Республики Беларусь

Популярные ГДЗ в 10 классе

Глава 2. Корень n-й степени из числа. Параграф 16. Свойства и график функции y=n√x (n>1, n∈N) - номер 2.221, страница 201.

№2.221 (с. 201)
Условие. №2.221 (с. 201)
скриншот условия
Алгебра, 10 класс Учебник, авторы: Арефьева Ирина Глебовна, Пирютко Ольга Николаевна, издательство Народная асвета, Минск, 2019, голубого цвета, страница 201, номер 2.221, Условие

2.221. Найдите область определения функции:

а) $f(x) = \sqrt[6]{8 - 3x}$;

б) $f(x) = \frac{2}{\sqrt[7]{2x + 3}};

В) $f(x) = \frac{10}{\sqrt[4]{3x^2 + 10x + 3}};

Г) $f(x) = \sqrt[8]{\frac{x + 3}{x - 6}}$.

Решение. №2.221 (с. 201)
Алгебра, 10 класс Учебник, авторы: Арефьева Ирина Глебовна, Пирютко Ольга Николаевна, издательство Народная асвета, Минск, 2019, голубого цвета, страница 201, номер 2.221, Решение Алгебра, 10 класс Учебник, авторы: Арефьева Ирина Глебовна, Пирютко Ольга Николаевна, издательство Народная асвета, Минск, 2019, голубого цвета, страница 201, номер 2.221, Решение (продолжение 2)
Решение 2. №2.221 (с. 201)

а) Область определения функции $f(x) = \sqrt[6]{8-3x}$ находится из условия, что выражение под корнем четной степени (в данном случае 6) должно быть неотрицательным.

Решим неравенство:
$8 - 3x \ge 0$
$-3x \ge -8$
При делении на отрицательное число знак неравенства меняется на противоположный:
$x \le \frac{8}{3}$
Выделим целую часть из неправильной дроби:
$x \le 2\frac{2}{3}$

Таким образом, область определения функции — это интервал $(-\infty; 2\frac{2}{3}]$.

Ответ: $(-\infty; \mathbf{2}\frac{2}{3}]$

б) Область определения функции $f(x) = \frac{2}{\sqrt[7]{2x+3}}$ находится из следующих условий:
1. Выражение под корнем нечетной степени (в данном случае 7) может быть любым действительным числом.
2. Знаменатель дроби не должен быть равен нулю.

Следовательно, необходимо решить условие:
$\sqrt[7]{2x+3} \ne 0$
Возведем обе части в 7-ю степень:
$2x + 3 \ne 0$
$2x \ne -3$
$x \ne -\frac{3}{2}$
Выделим целую часть из неправильной дроби:
$x \ne -1\frac{1}{2}$

Таким образом, область определения функции — это все действительные числа, кроме $-1\frac{1}{2}$.

Ответ: $(-\infty; -\mathbf{1}\frac{1}{2}) \cup (-\mathbf{1}\frac{1}{2}; +\infty)$

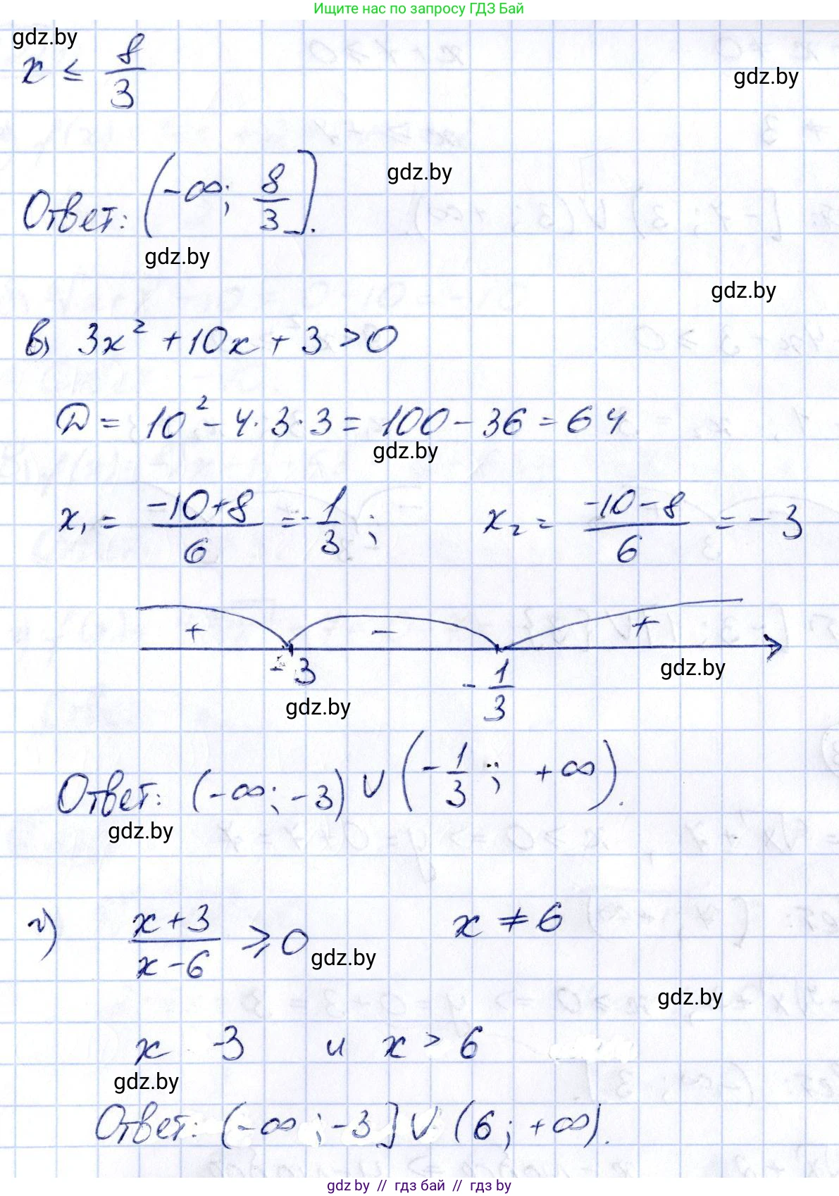
в) Область определения функции $f(x) = \frac{10}{\sqrt[4]{3x^2+10x+3}}$ находится из условия, что выражение под корнем четной степени (в данном случае 4), находящимся в знаменателе, должно быть строго положительным.

Решим неравенство:
$3x^2 + 10x + 3 > 0$
Сначала найдем корни соответствующего квадратного уравнения $3x^2 + 10x + 3 = 0$.
Дискриминант $D = b^2 - 4ac = 10^2 - 4 \cdot 3 \cdot 3 = 100 - 36 = 64$.
$x_{1,2} = \frac{-b \pm \sqrt{D}}{2a} = \frac{-10 \pm \sqrt{64}}{2 \cdot 3} = \frac{-10 \pm 8}{6}$
$x_1 = \frac{-10 - 8}{6} = \frac{-18}{6} = -3$
$x_2 = \frac{-10 + 8}{6} = \frac{-2}{6} = -\frac{1}{3}$

Так как это парабола с ветвями, направленными вверх (коэффициент при $x^2$ равен 3, что больше 0), она принимает положительные значения за пределами своих корней.

Таким образом, решение неравенства: $x \in (-\infty; -3) \cup (-\frac{1}{3}; +\infty)$.

Ответ: $(-\infty; -3) \cup (-\frac{1}{3}; +\infty)$

г) Область определения функции $f(x) = \sqrt[8]{\frac{x+3}{x-6}}$ находится из условия, что выражение под корнем четной степени (в данном случае 8) должно быть неотрицательным. Также знаменатель дроби не должен равняться нулю.

Получаем систему условий:
$\begin{cases} \frac{x+3}{x-6} \ge 0 \\ x-6 \ne 0 \end{cases}$
Решим неравенство $\frac{x+3}{x-6} \ge 0$ методом интервалов.
Найдем точки, в которых числитель или знаменатель равны нулю:
$x+3 = 0 \Rightarrow x = -3$ (эта точка входит в решение, так как неравенство нестрогое)
$x-6 = 0 \Rightarrow x = 6$ (эта точка исключается, так как знаменатель не может быть равен нулю)

Нанесем эти точки на числовую прямую и определим знаки выражения в каждом интервале:
- при $x > 6$: $\frac{+}{+} > 0$
- при $-3 < x < 6$: $\frac{+}{-} < 0$
- при $x < -3$: $\frac{-}{-} > 0$

Нас интересуют интервалы, где выражение больше или равно нулю. Учитывая, что $x=-3$ является решением, а $x=6$ нет, получаем объединение интервалов.

Ответ: $(-\infty; -3] \cup (6; +\infty)$

Помогло решение? Оставьте отзыв в комментариях ниже.

Присоединяйтесь к Телеграм-группе @gdz_by_belarus

Присоединиться

Мы подготовили для вас ответ c подробным объяснением домашего задания по алгебре за 10 класс, для упражнения номер 2.221 расположенного на странице 201 к учебнику 2019 года издания для учащихся школ и гимназий.

Теперь на нашем сайте ГДЗ.ТОП вы всегда легко и бесплатно найдёте условие с правильным ответом на вопрос «Как решить ДЗ» и «Как сделать» задание по алгебре к упражнению №2.221 (с. 201), авторов: Арефьева (Ирина Глебовна), Пирютко (Ольга Николаевна), учебного пособия издательства Народная асвета.