Номер 2.173, страница 191 - гдз по алгебре 10 класс учебник Арефьева, Пирютко

Алгебра, 10 класс Учебник, авторы: Арефьева Ирина Глебовна, Пирютко Ольга Николаевна, издательство Народная асвета, Минск, 2019, голубого цвета

Авторы: Арефьева И. Г., Пирютко О. Н.

Тип: Учебник

Издательство: Народная асвета

Год издания: 2019 - 2026

Цвет обложки: голубой с графиком

Допущено Министерством образования Республики Беларусь

Популярные ГДЗ в 10 классе

Глава 2. Корень n-й степени из числа. Параграф 15. Применение свойств корней n-й степени для преобразования выражений - номер 2.173, страница 191.

№2.173 (с. 191)
Условие. №2.173 (с. 191)
скриншот условия
Алгебра, 10 класс Учебник, авторы: Арефьева Ирина Глебовна, Пирютко Ольга Николаевна, издательство Народная асвета, Минск, 2019, голубого цвета, страница 191, номер 2.173, Условие

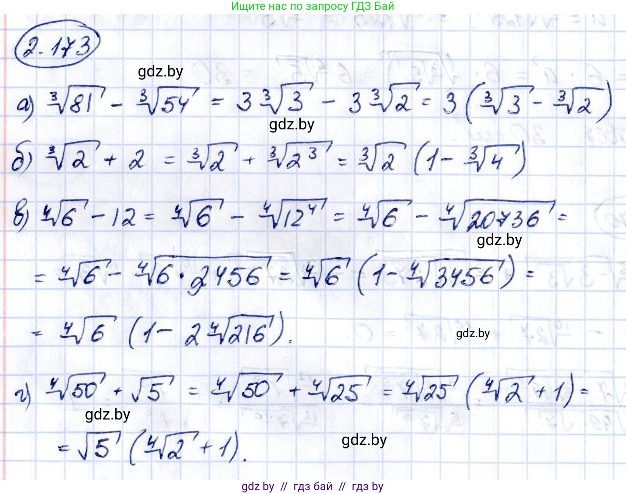
2.173. Разложите на множители:

а) $\sqrt[3]{81} - \sqrt[3]{54}$;

б) $\sqrt[3]{2} + 2$;

в) $\sqrt[4]{6} - 12$;

г) $\sqrt[4]{50} + \sqrt{5}$.

Решение. №2.173 (с. 191)
Алгебра, 10 класс Учебник, авторы: Арефьева Ирина Глебовна, Пирютко Ольга Николаевна, издательство Народная асвета, Минск, 2019, голубого цвета, страница 191, номер 2.173, Решение
Решение 2. №2.173 (с. 191)

а) Чтобы разложить на множители выражение $\sqrt[3]{81} - \sqrt[3]{54}$, упростим каждый корень, вынеся из-под его знака максимально возможный множитель. Для этого разложим подкоренные числа на простые множители, чтобы выделить кубы:

$81 = 3 \cdot 27 = 3 \cdot 3^3$

$54 = 2 \cdot 27 = 2 \cdot 3^3$

Теперь вынесем множитель $3^3$ из-под знака кубического корня:

$\sqrt[3]{81} = \sqrt[3]{3^3 \cdot 3} = 3\sqrt[3]{3}$

$\sqrt[3]{54} = \sqrt[3]{3^3 \cdot 2} = 3\sqrt[3]{2}$

Подставим полученные значения обратно в исходное выражение:

$\sqrt[3]{81} - \sqrt[3]{54} = 3\sqrt[3]{3} - 3\sqrt[3]{2}$

Теперь можно вынести общий множитель 3 за скобки:

$3(\sqrt[3]{3} - \sqrt[3]{2})$

Ответ: $3(\sqrt[3]{3} - \sqrt[3]{2})$.

б) Для разложения на множители выражения $\sqrt[3]{2} + 2$ найдем общий множитель. Для этого представим число 2 в виде выражения с кубическим корнем.

Заметим, что $2 = (\sqrt[3]{2})^3$. Тогда выражение можно записать как:

$\sqrt[3]{2} + (\sqrt[3]{2})^3$

Вынесем общий множитель $\sqrt[3]{2}$ за скобки:

$\sqrt[3]{2}(1 + (\sqrt[3]{2})^2) = \sqrt[3]{2}(1 + \sqrt[3]{2^2}) = \sqrt[3]{2}(1 + \sqrt[3]{4})$

Ответ: $\sqrt[3]{2}(1 + \sqrt[3]{4})$.

в) Чтобы разложить на множители выражение $\sqrt[4]{6} - 12$, вынесем за скобки общий множитель $\sqrt[4]{6}$. Для этого представим число 12 в виде произведения, одним из сомножителей которого является $\sqrt[4]{6}$.

$12 = \sqrt[4]{6} \cdot \frac{12}{\sqrt[4]{6}}$

Упростим дробь, избавившись от иррациональности в знаменателе. Для этого умножим числитель и знаменатель на $\sqrt[4]{6^3}$:

$\frac{12}{\sqrt[4]{6}} = \frac{12 \cdot \sqrt[4]{6^3}}{\sqrt[4]{6} \cdot \sqrt[4]{6^3}} = \frac{12\sqrt[4]{216}}{6} = 2\sqrt[4]{216}$

Теперь исходное выражение можно переписать в следующем виде:

$\sqrt[4]{6} - 12 = \sqrt[4]{6} - \sqrt[4]{6} \cdot (2\sqrt[4]{216})$

Выносим общий множитель $\sqrt[4]{6}$ за скобки:

$\sqrt[4]{6}(1 - 2\sqrt[4]{216})$

Ответ: $\sqrt[4]{6}(1 - 2\sqrt[4]{216})$.

г) Для разложения на множители выражения $\sqrt[4]{50} + \sqrt{5}$ приведем оба корня к одному показателю степени. Наименьший общий показатель для корней четвертой и второй степени - это 4.

Представим $\sqrt{5}$ в виде корня четвертой степени:

$\sqrt{5} = 5^{\frac{1}{2}} = 5^{\frac{2}{4}} = \sqrt[4]{5^2} = \sqrt[4]{25}$

Теперь исходное выражение принимает вид:

$\sqrt[4]{50} + \sqrt[4]{25}$

Разложим подкоренное выражение 50 на множители так, чтобы выделить общий множитель 25:

$\sqrt[4]{50} = \sqrt[4]{2 \cdot 25} = \sqrt[4]{2} \cdot \sqrt[4]{25}$

Подставим это в выражение и вынесем общий множитель $\sqrt[4]{25}$ за скобки:

$\sqrt[4]{2} \cdot \sqrt[4]{25} + \sqrt[4]{25} = \sqrt[4]{25}(\sqrt[4]{2} + 1)$

Так как $\sqrt[4]{25} = \sqrt[4]{5^2} = \sqrt{5}$, окончательный ответ:

$\sqrt{5}(\sqrt[4]{2} + 1)$

Ответ: $\sqrt{5}(\sqrt[4]{2} + 1)$.

Помогло решение? Оставьте отзыв в комментариях ниже.

Присоединяйтесь к Телеграм-группе @gdz_by_belarus

Присоединиться

Мы подготовили для вас ответ c подробным объяснением домашего задания по алгебре за 10 класс, для упражнения номер 2.173 расположенного на странице 191 к учебнику 2019 года издания для учащихся школ и гимназий.

Теперь на нашем сайте ГДЗ.ТОП вы всегда легко и бесплатно найдёте условие с правильным ответом на вопрос «Как решить ДЗ» и «Как сделать» задание по алгебре к упражнению №2.173 (с. 191), авторов: Арефьева (Ирина Глебовна), Пирютко (Ольга Николаевна), учебного пособия издательства Народная асвета.