Номер 2.154, страница 189 - гдз по алгебре 10 класс учебник Арефьева, Пирютко

Алгебра, 10 класс Учебник, авторы: Арефьева Ирина Глебовна, Пирютко Ольга Николаевна, издательство Народная асвета, Минск, 2019, голубого цвета

Авторы: Арефьева И. Г., Пирютко О. Н.

Тип: Учебник

Издательство: Народная асвета

Год издания: 2019 - 2026

Цвет обложки: голубой с графиком

Допущено Министерством образования Республики Беларусь

Популярные ГДЗ в 10 классе

Глава 2. Корень n-й степени из числа. Параграф 15. Применение свойств корней n-й степени для преобразования выражений - номер 2.154, страница 189.

№2.154 (с. 189)
Условие. №2.154 (с. 189)
скриншот условия
Алгебра, 10 класс Учебник, авторы: Арефьева Ирина Глебовна, Пирютко Ольга Николаевна, издательство Народная асвета, Минск, 2019, голубого цвета, страница 189, номер 2.154, Условие

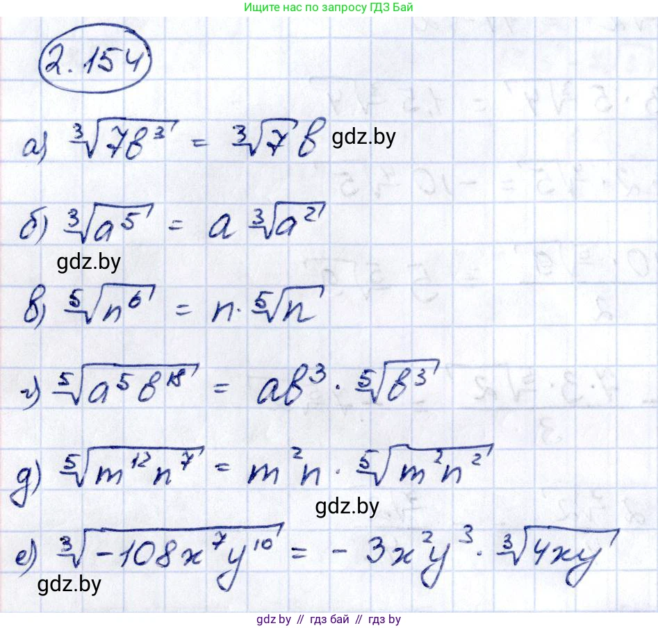
2.154. Вынесите множитель за знак корня в выражении:

a) $\\sqrt[3]{7b^3}$;

б) $\\sqrt[3]{a^5}$;

в) $\\sqrt[5]{n^6}$;

г) $\\sqrt[5]{a^5b^{18}}$;

д) $\\sqrt[5]{m^{12}n^7}$;

е) $\\sqrt[3]{-108x^7y^{10}}$.

Решение. №2.154 (с. 189)
Алгебра, 10 класс Учебник, авторы: Арефьева Ирина Глебовна, Пирютко Ольга Николаевна, издательство Народная асвета, Минск, 2019, голубого цвета, страница 189, номер 2.154, Решение
Решение 2. №2.154 (с. 189)

Чтобы вынести множитель за знак корня n-ой степени $\sqrt[n]{A}$, нужно представить подкоренное выражение $A$ в виде произведения, один из множителей которого является степенью с показателем, кратным $n$. Общая формула: $\sqrt[n]{x^k} = x^q \sqrt[n]{x^r}$, где $q$ - целая часть от деления $k$ на $n$, а $r$ - остаток.

а) В выражении $\sqrt[3]{7b^3}$ подкоренное выражение состоит из множителей $7$ и $b^3$. Степень множителя $b^3$ равна 3, что кратно показателю корня 3 ($3 \div 3 = 1$ без остатка).
$\sqrt[3]{7b^3} = \sqrt[3]{7} \cdot \sqrt[3]{b^3} = b\sqrt[3]{7}$.
Ответ: $b\sqrt[3]{7}$.

б) В выражении $\sqrt[3]{a^5}$ показатель степени подкоренного выражения $5$ больше показателя корня $3$. Разделим $5$ на $3$ с остатком: $5 = 3 \cdot 1 + 2$. Целая часть равна 1, остаток 2.
Следовательно, $a^5$ можно представить как $a^3 \cdot a^2$.
$\sqrt[3]{a^5} = \sqrt[3]{a^3 \cdot a^2} = \sqrt[3]{a^3} \cdot \sqrt[3]{a^2} = a\sqrt[3]{a^2}$.
Ответ: $a\sqrt[3]{a^2}$.

в) В выражении $\sqrt[5]{n^6}$ показатель степени $6$ больше показателя корня $5$. Разделим $6$ на $5$ с остатком: $6 = 5 \cdot 1 + 1$. Целая часть 1, остаток 1.
Следовательно, $n^6$ можно представить как $n^5 \cdot n^1$.
$\sqrt[5]{n^6} = \sqrt[5]{n^5 \cdot n} = \sqrt[5]{n^5} \cdot \sqrt[5]{n} = n\sqrt[5]{n}$.
Ответ: $n\sqrt[5]{n}$.

г) В выражении $\sqrt[5]{a^5b^{18}}$ рассмотрим каждый множитель отдельно.
Для $a^5$: показатель степени 5 делится на показатель корня 5 нацело. $\sqrt[5]{a^5} = a$.
Для $b^{18}$: показатель степени 18 больше показателя корня 5. Делим 18 на 5: $18 = 5 \cdot 3 + 3$.
$\sqrt[5]{b^{18}} = \sqrt[5]{b^{15} \cdot b^3} = \sqrt[5]{(b^3)^5 \cdot b^3} = b^3\sqrt[5]{b^3}$.
Объединяя результаты, получаем:
$\sqrt[5]{a^5b^{18}} = \sqrt[5]{a^5} \cdot \sqrt[5]{b^{18}} = a \cdot b^3\sqrt[5]{b^3} = ab^3\sqrt[5]{b^3}$.
Ответ: $ab^3\sqrt[5]{b^3}$.

д) В выражении $\sqrt[5]{m^{12}n^7}$ рассмотрим каждый множитель отдельно.
Для $m^{12}$: $12 \div 5 = 2$ (ост. 2). $\sqrt[5]{m^{12}} = \sqrt[5]{m^{10} \cdot m^2} = m^2\sqrt[5]{m^2}$.
Для $n^7$: $7 \div 5 = 1$ (ост. 2). $\sqrt[5]{n^7} = \sqrt[5]{n^5 \cdot n^2} = n\sqrt[5]{n^2}$.
Объединяя результаты и группируя подкоренные выражения:
$\sqrt[5]{m^{12}n^7} = (m^2\sqrt[5]{m^2}) \cdot (n\sqrt[5]{n^2}) = m^2n\sqrt[5]{m^2n^2}$.
Ответ: $m^2n\sqrt[5]{m^2n^2}$.

е) В выражении $\sqrt[3]{-108x^7y^{10}}$ корень нечетной степени (3), поэтому знак "минус" можно вынести за знак корня.
$\sqrt[3]{-108x^7y^{10}} = -\sqrt[3]{108x^7y^{10}}$.
Разложим число 108 на множители так, чтобы выделить куб: $108 = 27 \cdot 4 = 3^3 \cdot 4$.
$\sqrt[3]{108} = \sqrt[3]{3^3 \cdot 4} = 3\sqrt[3]{4}$.
Для $x^7$: $7 \div 3 = 2$ (ост. 1). $\sqrt[3]{x^7} = \sqrt[3]{x^6 \cdot x} = x^2\sqrt[3]{x}$.
Для $y^{10}$: $10 \div 3 = 3$ (ост. 1). $\sqrt[3]{y^{10}} = \sqrt[3]{y^9 \cdot y} = y^3\sqrt[3]{y}$.
Собираем все множители вместе:
$-\sqrt[3]{108x^7y^{10}} = -(3\sqrt[3]{4}) \cdot (x^2\sqrt[3]{x}) \cdot (y^3\sqrt[3]{y}) = -3x^2y^3\sqrt[3]{4xy}$.
Ответ: $-3x^2y^3\sqrt[3]{4xy}$.

Помогло решение? Оставьте отзыв в комментариях ниже.

Присоединяйтесь к Телеграм-группе @gdz_by_belarus

Присоединиться

Мы подготовили для вас ответ c подробным объяснением домашего задания по алгебре за 10 класс, для упражнения номер 2.154 расположенного на странице 189 к учебнику 2019 года издания для учащихся школ и гимназий.

Теперь на нашем сайте ГДЗ.ТОП вы всегда легко и бесплатно найдёте условие с правильным ответом на вопрос «Как решить ДЗ» и «Как сделать» задание по алгебре к упражнению №2.154 (с. 189), авторов: Арефьева (Ирина Глебовна), Пирютко (Ольга Николаевна), учебного пособия издательства Народная асвета.