Номер 1.502, страница 150 - гдз по алгебре 10 класс учебник Арефьева, Пирютко

Алгебра, 10 класс Учебник, авторы: Арефьева Ирина Глебовна, Пирютко Ольга Николаевна, издательство Народная асвета, Минск, 2019, голубого цвета

Авторы: Арефьева И. Г., Пирютко О. Н.

Тип: Учебник

Издательство: Народная асвета

Год издания: 2019 - 2026

Цвет обложки: голубой с графиком

Допущено Министерством образования Республики Беларусь

Популярные ГДЗ в 10 классе

Глава 1. Тригонометрия. Параграф 11. Формулы двойного аргумента - номер 1.502, страница 150.

№1.502 (с. 150)
Условие. №1.502 (с. 150)
скриншот условия
Алгебра, 10 класс Учебник, авторы: Арефьева Ирина Глебовна, Пирютко Ольга Николаевна, издательство Народная асвета, Минск, 2019, голубого цвета, страница 150, номер 1.502, Условие

1.502. Решите уравнение:

а) $cos^2 x - \frac{1}{2}sin 2x = 0;$

б) $\sqrt{3} sin 2x = 2sin^2 x;$

в) $2sin x - sin 2x = cos x - 1;$

г) $sin^4 x - cos^4 x = -\frac{\sqrt{3}}{2};$

д) $cos 2x = cos x;$

е) $1 - cos 2x = 2sin x.$

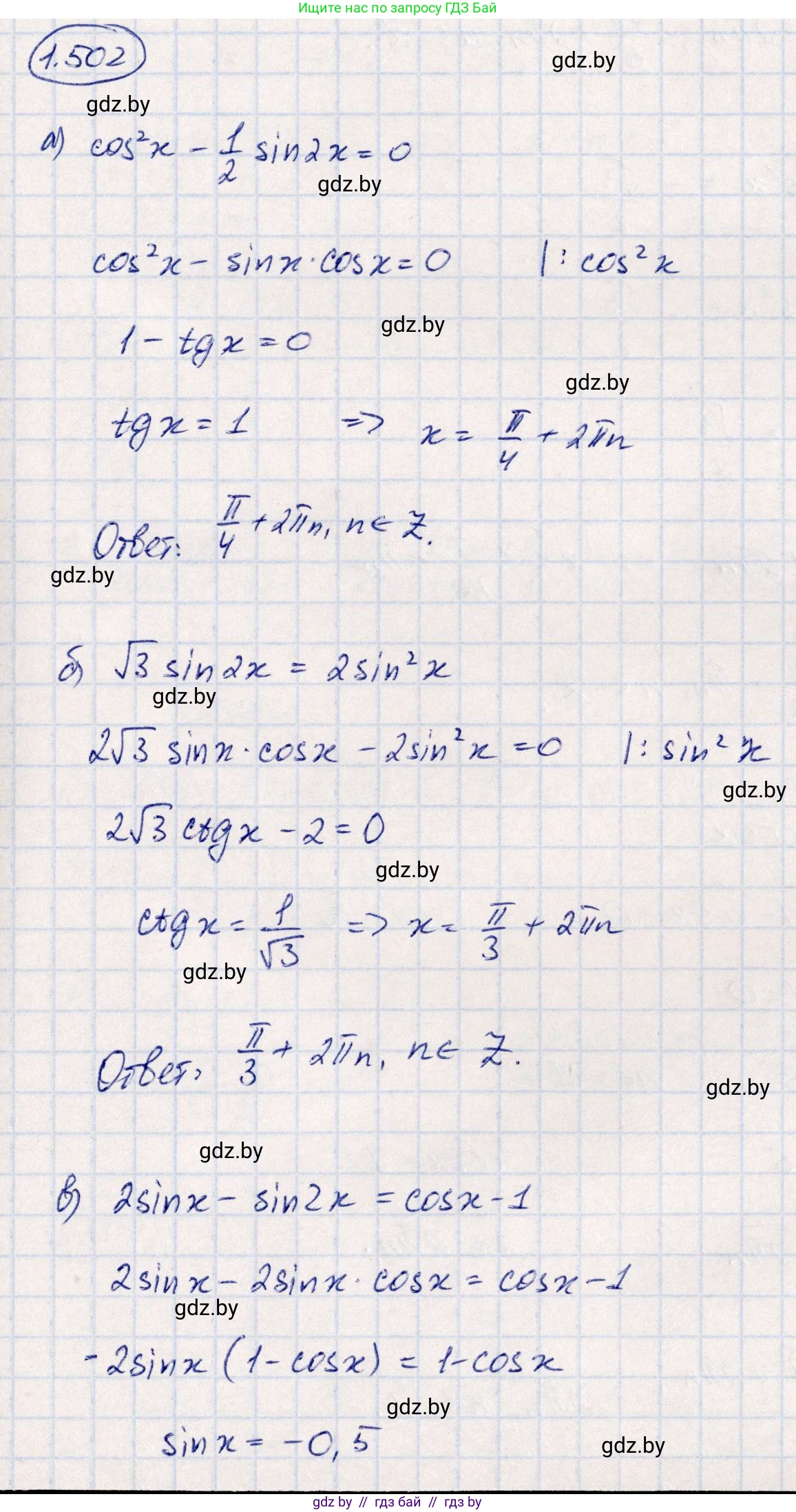
Решение. №1.502 (с. 150)
Алгебра, 10 класс Учебник, авторы: Арефьева Ирина Глебовна, Пирютко Ольга Николаевна, издательство Народная асвета, Минск, 2019, голубого цвета, страница 150, номер 1.502, Решение Алгебра, 10 класс Учебник, авторы: Арефьева Ирина Глебовна, Пирютко Ольга Николаевна, издательство Народная асвета, Минск, 2019, голубого цвета, страница 150, номер 1.502, Решение (продолжение 2)
Решение 2. №1.502 (с. 150)

а) Исходное уравнение: $cos^2 x - \frac{1}{2}sin 2x = 0$.

Применим формулу синуса двойного угла $sin 2x = 2 sin x cos x$:

$cos^2 x - \frac{1}{2}(2 sin x cos x) = 0$

$cos^2 x - sin x cos x = 0$

Вынесем общий множитель $cos x$ за скобки:

$cos x (cos x - sin x) = 0$

Произведение равно нулю, если один из множителей равен нулю. Отсюда получаем два уравнения:

1) $cos x = 0 \implies x = \frac{\pi}{2} + \pi k$, где $k \in \mathbb{Z}$.

2) $cos x - sin x = 0 \implies cos x = sin x$. Разделив на $cos x \neq 0$, получим $tan x = 1$.

Отсюда $x = \frac{\pi}{4} + \pi n$, где $n \in \mathbb{Z}$.

Ответ: $x = \frac{\pi}{2} + \pi k, \quad x = \frac{\pi}{4} + \pi n, \quad k, n \in \mathbb{Z}$.

б) Исходное уравнение: $\sqrt{3} sin 2x = 2 sin^2 x$.

Используем формулу $sin 2x = 2 sin x cos x$ и перенесем все члены в одну часть:

$\sqrt{3} (2 sin x cos x) - 2 sin^2 x = 0$

$2\sqrt{3} sin x cos x - 2 sin^2 x = 0$

Вынесем общий множитель $2 sin x$ за скобки:

$2 sin x (\sqrt{3} cos x - sin x) = 0$

Получаем два уравнения:

1) $sin x = 0 \implies x = \pi k$, где $k \in \mathbb{Z}$.

2) $\sqrt{3} cos x - sin x = 0 \implies \sqrt{3} cos x = sin x$. Разделив на $cos x \neq 0$, получим $tan x = \sqrt{3}$.

Отсюда $x = \frac{\pi}{3} + \pi n$, где $n \in \mathbb{Z}$.

Ответ: $x = \pi k, \quad x = \frac{\pi}{3} + \pi n, \quad k, n \in \mathbb{Z}$.

в) Исходное уравнение: $2sin x - sin 2x = cos x - 1$.

Применим формулу $sin 2x = 2 sin x cos x$ и сгруппируем члены:

$2sin x - 2 sin x cos x - cos x + 1 = 0$

$2sin x(1 - cos x) + (1 - cos x) = 0$

Вынесем общий множитель $(1 - cos x)$:

$(1 - cos x)(2sin x + 1) = 0$

Получаем два уравнения:

1) $1 - cos x = 0 \implies cos x = 1 \implies x = 2\pi k$, где $k \in \mathbb{Z}$.

2) $2sin x + 1 = 0 \implies sin x = -\frac{1}{2}$.

Отсюда $x = (-1)^{n+1} \frac{\pi}{6} + \pi n$, где $n \in \mathbb{Z}$.

Ответ: $x = 2\pi k, \quad x = (-1)^{n+1} \frac{\pi}{6} + \pi n, \quad k, n \in \mathbb{Z}$.

г) Исходное уравнение: $sin^4 x - cos^4 x = -\frac{\sqrt{3}}{2}$.

Используем формулу разности квадратов $a^2 - b^2 = (a-b)(a+b)$:

$(sin^2 x - cos^2 x)(sin^2 x + cos^2 x) = -\frac{\sqrt{3}}{2}$

Применяем основное тригонометрическое тождество $sin^2 x + cos^2 x = 1$ и формулу косинуса двойного угла $cos 2x = cos^2 x - sin^2 x$:

$-(cos^2 x - sin^2 x) \cdot 1 = -\frac{\sqrt{3}}{2}$

$-cos 2x = -\frac{\sqrt{3}}{2}$

$cos 2x = \frac{\sqrt{3}}{2}$

Решаем простейшее тригонометрическое уравнение:

$2x = \pm arccos(\frac{\sqrt{3}}{2}) + 2\pi k = \pm \frac{\pi}{6} + 2\pi k$

Делим на 2, чтобы найти $x$:

$x = \pm \frac{\pi}{12} + \pi k$, где $k \in \mathbb{Z}$.

Ответ: $x = \pm \frac{\pi}{12} + \pi k, \quad k \in \mathbb{Z}$.

д) Исходное уравнение: $cos 2x = cos x$.

Используем формулу косинуса двойного угла $cos 2x = 2cos^2 x - 1$:

$2cos^2 x - 1 = cos x$

Переносим все члены в левую часть, чтобы получить квадратное уравнение относительно $cos x$:

$2cos^2 x - cos x - 1 = 0$

Сделаем замену $t = cos x$, где $|t| \leq 1$.

$2t^2 - t - 1 = 0$

Находим корни по формуле для квадратного уравнения:

$t = \frac{-(-1) \pm \sqrt{(-1)^2 - 4 \cdot 2 \cdot (-1)}}{2 \cdot 2} = \frac{1 \pm \sqrt{1+8}}{4} = \frac{1 \pm 3}{4}$

$t_1 = \frac{1+3}{4} = 1$

$t_2 = \frac{1-3}{4} = -\frac{1}{2}$

Оба корня подходят по условию $|t| \leq 1$. Возвращаемся к замене:

1) $cos x = 1 \implies x = 2\pi k$, где $k \in \mathbb{Z}$.

2) $cos x = -\frac{1}{2} \implies x = \pm arccos(-\frac{1}{2}) + 2\pi n = \pm \frac{2\pi}{3} + 2\pi n$, где $n \in \mathbb{Z}$.

Ответ: $x = 2\pi k, \quad x = \pm \frac{2\pi}{3} + 2\pi n, \quad k, n \in \mathbb{Z}$.

е) Исходное уравнение: $1 - cos 2x = 2sin x$.

Используем формулу косинуса двойного угла $cos 2x = 1 - 2sin^2 x$:

$1 - (1 - 2sin^2 x) = 2sin x$

$1 - 1 + 2sin^2 x = 2sin x$

$2sin^2 x - 2sin x = 0$

Вынесем общий множитель $2sin x$ за скобки:

$2sin x(sin x - 1) = 0$

Получаем два уравнения:

1) $sin x = 0 \implies x = \pi k$, где $k \in \mathbb{Z}$.

2) $sin x - 1 = 0 \implies sin x = 1 \implies x = \frac{\pi}{2} + 2\pi n$, где $n \in \mathbb{Z}$.

Ответ: $x = \pi k, \quad x = \frac{\pi}{2} + 2\pi n, \quad k, n \in \mathbb{Z}$.

Помогло решение? Оставьте отзыв в комментариях ниже.

Присоединяйтесь к Телеграм-группе @gdz_by_belarus

Присоединиться

Мы подготовили для вас ответ c подробным объяснением домашего задания по алгебре за 10 класс, для упражнения номер 1.502 расположенного на странице 150 к учебнику 2019 года издания для учащихся школ и гимназий.

Теперь на нашем сайте ГДЗ.ТОП вы всегда легко и бесплатно найдёте условие с правильным ответом на вопрос «Как решить ДЗ» и «Как сделать» задание по алгебре к упражнению №1.502 (с. 150), авторов: Арефьева (Ирина Глебовна), Пирютко (Ольга Николаевна), учебного пособия издательства Народная асвета.