Номер 1.48, страница 28 - гдз по алгебре 10 класс учебник Арефьева, Пирютко

Алгебра, 10 класс Учебник, авторы: Арефьева Ирина Глебовна, Пирютко Ольга Николаевна, издательство Народная асвета, Минск, 2019, голубого цвета

Авторы: Арефьева И. Г., Пирютко О. Н.

Тип: Учебник

Издательство: Народная асвета

Год издания: 2019 - 2026

Цвет обложки: голубой с графиком

Допущено Министерством образования Республики Беларусь

Популярные ГДЗ в 10 классе

Глава 1. Тригонометрия. Параграф 2. Определение синуса и косинуса произвольного угла - номер 1.48, страница 28.

№1.48 (с. 28)
Условие. №1.48 (с. 28)
скриншот условия
Алгебра, 10 класс Учебник, авторы: Арефьева Ирина Глебовна, Пирютко Ольга Николаевна, издательство Народная асвета, Минск, 2019, голубого цвета, страница 28, номер 1.48, Условие

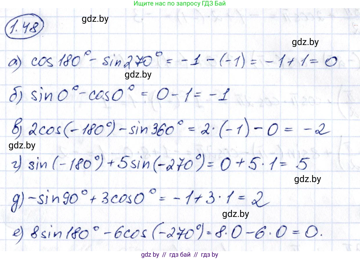
1.48. Найдите значение выражения:

a) $ \cos 180^\circ - \sin 270^\circ $;

б) $ \sin 0^\circ - \cos 0^\circ $;

в) $ 2\cos(-180^\circ) - \sin 360^\circ $;

г) $ \sin(-180^\circ) + 5\sin(-270^\circ) $;

д) $ -\sin 90^\circ + 3\cos 0^\circ $;

е) $ 8\sin 180^\circ - 6\cos(-270^\circ) $.

Решение. №1.48 (с. 28)
Алгебра, 10 класс Учебник, авторы: Арефьева Ирина Глебовна, Пирютко Ольга Николаевна, издательство Народная асвета, Минск, 2019, голубого цвета, страница 28, номер 1.48, Решение
Решение 2. №1.48 (с. 28)

Для нахождения значений выражений воспользуемся известными значениями тригонометрических функций для углов, кратных 90°, а также свойствами четности и нечетности синуса и косинуса.

  • Значения функций:
    • $sin 0° = 0$
    • $cos 0° = 1$
    • $sin 90° = 1$
    • $cos 90° = 0$
    • $sin 180° = 0$
    • $cos 180° = -1$
    • $sin 270° = -1$
    • $cos 270° = 0$
    • $sin 360° = 0$
    • $cos 360° = 1$
  • Свойства четности/нечетности:
    • Косинус - четная функция: $cos(-α) = cos(α)$
    • Синус - нечетная функция: $sin(-α) = -sin(α)$

а) $cos 180° - sin 270°$

Подставляем табличные значения $cos 180° = -1$ и $sin 270° = -1$ в выражение:

$-1 - (-1) = -1 + 1 = 0$

Ответ: 0


б) $sin 0° - cos 0°$

Подставляем табличные значения $sin 0° = 0$ и $cos 0° = 1$ в выражение:

$0 - 1 = -1$

Ответ: -1


в) $2cos(-180°) - sin 360°$

Используем свойство четности косинуса: $cos(-180°) = cos(180°) = -1$.

Значение синуса: $sin 360° = 0$.

Подставляем значения в выражение:

$2 \cdot (-1) - 0 = -2 - 0 = -2$

Ответ: -2


г) $sin(-180°) + 5sin(-270°)$

Используем свойство нечетности синуса: $sin(-180°) = -sin(180°)$ и $sin(-270°) = -sin(270°)$.

Подставляем табличные значения $sin(180°) = 0$ и $sin(270°) = -1$.

$-sin(180°) = -0 = 0$

$-sin(270°) = -(-1) = 1$

Подставляем полученные значения в исходное выражение:

$0 + 5 \cdot 1 = 0 + 5 = 5$

Ответ: 5


д) $-sin 90° + 3cos 0°$

Подставляем табличные значения $sin 90° = 1$ и $cos 0° = 1$ в выражение:

$-(1) + 3 \cdot 1 = -1 + 3 = 2$

Ответ: 2


е) $8sin 180° - 6cos(-270°)$

Используем свойство четности косинуса: $cos(-270°) = cos(270°)$.

Подставляем табличные значения $sin 180° = 0$ и $cos 270° = 0$ в выражение:

$8 \cdot 0 - 6 \cdot 0 = 0 - 0 = 0$

Ответ: 0

Помогло решение? Оставьте отзыв в комментариях ниже.

Присоединяйтесь к Телеграм-группе @gdz_by_belarus

Присоединиться

Мы подготовили для вас ответ c подробным объяснением домашего задания по алгебре за 10 класс, для упражнения номер 1.48 расположенного на странице 28 к учебнику 2019 года издания для учащихся школ и гимназий.

Теперь на нашем сайте ГДЗ.ТОП вы всегда легко и бесплатно найдёте условие с правильным ответом на вопрос «Как решить ДЗ» и «Как сделать» задание по алгебре к упражнению №1.48 (с. 28), авторов: Арефьева (Ирина Глебовна), Пирютко (Ольга Николаевна), учебного пособия издательства Народная асвета.