Номер 1.493, страница 149 - гдз по алгебре 10 класс учебник Арефьева, Пирютко

Алгебра, 10 класс Учебник, авторы: Арефьева Ирина Глебовна, Пирютко Ольга Николаевна, издательство Народная асвета, Минск, 2019, голубого цвета

Авторы: Арефьева И. Г., Пирютко О. Н.

Тип: Учебник

Издательство: Народная асвета

Год издания: 2019 - 2026

Цвет обложки: голубой с графиком

Допущено Министерством образования Республики Беларусь

Популярные ГДЗ в 10 классе

Глава 1. Тригонометрия. Параграф 11. Формулы двойного аргумента - номер 1.493, страница 149.

№1.493 (с. 149)
Условие. №1.493 (с. 149)
скриншот условия
Алгебра, 10 класс Учебник, авторы: Арефьева Ирина Глебовна, Пирютко Ольга Николаевна, издательство Народная асвета, Минск, 2019, голубого цвета, страница 149, номер 1.493, Условие

1.493. Решите уравнение:

a) $\sin x \cos x \cos 2x = -\frac{1}{8}$;

б) $3\sin^2 x - 2\sin 2x + 5\cos^2 x = 2$.

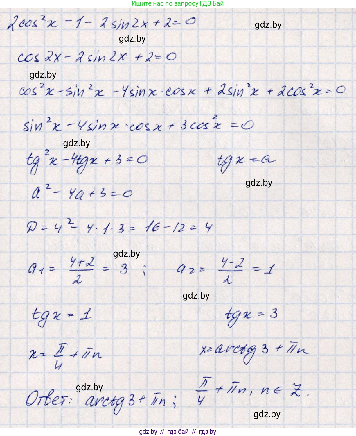
Решение. №1.493 (с. 149)
Алгебра, 10 класс Учебник, авторы: Арефьева Ирина Глебовна, Пирютко Ольга Николаевна, издательство Народная асвета, Минск, 2019, голубого цвета, страница 149, номер 1.493, Решение Алгебра, 10 класс Учебник, авторы: Арефьева Ирина Глебовна, Пирютко Ольга Николаевна, издательство Народная асвета, Минск, 2019, голубого цвета, страница 149, номер 1.493, Решение (продолжение 2)
Решение 2. №1.493 (с. 149)

а) Исходное уравнение: $ \sin x \cos x \cos 2x = -\frac{1}{8} $

Для решения этого уравнения последовательно применим формулу синуса двойного угла $ \sin 2\alpha = 2 \sin \alpha \cos \alpha $.

Сначала преобразуем произведение $ \sin x \cos x $. Из формулы двойного угла следует, что $ \sin x \cos x = \frac{1}{2} \sin 2x $.

Подставим это выражение в исходное уравнение:

$ (\frac{1}{2} \sin 2x) \cos 2x = -\frac{1}{8} $

Умножим обе части на 2:

$ \sin 2x \cos 2x = -\frac{1}{4} $

Снова видим произведение синуса и косинуса одного и того же аргумента ($2x$). Применим формулу синуса двойного угла ещё раз. Для аргумента $2x$ она выглядит так: $ \sin(2 \cdot 2x) = \sin 4x = 2 \sin 2x \cos 2x $. Отсюда $ \sin 2x \cos 2x = \frac{1}{2} \sin 4x $.

Подставляем в наше уравнение:

$ \frac{1}{2} \sin 4x = -\frac{1}{4} $

Умножим обе части на 2, чтобы выразить $ \sin 4x $:

$ \sin 4x = -\frac{1}{2} $

Теперь решим это простейшее тригонометрическое уравнение. Общее решение уравнения $ \sin t = a $ ($|a| \le 1$) дается формулой $ t = (-1)^n \arcsin(a) + \pi n $, где $ n \in \mathbb{Z} $.

В нашем случае $ t = 4x $ и $ a = -\frac{1}{2} $. Значение $ \arcsin(-\frac{1}{2}) $ равно $ -\frac{\pi}{6} $.

$ 4x = (-1)^n (-\frac{\pi}{6}) + \pi n $

Это можно записать как:

$ 4x = (-1)^{n+1} \frac{\pi}{6} + \pi n, \quad n \in \mathbb{Z} $

Наконец, разделим обе части на 4, чтобы найти $ x $:

$ x = \frac{(-1)^{n+1} \pi}{24} + \frac{\pi n}{4}, \quad n \in \mathbb{Z} $

Ответ: $ x = \frac{(-1)^{n+1} \pi}{24} + \frac{\pi n}{4}, n \in \mathbb{Z} $

б) Исходное уравнение: $ 3\sin^2 x - 2\sin 2x + 5\cos^2 x = 2 $

Это уравнение можно свести к однородному. Для этого используем формулу синуса двойного угла $ \sin 2x = 2 \sin x \cos x $ и основное тригонометрическое тождество $ \sin^2 x + \cos^2 x = 1 $. Представим число 2 в правой части как $ 2 \cdot 1 = 2(\sin^2 x + \cos^2 x) $.

Подставим эти выражения в уравнение:

$ 3\sin^2 x - 2(2 \sin x \cos x) + 5\cos^2 x = 2(\sin^2 x + \cos^2 x) $

Раскроем скобки:

$ 3\sin^2 x - 4 \sin x \cos x + 5\cos^2 x = 2\sin^2 x + 2\cos^2 x $

Перенесем все слагаемые в левую часть и приведем подобные:

$ (3\sin^2 x - 2\sin^2 x) - 4 \sin x \cos x + (5\cos^2 x - 2\cos^2 x) = 0 $

$ \sin^2 x - 4 \sin x \cos x + 3\cos^2 x = 0 $

Мы получили однородное тригонометрическое уравнение второго порядка. Для его решения разделим обе части на $ \cos^2 x $. Сначала убедимся, что $ \cos x \neq 0 $. Если предположить, что $ \cos x = 0 $, то из основного тождества следует, что $ \sin^2 x = 1 $. Подставим эти значения в наше уравнение: $ 1 - 4 \cdot (\pm 1) \cdot 0 + 3 \cdot 0 = 1 \neq 0 $. Значит, $ \cos x = 0 $ не является решением, и мы можем безопасно делить на $ \cos^2 x $.

$ \frac{\sin^2 x}{\cos^2 x} - \frac{4 \sin x \cos x}{\cos^2 x} + \frac{3\cos^2 x}{\cos^2 x} = 0 $

Поскольку $ \tan x = \frac{\sin x}{\cos x} $, уравнение принимает вид:

$ \tan^2 x - 4 \tan x + 3 = 0 $

Это квадратное уравнение относительно $ \tan x $. Сделаем замену $ t = \tan x $:

$ t^2 - 4t + 3 = 0 $

Корни этого уравнения легко находятся по теореме Виета (сумма корней равна 4, произведение равно 3) или через дискриминант. Корни: $ t_1 = 1 $ и $ t_2 = 3 $.

Теперь вернемся к переменной $ x $:

1) $ \tan x = 1 $

$ x = \arctan(1) + \pi n = \frac{\pi}{4} + \pi n, \quad n \in \mathbb{Z} $

2) $ \tan x = 3 $

$ x = \arctan(3) + \pi k, \quad k \in \mathbb{Z} $

Ответ: $ x = \frac{\pi}{4} + \pi n, n \in \mathbb{Z} $; $ x = \arctan(3) + \pi k, k \in \mathbb{Z} $

Помогло решение? Оставьте отзыв в комментариях ниже.

Присоединяйтесь к Телеграм-группе @gdz_by_belarus

Присоединиться

Мы подготовили для вас ответ c подробным объяснением домашего задания по алгебре за 10 класс, для упражнения номер 1.493 расположенного на странице 149 к учебнику 2019 года издания для учащихся школ и гимназий.

Теперь на нашем сайте ГДЗ.ТОП вы всегда легко и бесплатно найдёте условие с правильным ответом на вопрос «Как решить ДЗ» и «Как сделать» задание по алгебре к упражнению №1.493 (с. 149), авторов: Арефьева (Ирина Глебовна), Пирютко (Ольга Николаевна), учебного пособия издательства Народная асвета.