Номер 1.481, страница 148 - гдз по алгебре 10 класс учебник Арефьева, Пирютко

Алгебра, 10 класс Учебник, авторы: Арефьева Ирина Глебовна, Пирютко Ольга Николаевна, издательство Народная асвета, Минск, 2019, голубого цвета

Авторы: Арефьева И. Г., Пирютко О. Н.

Тип: Учебник

Издательство: Народная асвета

Год издания: 2019 - 2026

Цвет обложки: голубой с графиком

Допущено Министерством образования Республики Беларусь

Популярные ГДЗ в 10 классе

Глава 1. Тригонометрия. Параграф 11. Формулы двойного аргумента - номер 1.481, страница 148.

№1.481 (с. 148)
Условие. №1.481 (с. 148)
скриншот условия
Алгебра, 10 класс Учебник, авторы: Арефьева Ирина Глебовна, Пирютко Ольга Николаевна, издательство Народная асвета, Минск, 2019, голубого цвета, страница 148, номер 1.481, Условие

1.481. Упростите выражение:

а) $\frac{\sin 8\alpha}{\sin 4\alpha} - 2\cos^2 2\alpha;$

б) $\frac{\operatorname{tg} 2\alpha}{\operatorname{tg} \alpha} - \operatorname{tg} 2\alpha \operatorname{tg} \alpha;$

в) $\cos^2 2\alpha + 4\sin^2 \alpha \cos^2 \alpha;$

г) $\cos^2 (5\pi - \alpha) + \operatorname{ctg} \alpha \cdot \sin 2\alpha;$

д) $\cos(\pi + 2\alpha) + \sin(\pi + 2\alpha)\operatorname{tg}\left(\frac{\pi}{2} + \alpha\right);$

е) $\frac{\cos^2 (2\pi + \alpha) - \sin^2 (\alpha - \pi)}{2\cos(\alpha + 2\pi)\cos\left(\frac{\pi}{2} - \alpha\right)}.$

Решение. №1.481 (с. 148)
Алгебра, 10 класс Учебник, авторы: Арефьева Ирина Глебовна, Пирютко Ольга Николаевна, издательство Народная асвета, Минск, 2019, голубого цвета, страница 148, номер 1.481, Решение Алгебра, 10 класс Учебник, авторы: Арефьева Ирина Глебовна, Пирютко Ольга Николаевна, издательство Народная асвета, Минск, 2019, голубого цвета, страница 148, номер 1.481, Решение (продолжение 2)
Решение 2. №1.481 (с. 148)

а) $ \frac{\sin 8\alpha}{\sin 4\alpha} - 2\cos^2 2\alpha $
Применим формулу синуса двойного угла $ \sin(2x) = 2\sin(x)\cos(x) $ к числителю дроби, где $ x = 4\alpha $:
$ \frac{2\sin 4\alpha \cos 4\alpha}{\sin 4\alpha} - 2\cos^2 2\alpha $
Сократим дробь (при условии, что $ \sin 4\alpha \neq 0 $):
$ 2\cos 4\alpha - 2\cos^2 2\alpha $
Используем формулу понижения степени $ 2\cos^2 y = 1 + \cos(2y) $. В нашем случае $ y = 2\alpha $, тогда $ 2\cos^2 2\alpha = 1 + \cos 4\alpha $. Подставим это в выражение:
$ 2\cos 4\alpha - (1 + \cos 4\alpha) = 2\cos 4\alpha - 1 - \cos 4\alpha = \cos 4\alpha - 1 $
Для более компактной записи можно применить формулу косинуса двойного угла $ \cos(2z) = 1 - 2\sin^2 z $. Для $ \cos 4\alpha $, где $ z = 2\alpha $, получим:
$ \cos 4\alpha - 1 = (1 - 2\sin^2 2\alpha) - 1 = -2\sin^2 2\alpha $
Ответ: $ -2\sin^2 2\alpha $

б) $ \frac{\operatorname{tg} 2\alpha}{\operatorname{tg} \alpha} - \operatorname{tg} 2\alpha \operatorname{tg} \alpha $
Вынесем общий множитель $ \operatorname{tg} 2\alpha $ за скобки:
$ \operatorname{tg} 2\alpha \left(\frac{1}{\operatorname{tg} \alpha} - \operatorname{tg} \alpha\right) $
Приведем выражение в скобках к общему знаменателю:
$ \operatorname{tg} 2\alpha \left(\frac{1 - \operatorname{tg}^2 \alpha}{\operatorname{tg} \alpha}\right) $
Воспользуемся формулой тангенса двойного угла $ \operatorname{tg} 2\alpha = \frac{2\operatorname{tg} \alpha}{1 - \operatorname{tg}^2 \alpha} $. Из этой формулы следует, что $ \frac{1 - \operatorname{tg}^2 \alpha}{\operatorname{tg} \alpha} = \frac{2}{\operatorname{tg} 2\alpha} $. Подставим это в наше выражение:
$ \operatorname{tg} 2\alpha \cdot \frac{2}{\operatorname{tg} 2\alpha} $
Сократив $ \operatorname{tg} 2\alpha $ (при условии, что $ \operatorname{tg} 2\alpha \neq 0 $), получим:
$ 2 $
Ответ: 2

в) $ \cos^2 2\alpha + 4\sin^2 \alpha \cos^2 \alpha $
Преобразуем второе слагаемое:
$ 4\sin^2 \alpha \cos^2 \alpha = (2\sin \alpha \cos \alpha)^2 $
Применим формулу синуса двойного угла $ \sin 2\alpha = 2\sin \alpha \cos \alpha $:
$ (2\sin \alpha \cos \alpha)^2 = (\sin 2\alpha)^2 = \sin^2 2\alpha $
Подставим результат в исходное выражение:
$ \cos^2 2\alpha + \sin^2 2\alpha $
Согласно основному тригонометрическому тождеству $ \cos^2 x + \sin^2 x = 1 $, где $ x = 2\alpha $:
$ \cos^2 2\alpha + \sin^2 2\alpha = 1 $
Ответ: 1

г) $ \cos^2(5\pi - \alpha) + \operatorname{ctg} \alpha \cdot \sin 2\alpha $
Упростим первое слагаемое. Используя периодичность косинуса ($ 2\pi $) и формулу приведения $ \cos(\pi - x) = -\cos x $:
$ \cos(5\pi - \alpha) = \cos(4\pi + \pi - \alpha) = \cos(\pi - \alpha) = -\cos \alpha $
Тогда $ \cos^2(5\pi - \alpha) = (-\cos \alpha)^2 = \cos^2 \alpha $.
Упростим второе слагаемое, используя определение котангенса $ \operatorname{ctg} \alpha = \frac{\cos \alpha}{\sin \alpha} $ и формулу синуса двойного угла $ \sin 2\alpha = 2\sin \alpha \cos \alpha $:
$ \operatorname{ctg} \alpha \cdot \sin 2\alpha = \frac{\cos \alpha}{\sin \alpha} \cdot (2\sin \alpha \cos \alpha) = 2\cos^2 \alpha $
Сложим полученные результаты:
$ \cos^2 \alpha + 2\cos^2 \alpha = 3\cos^2 \alpha $
Ответ: $ 3\cos^2 \alpha $

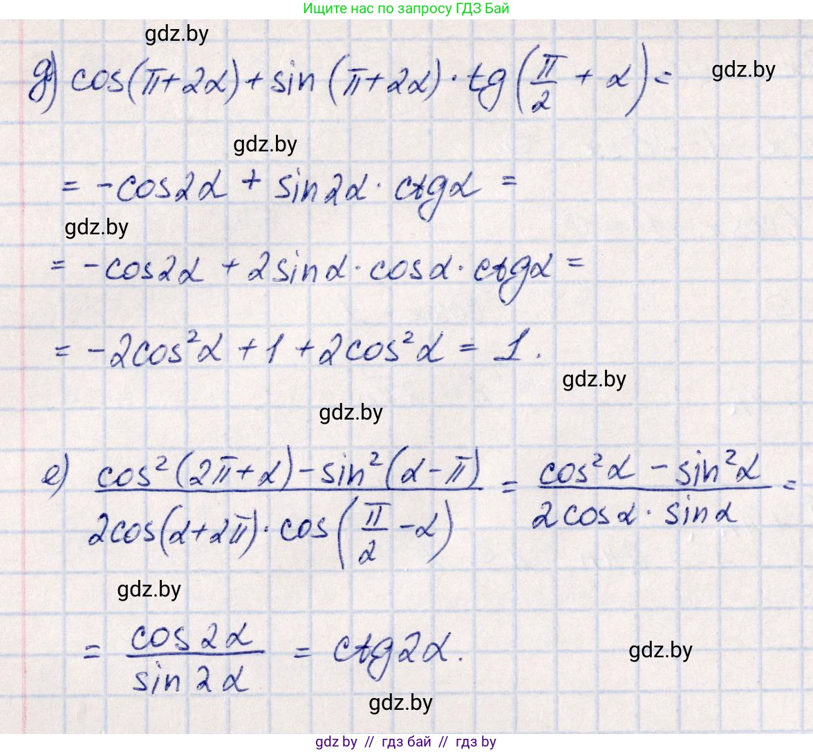
д) $ \cos(\pi + 2\alpha) + \sin(\pi + 2\alpha)\operatorname{tg}(\frac{\pi}{2} + \alpha) $
Применим формулы приведения:
$ \cos(\pi + 2\alpha) = -\cos 2\alpha $
$ \sin(\pi + 2\alpha) = -\sin 2\alpha $
$ \operatorname{tg}(\frac{\pi}{2} + \alpha) = -\operatorname{ctg} \alpha $
Подставим упрощенные выражения в исходное:
$ -\cos 2\alpha + (-\sin 2\alpha)(-\operatorname{ctg} \alpha) = -\cos 2\alpha + \sin 2\alpha \operatorname{ctg} \alpha $
Преобразуем второе слагаемое:
$ \sin 2\alpha \operatorname{ctg} \alpha = (2\sin \alpha \cos \alpha) \cdot \frac{\cos \alpha}{\sin \alpha} = 2\cos^2 \alpha $
Теперь выражение выглядит так:
$ -\cos 2\alpha + 2\cos^2 \alpha $
Используем формулу косинуса двойного угла $ \cos 2\alpha = 2\cos^2 \alpha - 1 $:
$ -(2\cos^2 \alpha - 1) + 2\cos^2 \alpha = -2\cos^2 \alpha + 1 + 2\cos^2 \alpha = 1 $
Ответ: 1

е) $ \frac{\cos^2(2\pi + \alpha) - \sin^2(\alpha - \pi)}{2\cos(\alpha + 2\pi)\cos(\frac{\pi}{2} - \alpha)} $
Упростим числитель. В силу периодичности $ \cos(2\pi + \alpha) = \cos \alpha $. По формуле приведения $ \sin(\alpha - \pi) = -\sin(\pi - \alpha) = -\sin \alpha $.
Числитель: $ (\cos \alpha)^2 - (-\sin \alpha)^2 = \cos^2 \alpha - \sin^2 \alpha $.
Это формула косинуса двойного угла: $ \cos 2\alpha $.
Упростим знаменатель. В силу периодичности $ \cos(\alpha + 2\pi) = \cos \alpha $. По формуле приведения $ \cos(\frac{\pi}{2} - \alpha) = \sin \alpha $.
Знаменатель: $ 2 \cdot \cos \alpha \cdot \sin \alpha $.
Это формула синуса двойного угла: $ \sin 2\alpha $.
Теперь запишем всю дробь с упрощенными частями:
$ \frac{\cos 2\alpha}{\sin 2\alpha} $
По определению котангенса это равно $ \operatorname{ctg} 2\alpha $.
Ответ: $ \operatorname{ctg} 2\alpha $

Помогло решение? Оставьте отзыв в комментариях ниже.

Присоединяйтесь к Телеграм-группе @gdz_by_belarus

Присоединиться

Мы подготовили для вас ответ c подробным объяснением домашего задания по алгебре за 10 класс, для упражнения номер 1.481 расположенного на странице 148 к учебнику 2019 года издания для учащихся школ и гимназий.

Теперь на нашем сайте ГДЗ.ТОП вы всегда легко и бесплатно найдёте условие с правильным ответом на вопрос «Как решить ДЗ» и «Как сделать» задание по алгебре к упражнению №1.481 (с. 148), авторов: Арефьева (Ирина Глебовна), Пирютко (Ольга Николаевна), учебного пособия издательства Народная асвета.