Номер 1.450, страница 140 - гдз по алгебре 10 класс учебник Арефьева, Пирютко

Алгебра, 10 класс Учебник, авторы: Арефьева Ирина Глебовна, Пирютко Ольга Николаевна, издательство Народная асвета, Минск, 2019, голубого цвета

Авторы: Арефьева И. Г., Пирютко О. Н.

Тип: Учебник

Издательство: Народная асвета

Год издания: 2019 - 2026

Цвет обложки: голубой с графиком

Допущено Министерством образования Республики Беларусь

Популярные ГДЗ в 10 классе

Глава 1. Тригонометрия. Параграф 10. Синус, косинус, тангенс суммы и разности - номер 1.450, страница 140.

№1.450 (с. 140)
Условие. №1.450 (с. 140)
скриншот условия
Алгебра, 10 класс Учебник, авторы: Арефьева Ирина Глебовна, Пирютко Ольга Николаевна, издательство Народная асвета, Минск, 2019, голубого цвета, страница 140, номер 1.450, Условие

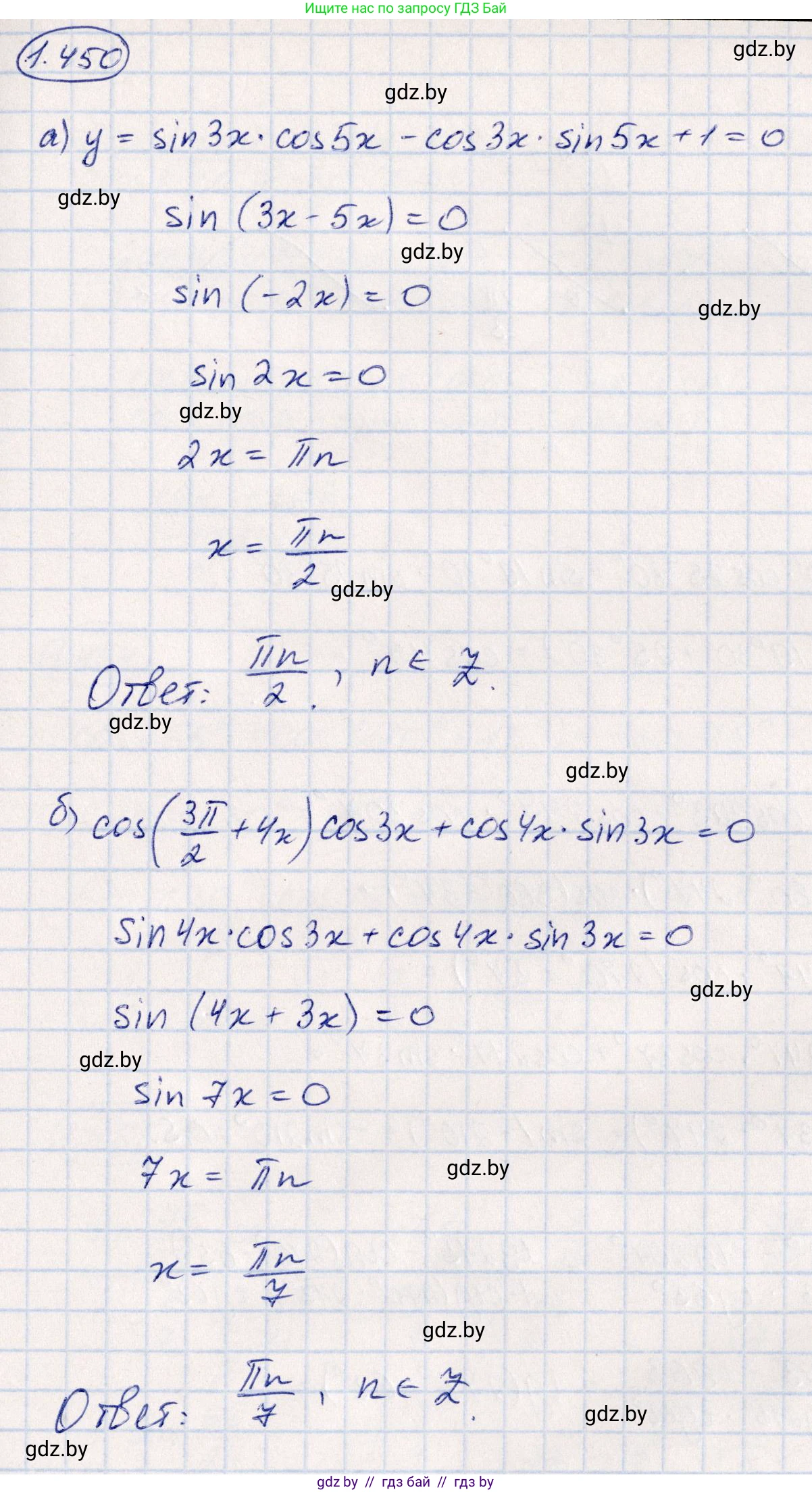
1.450. Найдите нули функции:

a) $y = \sin 3x \cos 5x - \cos 3x \sin 5x + 1$

б) $y = \cos \left(\frac{3\pi}{2} + 4x\right) \cos 3x + \cos 4x \sin 3x$

Решение. №1.450 (с. 140)
Алгебра, 10 класс Учебник, авторы: Арефьева Ирина Глебовна, Пирютко Ольга Николаевна, издательство Народная асвета, Минск, 2019, голубого цвета, страница 140, номер 1.450, Решение
Решение 2. №1.450 (с. 140)

а) $y = \sin 3x \cos 5x - \cos 3x \sin 5x + 1$

Чтобы найти нули функции, необходимо приравнять ее к нулю и решить полученное уравнение:
$ \sin 3x \cos 5x - \cos 3x \sin 5x + 1 = 0$

Воспользуемся формулой синуса разности: $\sin(\alpha - \beta) = \sin \alpha \cos \beta - \cos \alpha \sin \beta$.
В данном случае $\alpha = 3x$ и $\beta = 5x$. Уравнение преобразуется к виду:
$\sin(3x - 5x) + 1 = 0$
$\sin(-2x) + 1 = 0$

Так как синус является нечетной функцией, то есть $\sin(-u) = -\sin u$, получаем:
$-\sin 2x + 1 = 0$
$\sin 2x = 1$

Решаем простейшее тригонометрическое уравнение. Частный случай для $\sin u = 1$:
$2x = \frac{\pi}{2} + 2\pi k$, где $k \in Z$ (множество целых чисел).
Разделим обе части на 2, чтобы выразить $x$:
$x = \frac{\pi}{4} + \pi k$, где $k \in Z$.

Ответ: $x = \frac{\pi}{4} + \pi k, k \in Z$.

б) $y = \cos\left(\frac{3\pi}{2} + 4x\right)\cos 3x + \cos 4x \sin 3x$

Приравниваем функцию к нулю:
$\cos\left(\frac{3\pi}{2} + 4x\right)\cos 3x + \cos 4x \sin 3x = 0$

Сначала упростим выражение $\cos\left(\frac{3\pi}{2} + 4x\right)$, используя формулы приведения.
При прибавлении $\frac{3\pi}{2}$ функция меняется на кофункцию (косинус на синус). Угол $(\frac{3\pi}{2} + 4x)$ находится в IV координатной четверти, где косинус имеет положительный знак.
Следовательно, $\cos\left(\frac{3\pi}{2} + 4x\right) = \sin 4x$.

Подставим полученное выражение в исходное уравнение:
$\sin 4x \cos 3x + \cos 4x \sin 3x = 0$

Теперь воспользуемся формулой синуса суммы: $\sin(\alpha + \beta) = \sin \alpha \cos \beta + \cos \alpha \sin \beta$.
В данном случае $\alpha = 4x$ и $\beta = 3x$. Уравнение сворачивается к виду:
$\sin(4x + 3x) = 0$
$\sin(7x) = 0$

Решаем простейшее тригонометрическое уравнение. Частный случай для $\sin u = 0$:
$7x = \pi k$, где $k \in Z$.
Разделим обе части на 7, чтобы выразить $x$:
$x = \frac{\pi k}{7}$, где $k \in Z$.

Ответ: $x = \frac{\pi k}{7}, k \in Z$.

Помогло решение? Оставьте отзыв в комментариях ниже.

Присоединяйтесь к Телеграм-группе @gdz_by_belarus

Присоединиться

Мы подготовили для вас ответ c подробным объяснением домашего задания по алгебре за 10 класс, для упражнения номер 1.450 расположенного на странице 140 к учебнику 2019 года издания для учащихся школ и гимназий.

Теперь на нашем сайте ГДЗ.ТОП вы всегда легко и бесплатно найдёте условие с правильным ответом на вопрос «Как решить ДЗ» и «Как сделать» задание по алгебре к упражнению №1.450 (с. 140), авторов: Арефьева (Ирина Глебовна), Пирютко (Ольга Николаевна), учебного пособия издательства Народная асвета.