Номер 1.441, страница 139 - гдз по алгебре 10 класс учебник Арефьева, Пирютко

Алгебра, 10 класс Учебник, авторы: Арефьева Ирина Глебовна, Пирютко Ольга Николаевна, издательство Народная асвета, Минск, 2019, голубого цвета

Авторы: Арефьева И. Г., Пирютко О. Н.

Тип: Учебник

Издательство: Народная асвета

Год издания: 2019 - 2026

Цвет обложки: голубой с графиком

Допущено Министерством образования Республики Беларусь

Популярные ГДЗ в 10 классе

Глава 1. Тригонометрия. Параграф 10. Синус, косинус, тангенс суммы и разности - номер 1.441, страница 139.

№1.441 (с. 139)
Условие. №1.441 (с. 139)
скриншот условия
Алгебра, 10 класс Учебник, авторы: Арефьева Ирина Глебовна, Пирютко Ольга Николаевна, издательство Народная асвета, Минск, 2019, голубого цвета, страница 139, номер 1.441, Условие

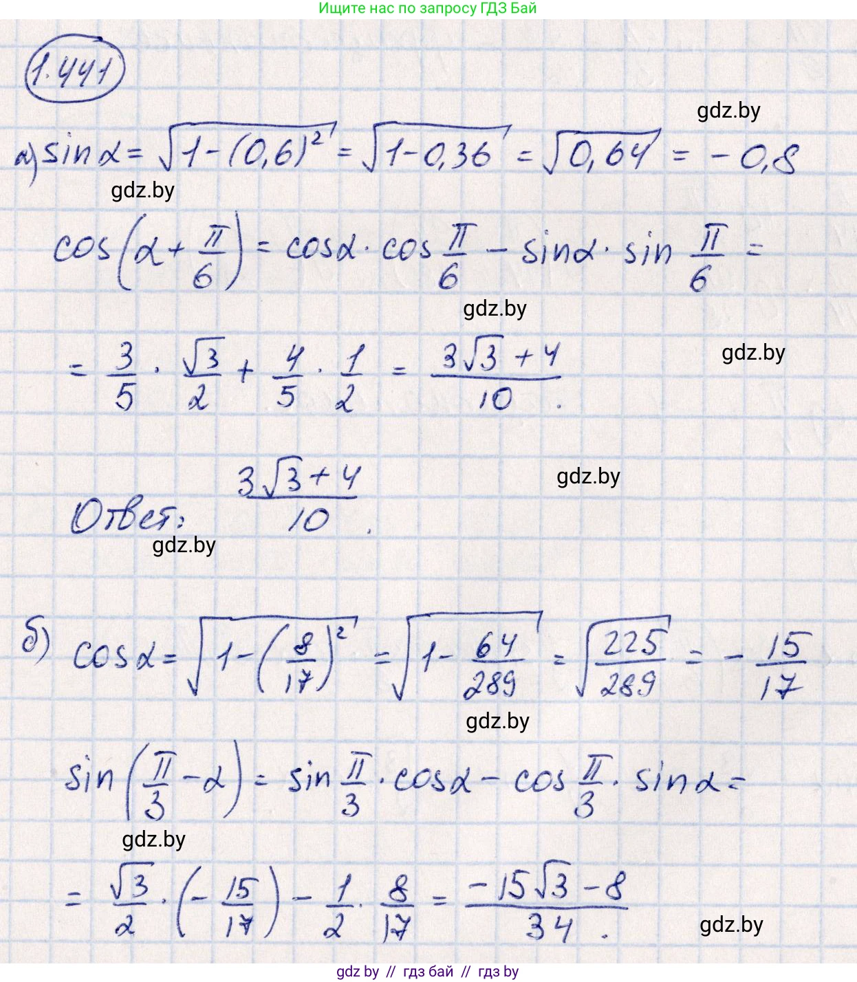
1.441. Вычислите, используя формулы сложения:

a) $\cos\left(\alpha + \frac{\pi}{6}\right)$, если $\cos\alpha = 0,6$ и $\frac{3\pi}{2} < \alpha < 2\pi$;

б) $\sin\left(\frac{\pi}{3} - \alpha\right)$, если $\sin\alpha = \frac{8}{17}$ и $\frac{\pi}{2} < \alpha < \pi$.

Решение. №1.441 (с. 139)
Алгебра, 10 класс Учебник, авторы: Арефьева Ирина Глебовна, Пирютко Ольга Николаевна, издательство Народная асвета, Минск, 2019, голубого цвета, страница 139, номер 1.441, Решение Алгебра, 10 класс Учебник, авторы: Арефьева Ирина Глебовна, Пирютко Ольга Николаевна, издательство Народная асвета, Минск, 2019, голубого цвета, страница 139, номер 1.441, Решение (продолжение 2)
Решение 2. №1.441 (с. 139)

а) Для вычисления значения выражения $cos(\alpha + \frac{\pi}{6})$ воспользуемся формулой сложения для косинуса:

$cos(x + y) = cos(x) \cdot cos(y) - sin(x) \cdot sin(y)$

Подставим $x = \alpha$ и $y = \frac{\pi}{6}$:

$cos(\alpha + \frac{\pi}{6}) = cos\alpha \cdot cos\frac{\pi}{6} - sin\alpha \cdot sin\frac{\pi}{6}$

По условию, $cos\alpha = 0,6 = \frac{3}{5}$. Нам нужно найти $sin\alpha$. Воспользуемся основным тригонометрическим тождеством: $sin^2\alpha + cos^2\alpha = 1$.

$sin^2\alpha = 1 - cos^2\alpha = 1 - (0,6)^2 = 1 - 0,36 = 0,64$

$sin\alpha = \pm\sqrt{0,64} = \pm0,8 = \pm\frac{4}{5}$

Угол $\alpha$ принадлежит промежутку $\frac{3\pi}{2} < \alpha < 2\pi$, что соответствует IV координатной четверти. В этой четверти синус имеет отрицательное значение, следовательно, $sin\alpha = -0,8 = -\frac{4}{5}$.

Значения тригонометрических функций для угла $\frac{\pi}{6}$ известны:

$cos\frac{\pi}{6} = \frac{\sqrt{3}}{2}$, $sin\frac{\pi}{6} = \frac{1}{2}$

Теперь подставим все известные значения в исходную формулу:

$cos(\alpha + \frac{\pi}{6}) = \frac{3}{5} \cdot \frac{\sqrt{3}}{2} - (-\frac{4}{5}) \cdot \frac{1}{2} = \frac{3\sqrt{3}}{10} + \frac{4}{10} = \frac{4 + 3\sqrt{3}}{10}$

Ответ: $\frac{4 + 3\sqrt{3}}{10}$


б) Для вычисления значения выражения $sin(\frac{\pi}{3} - \alpha)$ воспользуемся формулой разности для синуса:

$sin(x - y) = sin(x) \cdot cos(y) - cos(x) \cdot sin(y)$

Подставим $x = \frac{\pi}{3}$ и $y = \alpha$:

$sin(\frac{\pi}{3} - \alpha) = sin\frac{\pi}{3} \cdot cos\alpha - cos\frac{\pi}{3} \cdot sin\alpha$

По условию, $sin\alpha = \frac{8}{17}$. Нам нужно найти $cos\alpha$. Воспользуемся основным тригонометрическим тождеством: $sin^2\alpha + cos^2\alpha = 1$.

$cos^2\alpha = 1 - sin^2\alpha = 1 - (\frac{8}{17})^2 = 1 - \frac{64}{289} = \frac{289 - 64}{289} = \frac{225}{289}$

$cos\alpha = \pm\sqrt{\frac{225}{289}} = \pm\frac{15}{17}$

Угол $\alpha$ принадлежит промежутку $\frac{\pi}{2} < \alpha < \pi$, что соответствует II координатной четверти. В этой четверти косинус имеет отрицательное значение, следовательно, $cos\alpha = -\frac{15}{17}$.

Значения тригонометрических функций для угла $\frac{\pi}{3}$ известны:

$sin\frac{\pi}{3} = \frac{\sqrt{3}}{2}$, $cos\frac{\pi}{3} = \frac{1}{2}$

Теперь подставим все известные значения в исходную формулу:

$sin(\frac{\pi}{3} - \alpha) = \frac{\sqrt{3}}{2} \cdot (-\frac{15}{17}) - \frac{1}{2} \cdot \frac{8}{17} = -\frac{15\sqrt{3}}{34} - \frac{8}{34} = \frac{-15\sqrt{3} - 8}{34} = -\frac{15\sqrt{3} + 8}{34}$

Ответ: $-\frac{8 + 15\sqrt{3}}{34}$

Помогло решение? Оставьте отзыв в комментариях ниже.

Присоединяйтесь к Телеграм-группе @gdz_by_belarus

Присоединиться

Мы подготовили для вас ответ c подробным объяснением домашего задания по алгебре за 10 класс, для упражнения номер 1.441 расположенного на странице 139 к учебнику 2019 года издания для учащихся школ и гимназий.

Теперь на нашем сайте ГДЗ.ТОП вы всегда легко и бесплатно найдёте условие с правильным ответом на вопрос «Как решить ДЗ» и «Как сделать» задание по алгебре к упражнению №1.441 (с. 139), авторов: Арефьева (Ирина Глебовна), Пирютко (Ольга Николаевна), учебного пособия издательства Народная асвета.