Номер 1.427, страница 138 - гдз по алгебре 10 класс учебник Арефьева, Пирютко

Алгебра, 10 класс Учебник, авторы: Арефьева Ирина Глебовна, Пирютко Ольга Николаевна, издательство Народная асвета, Минск, 2019, голубого цвета

Авторы: Арефьева И. Г., Пирютко О. Н.

Тип: Учебник

Издательство: Народная асвета

Год издания: 2019 - 2026

Цвет обложки: голубой с графиком

Допущено Министерством образования Республики Беларусь

Популярные ГДЗ в 10 классе

Глава 1. Тригонометрия. Параграф 10. Синус, косинус, тангенс суммы и разности - номер 1.427, страница 138.

№1.427 (с. 138)
Условие. №1.427 (с. 138)
скриншот условия
Алгебра, 10 класс Учебник, авторы: Арефьева Ирина Глебовна, Пирютко Ольга Николаевна, издательство Народная асвета, Минск, 2019, голубого цвета, страница 138, номер 1.427, Условие

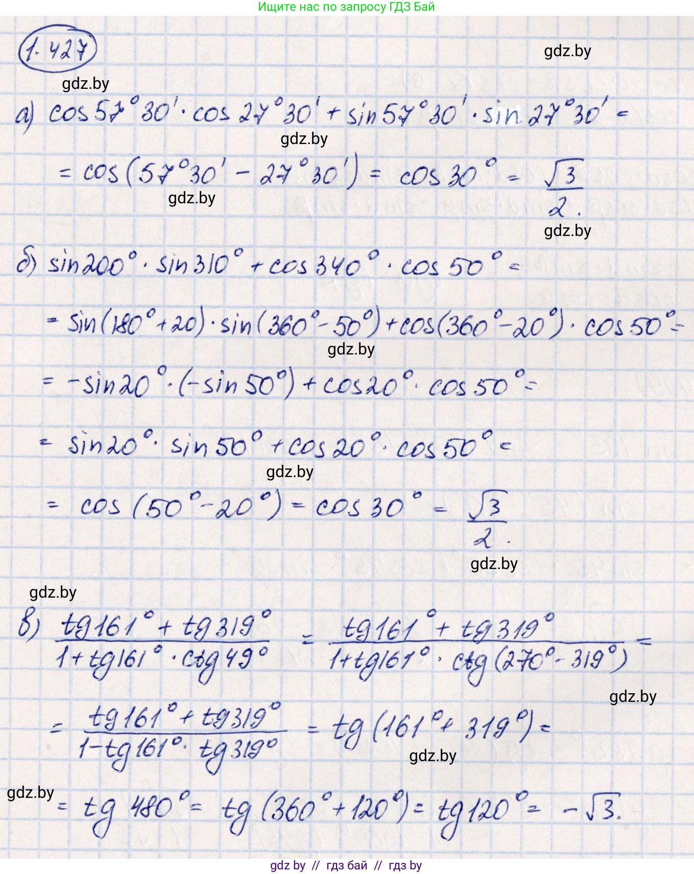
1.427. Вычислите:

а) $ \cos 57^\circ 30^\prime \cos 27^\circ 30^\prime + \sin 57^\circ 30^\prime \sin 27^\circ 30^\prime; $

б) $ \sin 200^\circ \sin 310^\circ + \cos 340^\circ \cos 50^\circ; $

В) $ \frac{\operatorname{tg} 161^\circ + \operatorname{tg} 319^\circ}{1 + \operatorname{tg} 161^\circ \operatorname{ctg} 49^\circ}. $

Решение. №1.427 (с. 138)
Алгебра, 10 класс Учебник, авторы: Арефьева Ирина Глебовна, Пирютко Ольга Николаевна, издательство Народная асвета, Минск, 2019, голубого цвета, страница 138, номер 1.427, Решение
Решение 2. №1.427 (с. 138)

а) Для вычисления данного выражения воспользуемся формулой косинуса разности двух углов: $ \cos(\alpha - \beta) = \cos\alpha\cos\beta + \sin\alpha\sin\beta $.

В нашем случае, $\alpha = 57^\circ30'$ и $\beta = 27^\circ30'$.

Таким образом, выражение можно записать как:

$ \cos(57^\circ30' - 27^\circ30') = \cos(30^\circ) $

Значение косинуса 30 градусов является табличным:

$ \cos(30^\circ) = \frac{\sqrt{3}}{2} $

Ответ: $ \frac{\sqrt{3}}{2} $.

б) Преобразуем выражение, используя формулы приведения и свойства тригонометрических функций, чтобы привести его к виду формулы косинуса разности.

Сначала приведем аргументы тригонометрических функций к углам в первой четверти:

  • $ \sin(200^\circ) = \sin(180^\circ + 20^\circ) = -\sin(20^\circ) $
  • $ \sin(310^\circ) = \sin(360^\circ - 50^\circ) = -\sin(50^\circ) $
  • $ \cos(340^\circ) = \cos(360^\circ - 20^\circ) = \cos(20^\circ) $

Подставим эти значения обратно в исходное выражение:

$ \sin(200^\circ)\sin(310^\circ) + \cos(340^\circ)\cos(50^\circ) = (-\sin(20^\circ))(-\sin(50^\circ)) + \cos(20^\circ)\cos(50^\circ) $

Упростим выражение, поменяв слагаемые местами для наглядности:

$ \cos(20^\circ)\cos(50^\circ) + \sin(20^\circ)\sin(50^\circ) $

Это выражение соответствует формуле косинуса разности $ \cos(\alpha - \beta) $. Пусть $\alpha = 50^\circ$ и $\beta = 20^\circ$.

$ \cos(50^\circ - 20^\circ) = \cos(30^\circ) $

Значение косинуса 30 градусов:

$ \cos(30^\circ) = \frac{\sqrt{3}}{2} $

Ответ: $ \frac{\sqrt{3}}{2} $.

в) Для решения этого примера воспользуемся формулой тангенса суммы $ \text{tg}(\alpha + \beta) = \frac{\text{tg}\alpha + \text{tg}\beta}{1 - \text{tg}\alpha\text{tg}\beta} $ и формулами приведения.

Преобразуем тригонометрические функции в выражении:

  • $ \text{tg}(161^\circ) = \text{tg}(180^\circ - 19^\circ) = -\text{tg}(19^\circ) $
  • $ \text{tg}(319^\circ) = \text{tg}(360^\circ - 41^\circ) = -\text{tg}(41^\circ) $
  • $ \text{ctg}(49^\circ) = \text{ctg}(90^\circ - 41^\circ) = \text{tg}(41^\circ) $

Подставим преобразованные значения в исходную дробь:

$ \frac{\text{tg}161^\circ + \text{tg}319^\circ}{1 + \text{tg}161^\circ\text{ctg}49^\circ} = \frac{-\text{tg}(19^\circ) - \text{tg}(41^\circ)}{1 + (-\text{tg}(19^\circ))(\text{tg}(41^\circ))} $

Упростим полученное выражение:

$ \frac{-(\text{tg}19^\circ + \text{tg}41^\circ)}{1 - \text{tg}19^\circ\text{tg}41^\circ} = - \left( \frac{\text{tg}19^\circ + \text{tg}41^\circ}{1 - \text{tg}19^\circ\text{tg}41^\circ} \right) $

Выражение в скобках является формулой тангенса суммы для углов $19^\circ$ и $41^\circ$.

$ - \text{tg}(19^\circ + 41^\circ) = - \text{tg}(60^\circ) $

Значение тангенса 60 градусов является табличным:

$ - \text{tg}(60^\circ) = -\sqrt{3} $

Ответ: $ -\sqrt{3} $.

Помогло решение? Оставьте отзыв в комментариях ниже.

Присоединяйтесь к Телеграм-группе @gdz_by_belarus

Присоединиться

Мы подготовили для вас ответ c подробным объяснением домашего задания по алгебре за 10 класс, для упражнения номер 1.427 расположенного на странице 138 к учебнику 2019 года издания для учащихся школ и гимназий.

Теперь на нашем сайте ГДЗ.ТОП вы всегда легко и бесплатно найдёте условие с правильным ответом на вопрос «Как решить ДЗ» и «Как сделать» задание по алгебре к упражнению №1.427 (с. 138), авторов: Арефьева (Ирина Глебовна), Пирютко (Ольга Николаевна), учебного пособия издательства Народная асвета.