Номер 1.413, страница 136 - гдз по алгебре 10 класс учебник Арефьева, Пирютко

Алгебра, 10 класс Учебник, авторы: Арефьева Ирина Глебовна, Пирютко Ольга Николаевна, издательство Народная асвета, Минск, 2019, голубого цвета

Авторы: Арефьева И. Г., Пирютко О. Н.

Тип: Учебник

Издательство: Народная асвета

Год издания: 2019 - 2026

Цвет обложки: голубой с графиком

Допущено Министерством образования Республики Беларусь

Популярные ГДЗ в 10 классе

Глава 1. Тригонометрия. Параграф 10. Синус, косинус, тангенс суммы и разности - номер 1.413, страница 136.

№1.413 (с. 136)
Условие. №1.413 (с. 136)
скриншот условия
Алгебра, 10 класс Учебник, авторы: Арефьева Ирина Глебовна, Пирютко Ольга Николаевна, издательство Народная асвета, Минск, 2019, голубого цвета, страница 136, номер 1.413, Условие

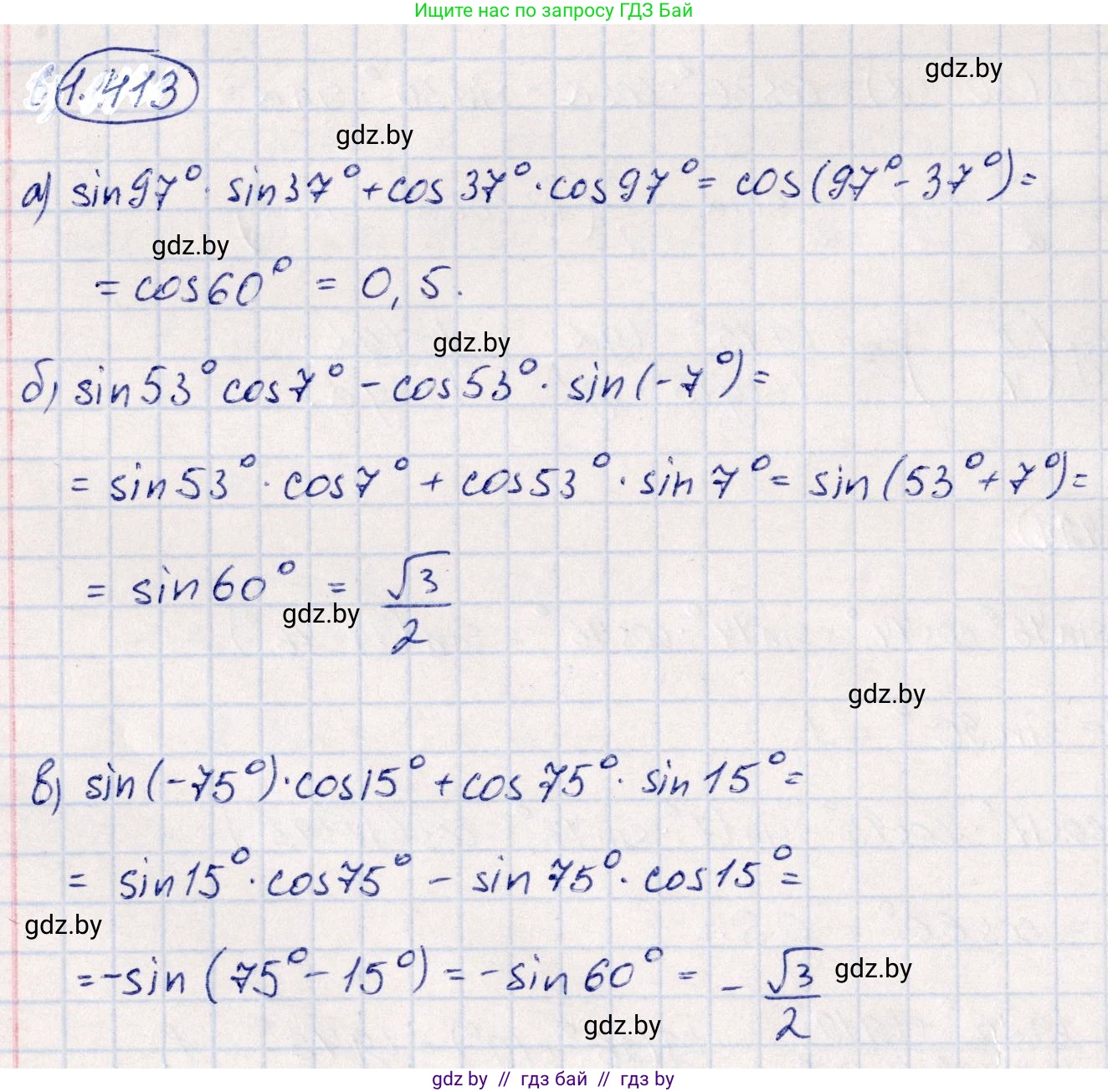
1.413. Вычислите значение выражения, приведя его к синусу (косинусу) суммы (разности);

а) $\sin 97^\circ \sin 37^\circ + \cos 37^\circ \cos 97^\circ$;

б) $\sin 53^\circ \cos 7^\circ - \cos 53^\circ \sin (-7^\circ)$;

в) $\sin (-75^\circ) \cos 15^\circ + \cos 75^\circ \sin 15^\circ$.

Решение. №1.413 (с. 136)
Алгебра, 10 класс Учебник, авторы: Арефьева Ирина Глебовна, Пирютко Ольга Николаевна, издательство Народная асвета, Минск, 2019, голубого цвета, страница 136, номер 1.413, Решение
Решение 2. №1.413 (с. 136)

а) Для вычисления значения выражения $\sin 97^\circ \sin 37^\circ + \cos 37^\circ \cos 97^\circ$ воспользуемся формулой косинуса разности двух углов:
$\cos(\alpha - \beta) = \cos \alpha \cos \beta + \sin \alpha \sin \beta$.
Перепишем исходное выражение, поменяв слагаемые местами, чтобы оно соответствовало формуле:
$\cos 97^\circ \cos 37^\circ + \sin 97^\circ \sin 37^\circ = \cos(97^\circ - 37^\circ)$.
Выполним вычитание в аргументе косинуса:
$\cos(97^\circ - 37^\circ) = \cos(60^\circ)$.
Значение косинуса 60 градусов является табличным:
$\cos(60^\circ) = \frac{1}{2}$.
Ответ: $\frac{1}{2}$.

б) Для вычисления значения выражения $\sin 53^\circ \cos 7^\circ - \cos 53^\circ \sin(-7^\circ)$ учтем, что синус является нечетной функцией, то есть $\sin(-x) = -\sin(x)$.
Таким образом, $\sin(-7^\circ) = -\sin(7^\circ)$. Подставим это в выражение:
$\sin 53^\circ \cos 7^\circ - \cos 53^\circ (-\sin 7^\circ) = \sin 53^\circ \cos 7^\circ + \cos 53^\circ \sin 7^\circ$.
Полученное выражение соответствует формуле синуса суммы двух углов:
$\sin(\alpha + \beta) = \sin \alpha \cos \beta + \cos \alpha \sin \beta$.
Применим эту формулу, где $\alpha = 53^\circ$ и $\beta = 7^\circ$:
$\sin 53^\circ \cos 7^\circ + \cos 53^\circ \sin 7^\circ = \sin(53^\circ + 7^\circ)$.
Выполним сложение в аргументе синуса:
$\sin(53^\circ + 7^\circ) = \sin(60^\circ)$.
Значение синуса 60 градусов является табличным:
$\sin(60^\circ) = \frac{\sqrt{3}}{2}$.
Ответ: $\frac{\sqrt{3}}{2}$.

в) Для вычисления значения выражения $\sin(-75^\circ) \cos 15^\circ + \cos 75^\circ \sin 15^\circ$ воспользуемся свойством четности функции косинус, $\cos(x) = \cos(-x)$, и свойством нечетности функции синус, $\sin(-x) = -\sin(x)$.
Используем тот факт, что косинус является четной функцией: $\cos(75^\circ) = \cos(-75^\circ)$.
Подставим это в исходное выражение:
$\sin(-75^\circ) \cos 15^\circ + \cos(-75^\circ) \sin 15^\circ$.
Это выражение соответствует формуле синуса суммы двух углов:
$\sin(\alpha + \beta) = \sin \alpha \cos \beta + \cos \alpha \sin \beta$.
В нашем случае $\alpha = -75^\circ$ и $\beta = 15^\circ$:
$\sin(-75^\circ + 15^\circ) = \sin(-60^\circ)$.
Используя нечетность синуса, получаем:
$\sin(-60^\circ) = -\sin(60^\circ) = -\frac{\sqrt{3}}{2}$.
Ответ: $-\frac{\sqrt{3}}{2}$.

Помогло решение? Оставьте отзыв в комментариях ниже.

Присоединяйтесь к Телеграм-группе @gdz_by_belarus

Присоединиться

Мы подготовили для вас ответ c подробным объяснением домашего задания по алгебре за 10 класс, для упражнения номер 1.413 расположенного на странице 136 к учебнику 2019 года издания для учащихся школ и гимназий.

Теперь на нашем сайте ГДЗ.ТОП вы всегда легко и бесплатно найдёте условие с правильным ответом на вопрос «Как решить ДЗ» и «Как сделать» задание по алгебре к упражнению №1.413 (с. 136), авторов: Арефьева (Ирина Глебовна), Пирютко (Ольга Николаевна), учебного пособия издательства Народная асвета.