Номер 1.375, страница 125 - гдз по алгебре 10 класс учебник Арефьева, Пирютко

Алгебра, 10 класс Учебник, авторы: Арефьева Ирина Глебовна, Пирютко Ольга Николаевна, издательство Народная асвета, Минск, 2019, голубого цвета

Авторы: Арефьева И. Г., Пирютко О. Н.

Тип: Учебник

Издательство: Народная асвета

Год издания: 2019 - 2026

Цвет обложки: голубой с графиком

Допущено Министерством образования Республики Беларусь

Популярные ГДЗ в 10 классе

Глава 1. Тригонометрия. Параграф 9. Формулы приведения - номер 1.375, страница 125.

№1.375 (с. 125)
Условие. №1.375 (с. 125)
скриншот условия
Алгебра, 10 класс Учебник, авторы: Арефьева Ирина Глебовна, Пирютко Ольга Николаевна, издательство Народная асвета, Минск, 2019, голубого цвета, страница 125, номер 1.375, Условие

1.375. Используйте формулы приведения и решите уравнение:

а) $tg(\pi + x) = 1$;

б) $cos(\frac{\pi}{2} + x) = \frac{\sqrt{3}}{2}$;

в) $2sin(x - \frac{\pi}{2}) - \sqrt{2} = 0$;

г) $3ctg(2x - \frac{3\pi}{2}) + \sqrt{3} = 0$.

Решение. №1.375 (с. 125)
Алгебра, 10 класс Учебник, авторы: Арефьева Ирина Глебовна, Пирютко Ольга Николаевна, издательство Народная асвета, Минск, 2019, голубого цвета, страница 125, номер 1.375, Решение Алгебра, 10 класс Учебник, авторы: Арефьева Ирина Глебовна, Пирютко Ольга Николаевна, издательство Народная асвета, Минск, 2019, голубого цвета, страница 125, номер 1.375, Решение (продолжение 2)
Решение 2. №1.375 (с. 125)
а) $tg(\pi + x) = 1$

Используем формулу приведения $tg(\pi + \alpha) = tg(\alpha)$. Уравнение принимает вид:

$tg(x) = 1$

Решением этого простейшего тригонометрического уравнения является серия корней:

$x = arctg(1) + \pi n$, где $n \in \mathbb{Z}$

Так как $arctg(1) = \frac{\pi}{4}$, получаем:

Ответ: $x = \frac{\pi}{4} + \pi n, n \in \mathbb{Z}$

б) $cos(\frac{\pi}{2} + x) = \frac{\sqrt{3}}{2}$

Используем формулу приведения $cos(\frac{\pi}{2} + \alpha) = -sin(\alpha)$. Уравнение принимает вид:

$-sin(x) = \frac{\sqrt{3}}{2}$

$sin(x) = -\frac{\sqrt{3}}{2}$

Общее решение этого уравнения имеет вид:

$x = (-1)^{k} arcsin(-\frac{\sqrt{3}}{2}) + \pi k$, где $k \in \mathbb{Z}$

Так как $arcsin(-\frac{\sqrt{3}}{2}) = -\frac{\pi}{3}$, подставляем и получаем:

$x = (-1)^{k} (-\frac{\pi}{3}) + \pi k = (-1)^{k+1} \frac{\pi}{3} + \pi k$

Ответ: $x = (-1)^{k+1} \frac{\pi}{3} + \pi k, k \in \mathbb{Z}$

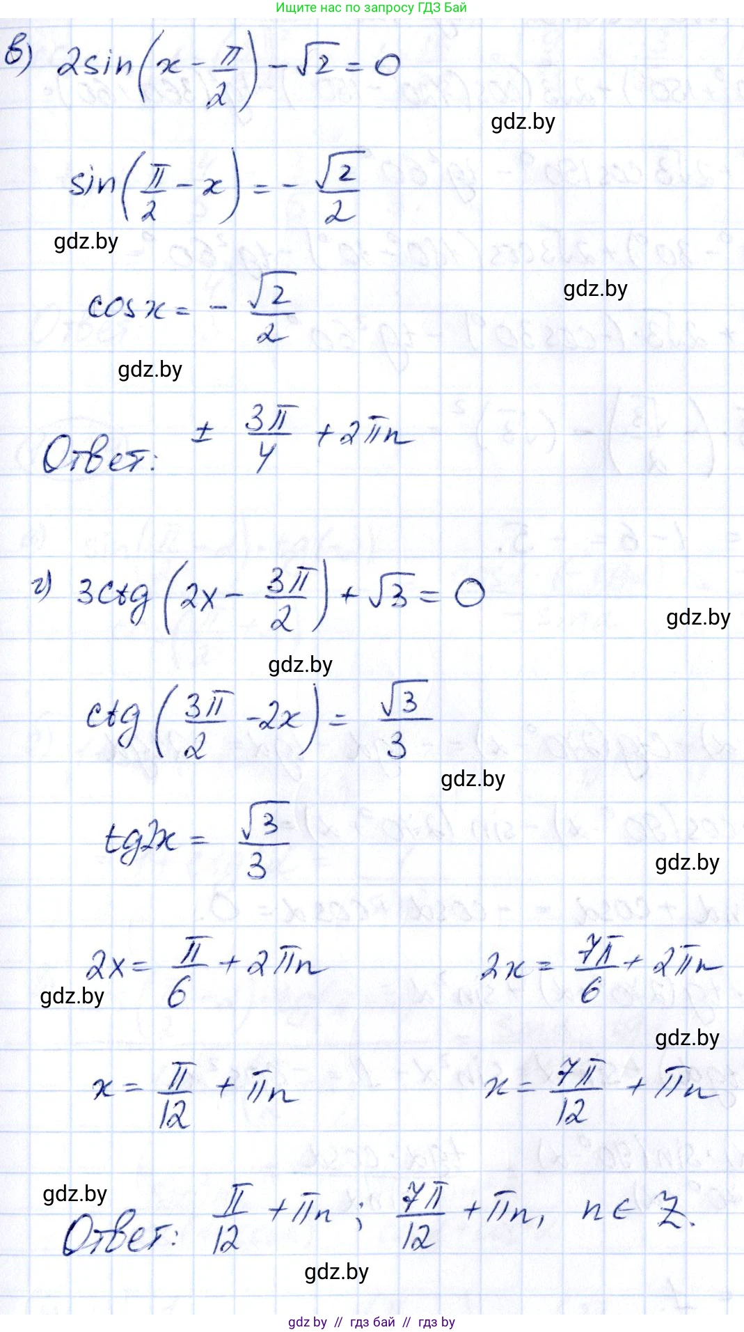
в) $2sin(x - \frac{\pi}{2}) - \sqrt{2} = 0$

Сначала преобразуем уравнение:

$2sin(x - \frac{\pi}{2}) = \sqrt{2}$

$sin(x - \frac{\pi}{2}) = \frac{\sqrt{2}}{2}$

Для применения формулы приведения воспользуемся нечетностью синуса: $sin(x - \frac{\pi}{2}) = -sin(\frac{\pi}{2} - x)$. Далее, по формуле приведения $sin(\frac{\pi}{2} - \alpha) = cos(\alpha)$, получаем, что левая часть равна $-cos(x)$. Уравнение принимает вид:

$-cos(x) = \frac{\sqrt{2}}{2}$

$cos(x) = -\frac{\sqrt{2}}{2}$

Общее решение для косинуса:

$x = \pm arccos(-\frac{\sqrt{2}}{2}) + 2\pi n$, где $n \in \mathbb{Z}$

Так как $arccos(-\frac{\sqrt{2}}{2}) = \frac{3\pi}{4}$, получаем:

Ответ: $x = \pm \frac{3\pi}{4} + 2\pi n, n \in \mathbb{Z}$

г) $3ctg(2x - \frac{3\pi}{2}) + \sqrt{3} = 0$

Преобразуем исходное уравнение:

$3ctg(2x - \frac{3\pi}{2}) = -\sqrt{3}$

$ctg(2x - \frac{3\pi}{2}) = -\frac{\sqrt{3}}{3}$

Для применения формулы приведения воспользуемся нечетностью котангенса: $ctg(2x - \frac{3\pi}{2}) = -ctg(\frac{3\pi}{2} - 2x)$. Далее, по формуле приведения $ctg(\frac{3\pi}{2} - \alpha) = tg(\alpha)$, получаем, что левая часть равна $-tg(2x)$. Уравнение принимает вид:

$-tg(2x) = -\frac{\sqrt{3}}{3}$

$tg(2x) = \frac{\sqrt{3}}{3}$

Находим аргумент $2x$:

$2x = arctg(\frac{\sqrt{3}}{3}) + \pi n$, где $n \in \mathbb{Z}$

$2x = \frac{\pi}{6} + \pi n$

Находим $x$, разделив обе части на 2:

Ответ: $x = \frac{\pi}{12} + \frac{\pi n}{2}, n \in \mathbb{Z}$

Помогло решение? Оставьте отзыв в комментариях ниже.

Присоединяйтесь к Телеграм-группе @gdz_by_belarus

Присоединиться

Мы подготовили для вас ответ c подробным объяснением домашего задания по алгебре за 10 класс, для упражнения номер 1.375 расположенного на странице 125 к учебнику 2019 года издания для учащихся школ и гимназий.

Теперь на нашем сайте ГДЗ.ТОП вы всегда легко и бесплатно найдёте условие с правильным ответом на вопрос «Как решить ДЗ» и «Как сделать» задание по алгебре к упражнению №1.375 (с. 125), авторов: Арефьева (Ирина Глебовна), Пирютко (Ольга Николаевна), учебного пособия издательства Народная асвета.