Номер 1.324, страница 98 - гдз по алгебре 10 класс учебник Арефьева, Пирютко

Алгебра, 10 класс Учебник, авторы: Арефьева Ирина Глебовна, Пирютко Ольга Николаевна, издательство Народная асвета, Минск, 2019, голубого цвета

Авторы: Арефьева И. Г., Пирютко О. Н.

Тип: Учебник

Издательство: Народная асвета

Год издания: 2019 - 2026

Цвет обложки: голубой с графиком

Допущено Министерством образования Республики Беларусь

Популярные ГДЗ в 10 классе

Глава 1. Тригонометрия. Параграф 7. Арксинус, арккосинус, арктангенс и арккотангенс числа - номер 1.324, страница 98.

№1.324 (с. 98)
Условие. №1.324 (с. 98)
скриншот условия
Алгебра, 10 класс Учебник, авторы: Арефьева Ирина Глебовна, Пирютко Ольга Николаевна, издательство Народная асвета, Минск, 2019, голубого цвета, страница 98, номер 1.324, Условие

1.324. Найдите значение выражения:

a) $\operatorname{arctg}(-1) - \operatorname{arcctg}(-1)$;

б) $\arccos 0 - \arcsin 0$;

В) $\operatorname{arctg}(-\sqrt{3}) + 2\operatorname{arcctg}\sqrt{3}$;

Г) $2\arccos\frac{\sqrt{2}}{2} - 3\arcsin\left(-\frac{\sqrt{3}}{2}\right)$.

Решение. №1.324 (с. 98)
Алгебра, 10 класс Учебник, авторы: Арефьева Ирина Глебовна, Пирютко Ольга Николаевна, издательство Народная асвета, Минск, 2019, голубого цвета, страница 98, номер 1.324, Решение
Решение 2. №1.324 (с. 98)

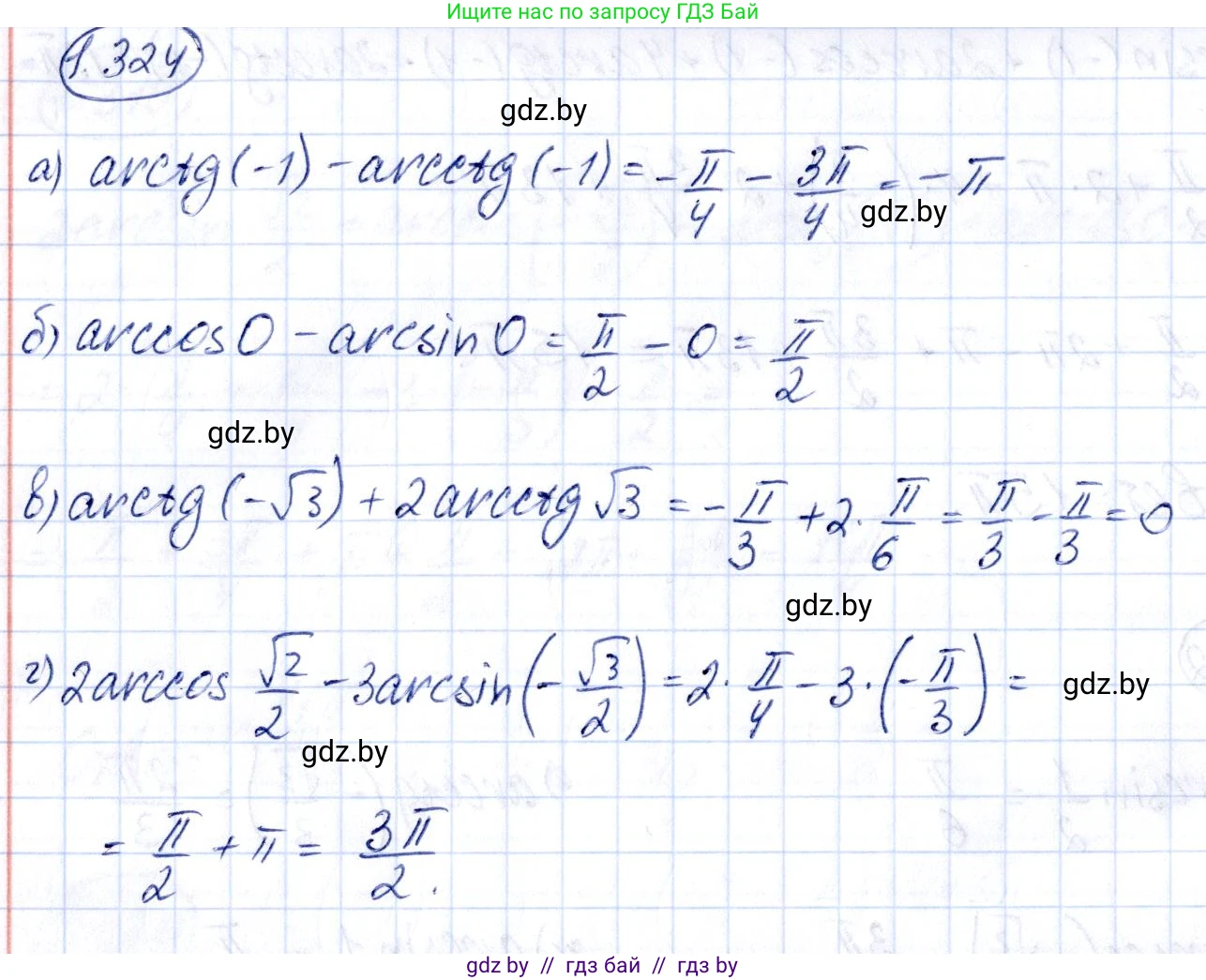
а) arctg(-1) – arcctg(-1)

По определению обратных тригонометрических функций:

Арктангенс `arctg(-1)` — это угол `\alpha` из интервала `(-\frac{\pi}{2}; \frac{\pi}{2})`, тангенс которого равен -1. Этим углом является `-\frac{\pi}{4}`.
Итак, $arctg(-1) = -\frac{\pi}{4}$.

Арккотангенс `arcctg(-1)` — это угол `\beta` из интервала `(0; \pi)`, котангенс которого равен -1. Этим углом является `\frac{3\pi}{4}`.
Можно также использовать формулу `arcctg(-x) = \pi - arcctg(x)`.
$arcctg(-1) = \pi - arcctg(1) = \pi - \frac{\pi}{4} = \frac{3\pi}{4}$.

Теперь найдем значение выражения:

$arctg(-1) - arcctg(-1) = -\frac{\pi}{4} - \frac{3\pi}{4} = -\frac{4\pi}{4} = -\pi$.

Ответ: $-\pi$.

б) arccos(0) – arcsin(0)

По определению обратных тригонометрических функций:

Арккосинус `arccos(0)` — это угол `\alpha` из отрезка `[0; \pi]`, косинус которого равен 0. Этим углом является `\frac{\pi}{2}`.
Итак, $arccos(0) = \frac{\pi}{2}$.

Арксинус `arcsin(0)` — это угол `\beta` из отрезка `[-\frac{\pi}{2}; \frac{\pi}{2}]`, синус которого равен 0. Этим углом является 0.
Итак, $arcsin(0) = 0$.

Теперь найдем значение выражения:

$arccos(0) - arcsin(0) = \frac{\pi}{2} - 0 = \frac{\pi}{2}$.

Ответ: $\frac{\pi}{2}$.

в) arctg(-√3) + 2arcctg(√3)

По определению обратных тригонометрических функций:

$arctg(-\sqrt{3}) = -\frac{\pi}{3}$, так как `tg(-\frac{\pi}{3}) = -\sqrt{3}` и `-\frac{\pi}{3} \in (-\frac{\pi}{2}; \frac{\pi}{2})`.

$arcctg(\sqrt{3}) = \frac{\pi}{6}$, так как `ctg(\frac{\pi}{6}) = \sqrt{3}` и `\frac{\pi}{6} \in (0; \pi)`.

Подставим значения в выражение:

$-\frac{\pi}{3} + 2 \cdot \frac{\pi}{6} = -\frac{\pi}{3} + \frac{2\pi}{6} = -\frac{\pi}{3} + \frac{\pi}{3} = 0$.

Ответ: 0.

г) 2arccos(√2/2) – 3arcsin(-√3/2)

По определению обратных тригонометрических функций:

$arccos(\frac{\sqrt{2}}{2}) = \frac{\pi}{4}$, так как `cos(\frac{\pi}{4}) = \frac{\sqrt{2}}{2}` и `\frac{\pi}{4} \in [0; \pi]`.

$arcsin(-\frac{\sqrt{3}}{2}) = -\frac{\pi}{3}$, так как `sin(-\frac{\pi}{3}) = -\frac{\sqrt{3}}{2}` и `-\frac{\pi}{3} \in [-\frac{\pi}{2}; \frac{\pi}{2}]`.

Подставим значения в выражение:

$2 \cdot arccos(\frac{\sqrt{2}}{2}) - 3 \cdot arcsin(-\frac{\sqrt{3}}{2}) = 2 \cdot \frac{\pi}{4} - 3 \cdot (-\frac{\pi}{3}) = \frac{2\pi}{4} + \frac{3\pi}{3} = \frac{\pi}{2} + \pi = \frac{\pi}{2} + \frac{2\pi}{2} = \frac{3\pi}{2}$.

Представим неправильную дробь `\frac{3}{2}` в виде смешанного числа: `\frac{3}{2} = 1\frac{1}{2}`. Таким образом, целая часть равна 1.

Ответ: $1\frac{1}{2}\pi$.

Помогло решение? Оставьте отзыв в комментариях ниже.

Присоединяйтесь к Телеграм-группе @gdz_by_belarus

Присоединиться

Мы подготовили для вас ответ c подробным объяснением домашего задания по алгебре за 10 класс, для упражнения номер 1.324 расположенного на странице 98 к учебнику 2019 года издания для учащихся школ и гимназий.

Теперь на нашем сайте ГДЗ.ТОП вы всегда легко и бесплатно найдёте условие с правильным ответом на вопрос «Как решить ДЗ» и «Как сделать» задание по алгебре к упражнению №1.324 (с. 98), авторов: Арефьева (Ирина Глебовна), Пирютко (Ольга Николаевна), учебного пособия издательства Народная асвета.