Номер 1.306, страница 86 - гдз по алгебре 10 класс учебник Арефьева, Пирютко

Алгебра, 10 класс Учебник, авторы: Арефьева Ирина Глебовна, Пирютко Ольга Николаевна, издательство Народная асвета, Минск, 2019, голубого цвета

Авторы: Арефьева И. Г., Пирютко О. Н.

Тип: Учебник

Издательство: Народная асвета

Год издания: 2019 - 2026

Цвет обложки: голубой с графиком

Допущено Министерством образования Республики Беларусь

Популярные ГДЗ в 10 классе

Глава 1. Тригонометрия. Параграф 6. Функции y=tg(x) и y=ctg(x). Их свойства и графики - номер 1.306, страница 86.

№1.306 (с. 86)
Условие. №1.306 (с. 86)
скриншот условия
Алгебра, 10 класс Учебник, авторы: Арефьева Ирина Глебовна, Пирютко Ольга Николаевна, издательство Народная асвета, Минск, 2019, голубого цвета, страница 86, номер 1.306, Условие

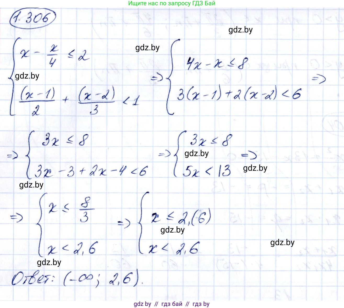
1.306. Решите систему неравенств $ \begin{cases} x - \frac{x}{4} \le 2, \\ \frac{x-1}{2} + \frac{x-2}{3} < 1. \end{cases} $

Решение. №1.306 (с. 86)
Алгебра, 10 класс Учебник, авторы: Арефьева Ирина Глебовна, Пирютко Ольга Николаевна, издательство Народная асвета, Минск, 2019, голубого цвета, страница 86, номер 1.306, Решение
Решение 2. №1.306 (с. 86)

Для решения системы необходимо решить каждое неравенство по отдельности, а затем найти пересечение их решений.

1. Решим первое неравенство системы: $x - \frac{x}{4} \le 2$

Приведем левую часть к общему знаменателю 4:

$\frac{4x}{4} - \frac{x}{4} \le 2$

$\frac{4x - x}{4} \le 2$

$\frac{3x}{4} \le 2$

Умножим обе части неравенства на 4, чтобы избавиться от знаменателя (знак неравенства не меняется, так как 4 > 0):

$3x \le 8$

Разделим обе части на 3 (знак неравенства не меняется, так как 3 > 0):

$x \le \frac{8}{3}$

Ответ: $x \le \mathbf{2}\frac{2}{3}$.

2. Решим второе неравенство системы: $\frac{x-1}{2} + \frac{x-2}{3} < 1$

Найдем наименьший общий знаменатель для дробей в левой части, он равен 6. Умножим обе части неравенства на 6:

$6 \cdot \frac{x-1}{2} + 6 \cdot \frac{x-2}{3} < 6 \cdot 1$

Сократим дроби:

$3(x-1) + 2(x-2) < 6$

Раскроем скобки:

$3x - 3 + 2x - 4 < 6$

Приведем подобные слагаемые в левой части:

$5x - 7 < 6$

Перенесем -7 в правую часть, изменив знак на противоположный:

$5x < 6 + 7$

$5x < 13$

Разделим обе части на 5:

$x < \frac{13}{5}$

Ответ: $x < \mathbf{2}\frac{3}{5}$.

3. Найдем пересечение решений и запишем итоговый ответ.

Мы получили два условия для $x$, которые должны выполняться одновременно:

$x \le 2\frac{2}{3}$ и $x < 2\frac{3}{5}$.

Чтобы найти общее решение, нужно сравнить числа $2\frac{2}{3}$ и $2\frac{3}{5}$. Для этого приведем их дробные части к общему знаменателю 15:

$2\frac{2}{3} = 2\frac{2 \cdot 5}{3 \cdot 5} = 2\frac{10}{15}$

$2\frac{3}{5} = 2\frac{3 \cdot 3}{5 \cdot 3} = 2\frac{9}{15}$

Так как $2\frac{9}{15} < 2\frac{10}{15}$, то второе неравенство ($x < 2\frac{3}{5}$) является более строгим. Решением системы будет пересечение этих двух множеств, то есть интервал $(-\infty; 2\frac{3}{5})$, который удовлетворяет обоим условиям.

Ответ: $x \in (-\infty; \mathbf{2}\frac{3}{5})$.

Помогло решение? Оставьте отзыв в комментариях ниже.

Присоединяйтесь к Телеграм-группе @gdz_by_belarus

Присоединиться

Мы подготовили для вас ответ c подробным объяснением домашего задания по алгебре за 10 класс, для упражнения номер 1.306 расположенного на странице 86 к учебнику 2019 года издания для учащихся школ и гимназий.

Теперь на нашем сайте ГДЗ.ТОП вы всегда легко и бесплатно найдёте условие с правильным ответом на вопрос «Как решить ДЗ» и «Как сделать» задание по алгебре к упражнению №1.306 (с. 86), авторов: Арефьева (Ирина Глебовна), Пирютко (Ольга Николаевна), учебного пособия издательства Народная асвета.