Номер 1.282, страница 85 - гдз по алгебре 10 класс учебник Арефьева, Пирютко
Авторы: Арефьева И. Г., Пирютко О. Н.
Тип: Учебник
Издательство: Народная асвета
Год издания: 2019 - 2026
Цвет обложки: голубой с графиком
Допущено Министерством образования Республики Беларусь
Популярные ГДЗ в 10 классе
Глава 1. Тригонометрия. Параграф 6. Функции y=tg(x) и y=ctg(x). Их свойства и графики - номер 1.282, страница 85.
№1.282 (с. 85)
Условие. №1.282 (с. 85)
скриншот условия
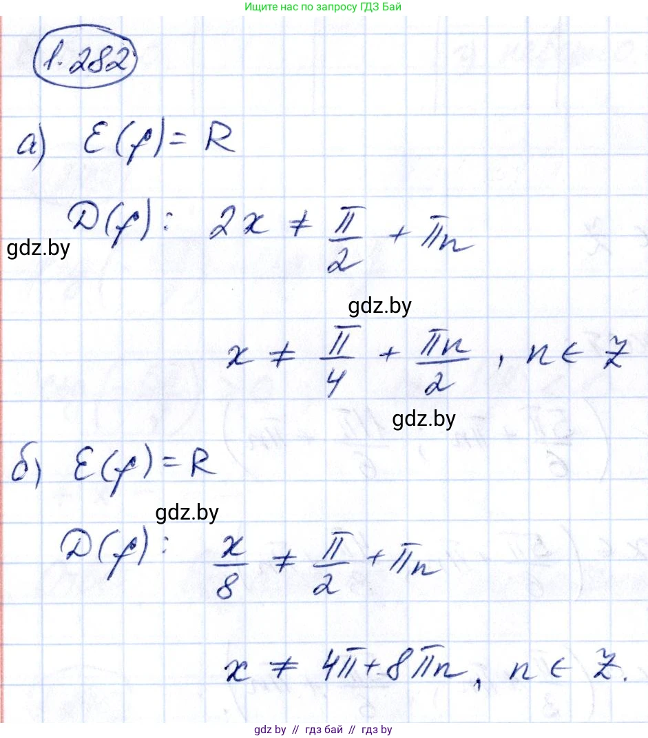
1.282. Найдите область определения и множество значений функции:
a) $y = \text{tg}2x$;
б) $y = \text{tg}\frac{x}{8}$.
Решение. №1.282 (с. 85)
Решение 2. №1.282 (с. 85)
а) $y = \tg(2x)$
1. Область определения ($D(y)$)
Функция тангенса $y = \tg(\alpha)$ определена для всех значений своего аргумента $\alpha$, за исключением тех, в которых косинус равен нулю. Это происходит, когда $\alpha = \frac{\pi}{2} + \pi k$, где $k$ — любое целое число ($k \in \mathbb{Z}$).
Для функции $y = \tg(2x)$ аргументом является $\alpha = 2x$. Следовательно, область определения находится из условия:
$2x \neq \frac{\pi}{2} + \pi k, \quad k \in \mathbb{Z}$
Чтобы найти $x$, разделим обе части неравенства на 2:
$x \neq \frac{1}{2} \cdot \left(\frac{\pi}{2} + \pi k\right)$
$x \neq \frac{\pi}{4} + \frac{\pi k}{2}, \quad k \in \mathbb{Z}$
Таким образом, функция определена для всех действительных чисел $x$, кроме точек вида $\frac{\pi}{4} + \frac{\pi k}{2}$.
2. Множество значений ($E(y)$)
Множеством значений стандартной функции тангенса $y = \tg(x)$ является множество всех действительных чисел, то есть $(-\infty; +\infty)$. Преобразование аргумента (умножение на 2) приводит к сжатию графика функции вдоль оси абсцисс, изменяя её период, но не влияет на множество значений, которые она может принимать.
Следовательно, множество значений функции $y = \tg(2x)$ также совпадает с множеством всех действительных чисел.
Ответ: Область определения: $x \neq \frac{\pi}{4} + \frac{\pi k}{2}, k \in \mathbb{Z}$. Множество значений: $y \in (-\infty; +\infty)$.
б) $y = \tg\frac{x}{8}$
1. Область определения ($D(y)$)
Аналогично предыдущему случаю, аргумент функции тангенса не должен принимать значения $\frac{\pi}{2} + \pi k$ для целых $k$.
Для функции $y = \tg\frac{x}{8}$ аргументом является $\alpha = \frac{x}{8}$. Условие для области определения:
$\frac{x}{8} \neq \frac{\pi}{2} + \pi k, \quad k \in \mathbb{Z}$
Умножив обе части неравенства на 8, находим $x$:
$x \neq 8 \cdot \left(\frac{\pi}{2} + \pi k\right)$
$x \neq 4\pi + 8\pi k, \quad k \in \mathbb{Z}$
Таким образом, функция определена для всех действительных чисел $x$, кроме точек вида $4\pi + 8\pi k$.
2. Множество значений ($E(y)$)
Преобразование аргумента (деление на 8) приводит к растяжению графика функции вдоль оси абсцисс, изменяя её период, но не влияет на множество значений. Множество значений функции тангенса всегда остаётся множеством всех действительных чисел.
Следовательно, множество значений функции $y = \tg\frac{x}{8}$ — это $(-\infty; +\infty)$.
Ответ: Область определения: $x \neq 4\pi + 8\pi k, k \in \mathbb{Z}$. Множество значений: $y \in (-\infty; +\infty)$.
Другие задания:
Помогло решение? Оставьте отзыв в комментариях ниже.
Присоединяйтесь к Телеграм-группе @gdz_by_belarus
ПрисоединитьсяМы подготовили для вас ответ c подробным объяснением домашего задания по алгебре за 10 класс, для упражнения номер 1.282 расположенного на странице 85 к учебнику 2019 года издания для учащихся школ и гимназий.
Теперь на нашем сайте ГДЗ.ТОП вы всегда легко и бесплатно найдёте условие с правильным ответом на вопрос «Как решить ДЗ» и «Как сделать» задание по алгебре к упражнению №1.282 (с. 85), авторов: Арефьева (Ирина Глебовна), Пирютко (Ольга Николаевна), учебного пособия издательства Народная асвета.