Номер 1.234, страница 74 - гдз по алгебре 10 класс учебник Арефьева, Пирютко

Алгебра, 10 класс Учебник, авторы: Арефьева Ирина Глебовна, Пирютко Ольга Николаевна, издательство Народная асвета, Минск, 2019, голубого цвета

Авторы: Арефьева И. Г., Пирютко О. Н.

Тип: Учебник

Издательство: Народная асвета

Год издания: 2019 - 2026

Цвет обложки: голубой с графиком

Допущено Министерством образования Республики Беларусь

Популярные ГДЗ в 10 классе

Глава 1. Тригонометрия. Параграф 5. Функции у=sin(x) и y=cos(x). Их свойства и графики - номер 1.234, страница 74.

№1.234 (с. 74)
Условие. №1.234 (с. 74)
скриншот условия
Алгебра, 10 класс Учебник, авторы: Арефьева Ирина Глебовна, Пирютко Ольга Николаевна, издательство Народная асвета, Минск, 2019, голубого цвета, страница 74, номер 1.234, Условие

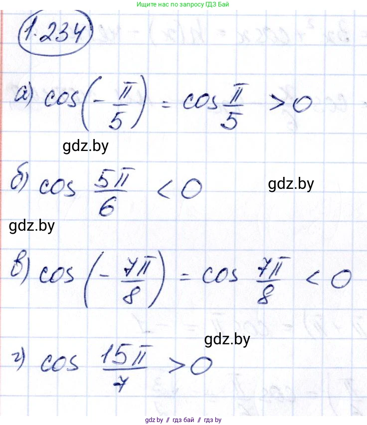
1.234. Сравните с нулем значение выражения:

a) $ \cos\left(-\frac{\pi}{5}\right) $;

б) $ \cos\frac{5\pi}{6} $;

в) $ \cos\left(-\frac{7\pi}{8}\right) $;

г) $ \cos\frac{15\pi}{7} $.

Решение. №1.234 (с. 74)
Алгебра, 10 класс Учебник, авторы: Арефьева Ирина Глебовна, Пирютко Ольга Николаевна, издательство Народная асвета, Минск, 2019, голубого цвета, страница 74, номер 1.234, Решение
Решение 2. №1.234 (с. 74)

Для сравнения значения выражения с нулем необходимо определить знак функции косинуса для заданного угла. Знак косинуса зависит от того, в какой координатной четверти находится угол:

  • $cos(\alpha) > 0$ в I и IV четвертях (т.е. для $\alpha \in (-\frac{\pi}{2} + 2\pi k, \frac{\pi}{2} + 2\pi k), k \in \mathbb{Z}$)
  • $cos(\alpha) < 0$ во II и III четвертях (т.е. для $\alpha \in (\frac{\pi}{2} + 2\pi k, \frac{3\pi}{2} + 2\pi k), k \in \mathbb{Z}$)

а) $cos(-\frac{\pi}{5})$

Функция косинуса является четной, то есть $cos(-x) = cos(x)$. Поэтому, $cos(-\frac{\pi}{5}) = cos(\frac{\pi}{5})$.
Угол $\frac{\pi}{5}$ находится в I координатной четверти, так как $0 < \frac{\pi}{5} < \frac{\pi}{2}$.
В этой четверти косинус положителен.

Ответ: $cos(-\frac{\pi}{5}) > 0$.

б) $cos(\frac{5\pi}{6})$

Угол $\frac{5\pi}{6}$ находится во II координатной четверти, так как $\frac{\pi}{2} < \frac{5\pi}{6} < \pi$.
В этой четверти косинус отрицателен.

Ответ: $cos(\frac{5\pi}{6}) < 0$.

в) $cos(-\frac{7\pi}{8})$

Так как косинус — четная функция, $cos(-\frac{7\pi}{8}) = cos(\frac{7\pi}{8})$.
Угол $\frac{7\pi}{8}$ находится во II координатной четверти, так как $\frac{\pi}{2} < \frac{7\pi}{8} < \pi$.
В этой четверти косинус отрицателен.

Ответ: $cos(-\frac{7\pi}{8}) < 0$.

г) $cos(\frac{15\pi}{7})$

Для определения знака приведем угол к значению в пределах от $0$ до $2\pi$. Для этого выделим целую часть из неправильной дроби $\frac{15}{7}$: $\frac{15}{7} = \mathbf{2}\frac{1}{7}$.
Таким образом, $\frac{15\pi}{7} = (\mathbf{2}+\frac{1}{7})\pi = 2\pi + \frac{\pi}{7}$.
Используя периодичность косинуса ($cos(x + 2\pi k) = cos(x)$), получаем:
$cos(\frac{15\pi}{7}) = cos(2\pi + \frac{\pi}{7}) = cos(\frac{\pi}{7})$.
Угол $\frac{\pi}{7}$ находится в I координатной четверти ($0 < \frac{\pi}{7} < \frac{\pi}{2}$), где косинус положителен.

Ответ: $cos(\frac{15\pi}{7}) > 0$.

Помогло решение? Оставьте отзыв в комментариях ниже.

Присоединяйтесь к Телеграм-группе @gdz_by_belarus

Присоединиться

Мы подготовили для вас ответ c подробным объяснением домашего задания по алгебре за 10 класс, для упражнения номер 1.234 расположенного на странице 74 к учебнику 2019 года издания для учащихся школ и гимназий.

Теперь на нашем сайте ГДЗ.ТОП вы всегда легко и бесплатно найдёте условие с правильным ответом на вопрос «Как решить ДЗ» и «Как сделать» задание по алгебре к упражнению №1.234 (с. 74), авторов: Арефьева (Ирина Глебовна), Пирютко (Ольга Николаевна), учебного пособия издательства Народная асвета.