Номер 1.211, страница 72 - гдз по алгебре 10 класс учебник Арефьева, Пирютко

Алгебра, 10 класс Учебник, авторы: Арефьева Ирина Глебовна, Пирютко Ольга Николаевна, издательство Народная асвета, Минск, 2019, голубого цвета

Авторы: Арефьева И. Г., Пирютко О. Н.

Тип: Учебник

Издательство: Народная асвета

Год издания: 2019 - 2026

Цвет обложки: голубой с графиком

Допущено Министерством образования Республики Беларусь

Популярные ГДЗ в 10 классе

Глава 1. Тригонометрия. Параграф 5. Функции у=sin(x) и y=cos(x). Их свойства и графики - номер 1.211, страница 72.

№1.211 (с. 72)
Условие. №1.211 (с. 72)
скриншот условия
Алгебра, 10 класс Учебник, авторы: Арефьева Ирина Глебовна, Пирютко Ольга Николаевна, издательство Народная асвета, Минск, 2019, голубого цвета, страница 72, номер 1.211, Условие

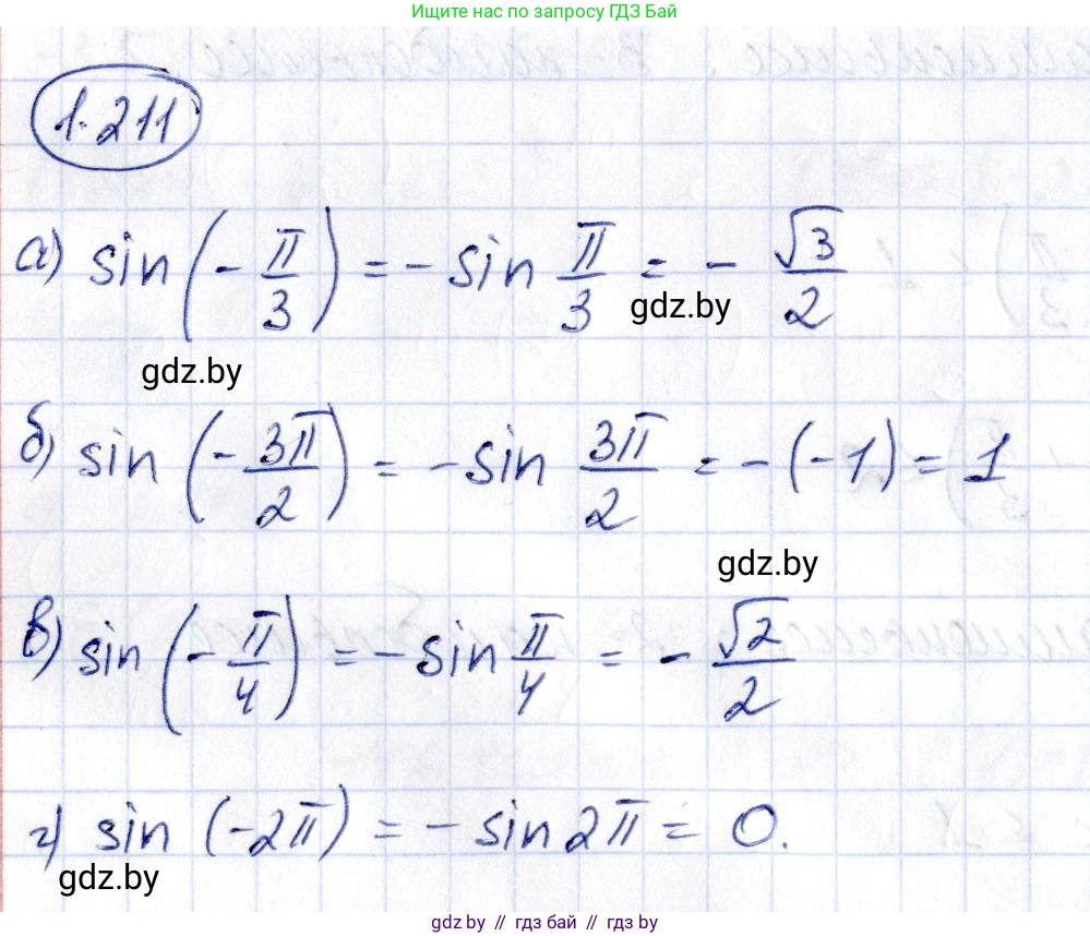
1.211. Используя свойство нечетности функции $f(x) = \sin x$, найдите:

а) $\sin(-\frac{\pi}{3});$

б) $\sin(-\frac{3\pi}{2});$

в) $\sin(-\frac{\pi}{4});$

г) $\sin(-2\pi).$

Решение. №1.211 (с. 72)
Алгебра, 10 класс Учебник, авторы: Арефьева Ирина Глебовна, Пирютко Ольга Николаевна, издательство Народная асвета, Минск, 2019, голубого цвета, страница 72, номер 1.211, Решение
Решение 2. №1.211 (с. 72)

Для решения данной задачи необходимо использовать свойство нечетности функции $f(x) = \sin x$. Функция называется нечетной, если для любого значения $x$ из ее области определения выполняется равенство $f(-x) = -f(x)$.

Для функции синуса это свойство выглядит следующим образом:

$\sin(-\alpha) = -\sin(\alpha)$

Применим это свойство к каждому из заданных выражений.

а) Найдем значение $\sin(-\frac{\pi}{3})$.
Используя свойство нечетности, выносим знак минус за пределы функции:
$\sin(-\frac{\pi}{3}) = -\sin(\frac{\pi}{3})$
Значение синуса для угла $\frac{\pi}{3}$ (что соответствует 60°) является табличным значением: $\sin(\frac{\pi}{3}) = \frac{\sqrt{3}}{2}$.
Следовательно:
$\sin(-\frac{\pi}{3}) = -\frac{\sqrt{3}}{2}$
Ответ: $-\frac{\sqrt{3}}{2}$

б) Найдем значение $\sin(-\frac{3\pi}{2})$.
Используя свойство нечетности:
$\sin(-\frac{3\pi}{2}) = -\sin(\frac{3\pi}{2})$
Значение синуса для угла $\frac{3\pi}{2}$ (что соответствует 270°) равно $-1$.
Следовательно:
$\sin(-\frac{3\pi}{2}) = -(-1) = 1$
Ответ: $1$

в) Найдем значение $\sin(-\frac{\pi}{4})$.
Используя свойство нечетности:
$\sin(-\frac{\pi}{4}) = -\sin(\frac{\pi}{4})$
Значение синуса для угла $\frac{\pi}{4}$ (что соответствует 45°) является табличным значением: $\sin(\frac{\pi}{4}) = \frac{\sqrt{2}}{2}$.
Следовательно:
$\sin(-\frac{\pi}{4}) = -\frac{\sqrt{2}}{2}$
Ответ: $-\frac{\sqrt{2}}{2}$

г) Найдем значение $\sin(-2\pi)$.
Используя свойство нечетности:
$\sin(-2\pi) = -\sin(2\pi)$
Угол $2\pi$ соответствует полному обороту на тригонометрической окружности, поэтому его синус равен синусу нуля: $\sin(2\pi) = \sin(0) = 0$.
Следовательно:
$\sin(-2\pi) = -0 = 0$
Ответ: $0$

Помогло решение? Оставьте отзыв в комментариях ниже.

Присоединяйтесь к Телеграм-группе @gdz_by_belarus

Присоединиться

Мы подготовили для вас ответ c подробным объяснением домашего задания по алгебре за 10 класс, для упражнения номер 1.211 расположенного на странице 72 к учебнику 2019 года издания для учащихся школ и гимназий.

Теперь на нашем сайте ГДЗ.ТОП вы всегда легко и бесплатно найдёте условие с правильным ответом на вопрос «Как решить ДЗ» и «Как сделать» задание по алгебре к упражнению №1.211 (с. 72), авторов: Арефьева (Ирина Глебовна), Пирютко (Ольга Николаевна), учебного пособия издательства Народная асвета.