Номер 1.148, страница 53 - гдз по алгебре 10 класс учебник Арефьева, Пирютко

Алгебра, 10 класс Учебник, авторы: Арефьева Ирина Глебовна, Пирютко Ольга Николаевна, издательство Народная асвета, Минск, 2019, голубого цвета

Авторы: Арефьева И. Г., Пирютко О. Н.

Тип: Учебник

Издательство: Народная асвета

Год издания: 2019 - 2026

Цвет обложки: голубой с графиком

Допущено Министерством образования Республики Беларусь

Популярные ГДЗ в 10 классе

Глава 1. Тригонометрия. Параграф 4. Соотношения между синусом, косинусом, тангенсом и котангенсом одного и того же угла (тригонометрические тождества) - номер 1.148, страница 53.

№1.148 (с. 53)
Условие. №1.148 (с. 53)
скриншот условия
Алгебра, 10 класс Учебник, авторы: Арефьева Ирина Глебовна, Пирютко Ольга Николаевна, издательство Народная асвета, Минск, 2019, голубого цвета, страница 53, номер 1.148, Условие

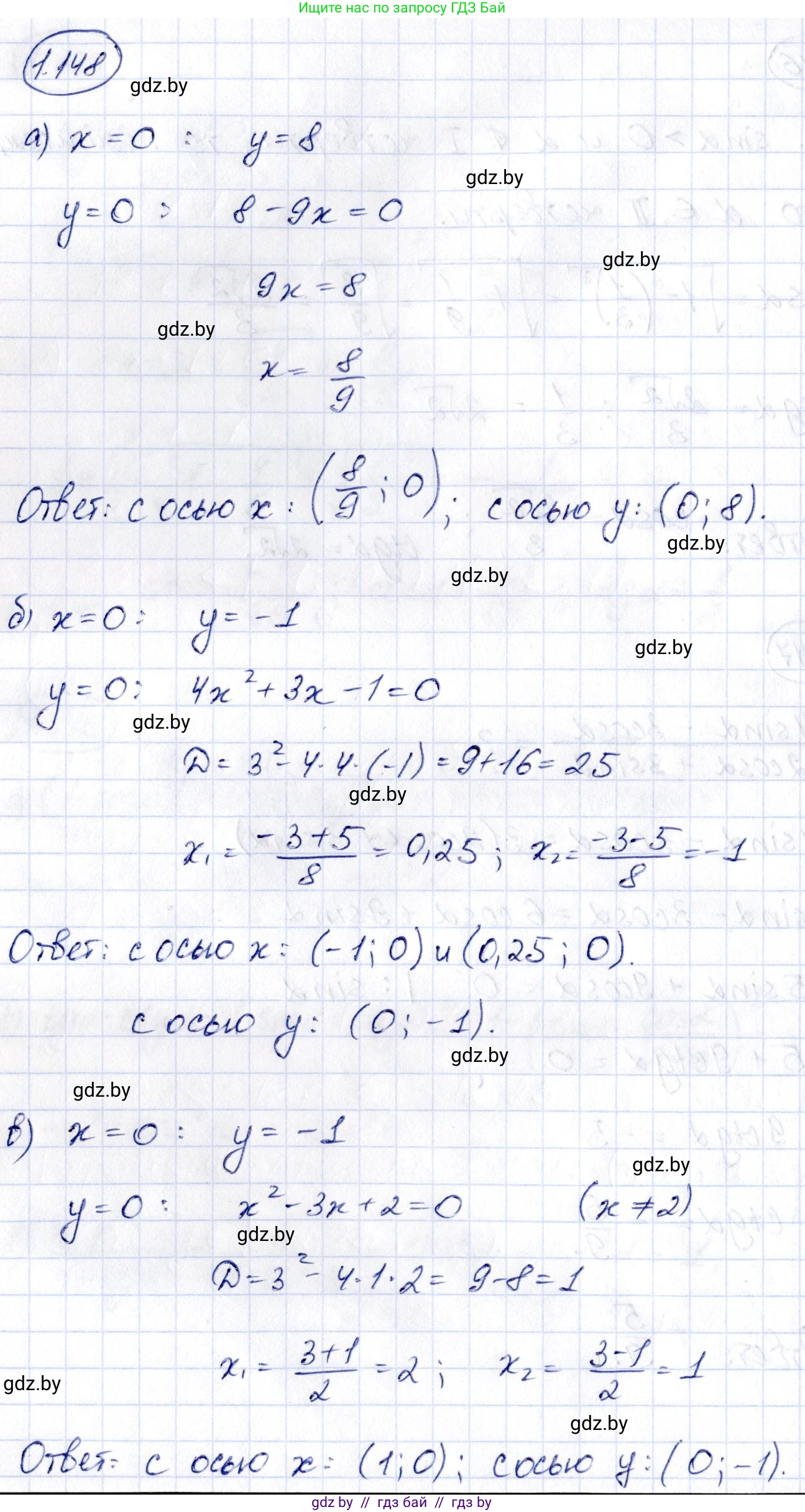
1.148. Найдите, не выполняя построения графика, точки пересечения с осями координат графика функции:

а) $f(x) = 8 - 9x$;

б) $f(x) = 4x^2 + 3x - 1$;

в) $f(x)=\frac{x^2-3x+2}{x-2}$.

Решение. №1.148 (с. 53)
Алгебра, 10 класс Учебник, авторы: Арефьева Ирина Глебовна, Пирютко Ольга Николаевна, издательство Народная асвета, Минск, 2019, голубого цвета, страница 53, номер 1.148, Решение
Решение 2. №1.148 (с. 53)

а) Для нахождения точек пересечения графика функции $f(x) = 8 - 9x$ с осями координат, выполним следующие действия:

1. Пересечение с осью ординат (осью Oy).
В точках пересечения с осью Oy координата $x$ равна нулю. Подставим $x = 0$ в уравнение функции:
$y = f(0) = 8 - 9 \cdot 0 = 8$.
Следовательно, точка пересечения с осью Oy имеет координаты $(0, 8)$.

2. Пересечение с осью абсцисс (осью Ox).
В точках пересечения с осью Ox координата $y$ (значение функции) равна нулю. Приравняем $f(x)$ к нулю:
$8 - 9x = 0$
$9x = 8$
$x = \frac{8}{9}$
Следовательно, точка пересечения с осью Ox имеет координаты $(\frac{8}{9}, 0)$.

Ответ: с осью Oy: $(0, 8)$; с осью Ox: $(\frac{8}{9}, 0)$.

б) Для нахождения точек пересечения графика функции $f(x) = 4x^2 + 3x - 1$ с осями координат:

1. Пересечение с осью ординат (осью Oy).
Подставим $x = 0$ в уравнение функции:
$y = f(0) = 4 \cdot 0^2 + 3 \cdot 0 - 1 = -1$.
Точка пересечения с осью Oy: $(0, -1)$.

2. Пересечение с осью абсцисс (осью Ox).
Приравняем функцию к нулю $f(x) = 0$:
$4x^2 + 3x - 1 = 0$.
Это квадратное уравнение. Найдем его корни через дискриминант:
$D = b^2 - 4ac = 3^2 - 4 \cdot 4 \cdot (-1) = 9 + 16 = 25$.
$x_{1} = \frac{-b - \sqrt{D}}{2a} = \frac{-3 - \sqrt{25}}{2 \cdot 4} = \frac{-3 - 5}{8} = \frac{-8}{8} = -1$.
$x_{2} = \frac{-b + \sqrt{D}}{2a} = \frac{-3 + \sqrt{25}}{2 \cdot 4} = \frac{-3 + 5}{8} = \frac{2}{8} = \frac{1}{4}$.
Точки пересечения с осью Ox: $(-1, 0)$ и $(\frac{1}{4}, 0)$.

Ответ: с осью Oy: $(0, -1)$; с осью Ox: $(-1, 0)$ и $(\frac{1}{4}, 0)$.

в) Для нахождения точек пересечения графика функции $f(x) = \frac{x^2 - 3x + 2}{x - 2}$ с осями координат:

Сначала определим область определения функции. Знаменатель дроби не должен быть равен нулю:
$x - 2 \neq 0 \implies x \neq 2$.

1. Пересечение с осью ординат (осью Oy).
Подставим $x = 0$ (это значение входит в область определения):
$y = f(0) = \frac{0^2 - 3 \cdot 0 + 2}{0 - 2} = \frac{2}{-2} = -1$.
Точка пересечения с осью Oy: $(0, -1)$.

2. Пересечение с осью абсцисс (осью Ox).
Приравняем функцию к нулю $f(x) = 0$:
$\frac{x^2 - 3x + 2}{x - 2} = 0$.
Дробь равна нулю, когда ее числитель равен нулю, а знаменатель при этом не равен нулю.
$x^2 - 3x + 2 = 0$.
По теореме Виета (или через дискриминант) находим корни: $x_1 = 1$, $x_2 = 2$.
Проверим эти корни на соответствие области определения ($x \neq 2$):
- Корень $x = 1$ удовлетворяет условию. Значит, это точка пересечения с осью Ox. Координаты: $(1, 0)$.
- Корень $x = 2$ не входит в область определения функции. Следовательно, в этой точке график не пересекает ось Ox. На графике в этой точке будет "выколотая точка" (точка разрыва).

Ответ: с осью Oy: $(0, -1)$; с осью Ox: $(1, 0)$.

Помогло решение? Оставьте отзыв в комментариях ниже.

Присоединяйтесь к Телеграм-группе @gdz_by_belarus

Присоединиться

Мы подготовили для вас ответ c подробным объяснением домашего задания по алгебре за 10 класс, для упражнения номер 1.148 расположенного на странице 53 к учебнику 2019 года издания для учащихся школ и гимназий.

Теперь на нашем сайте ГДЗ.ТОП вы всегда легко и бесплатно найдёте условие с правильным ответом на вопрос «Как решить ДЗ» и «Как сделать» задание по алгебре к упражнению №1.148 (с. 53), авторов: Арефьева (Ирина Глебовна), Пирютко (Ольга Николаевна), учебного пособия издательства Народная асвета.