Номер 10, страница 186 - гдз по алгебре 10 класс сборник задач Арефьева, Пирютко

Алгебра, 10 класс Сборник задач, авторы: Арефьева Ирина Глебовна, Пирютко Ольга Николаевна, издательство Народная асвета, Минск, 2020, белого цвета

Авторы: Арефьева И. Г., Пирютко О. Н.

Тип: Сборник задач

Издательство: Народная асвета

Год издания: 2020 - 2026

Уровень обучения: базовый и повышенный

Цвет обложки: белый, голубой с графиком

Допущено Министерством образования Республики Беларусь

Популярные ГДЗ в 10 классе

Повторение. Тематические тесты. Тест 2. Преобразования рациональных выражений - номер 10, страница 186.

№10 (с. 186)
Условие. №10 (с. 186)
скриншот условия
Алгебра, 10 класс Сборник задач, авторы: Арефьева Ирина Глебовна, Пирютко Ольга Николаевна, издательство Народная асвета, Минск, 2020, белого цвета, страница 186, номер 10, Условие

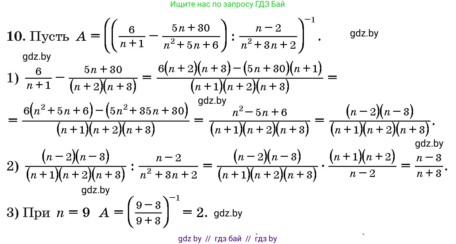
10. Упростите выражение $<\left(\left(\frac{6}{n+1}-\frac{5n+30}{n^2+5n+6}\right):\frac{n-2}{n^2+3n+2}\right)^{-1}>$ и найдите его значение при $n=9$.

Решение. №10 (с. 186)
Алгебра, 10 класс Сборник задач, авторы: Арефьева Ирина Глебовна, Пирютко Ольга Николаевна, издательство Народная асвета, Минск, 2020, белого цвета, страница 186, номер 10, Решение
Решение 2. №10 (с. 186)

Для решения задачи сначала упростим данное выражение, а затем найдем его значение при $n=9$. Решение будет состоять из двух частей.

Упрощение выражения

Исходное выражение: $ ((\frac{6}{n+1} - \frac{5n+30}{n^2+5n+6}) : \frac{n-2}{n^2+3n+2})^{-1} $.

Сначала разложим на множители квадратные трехчлены в знаменателях, найдя корни соответствующих квадратных уравнений.

Для $n^2+5n+6$: корни уравнения $n^2+5n+6=0$ по теореме Виета равны -2 и -3. Следовательно, $n^2+5n+6 = (n+2)(n+3)$.

Для $n^2+3n+2$: корни уравнения $n^2+3n+2=0$ по теореме Виета равны -1 и -2. Следовательно, $n^2+3n+2 = (n+1)(n+2)$.

Теперь выполним действия по порядку.

1. Вычитание в скобках. Также вынесем общий множитель в числителе $5n+30=5(n+6)$:

$\frac{6}{n+1} - \frac{5(n+6)}{(n+2)(n+3)}$

Приведем дроби к общему знаменателю $(n+1)(n+2)(n+3)$:

$\frac{6(n+2)(n+3) - 5(n+6)(n+1)}{(n+1)(n+2)(n+3)}$

Раскроем скобки в числителе и приведем подобные слагаемые:

$6(n^2+5n+6) - 5(n^2+7n+6) = 6n^2+30n+36 - 5n^2-35n-30 = n^2-5n+6$

Разложим полученный числитель $n^2-5n+6$ на множители: $(n-2)(n-3)$.

Результат вычитания: $\frac{(n-2)(n-3)}{(n+1)(n+2)(n+3)}$.

2. Деление:

$\frac{(n-2)(n-3)}{(n+1)(n+2)(n+3)} : \frac{n-2}{(n+1)(n+2)} = \frac{(n-2)(n-3)}{(n+1)(n+2)(n+3)} \cdot \frac{(n+1)(n+2)}{n-2}$

Сокращаем одинаковые множители в числителе и знаменателе:

$\frac{\cancel{(n-2)}(n-3)}{\cancel{(n+1)}\cancel{(n+2)}(n+3)} \cdot \frac{\cancel{(n+1)}\cancel{(n+2)}}{\cancel{n-2}} = \frac{n-3}{n+3}$

3. Возведение в степень -1:

$(\frac{n-3}{n+3})^{-1} = \frac{n+3}{n-3}$

Упрощение выражения: Ответ: $\frac{n+3}{n-3}$

Нахождение значения при n = 9

Подставим $n=9$ в полученное упрощенное выражение:

$\frac{9+3}{9-3} = \frac{12}{6}$

Дробь $\frac{12}{6}$ является неправильной, ее значение равно 2.

Нахождение значения при n = 9: Ответ: 2

Помогло решение? Оставьте отзыв в комментариях ниже.

Присоединяйтесь к Телеграм-группе @gdz_by_belarus

Присоединиться

Мы подготовили для вас ответ c подробным объяснением домашего задания по алгебре за 10 класс, для упражнения номер 10 расположенного на странице 186 к сборнику задач 2020 года издания для учащихся школ и гимназий.

Теперь на нашем сайте ГДЗ.ТОП вы всегда легко и бесплатно найдёте условие с правильным ответом на вопрос «Как решить ДЗ» и «Как сделать» задание по алгебре к упражнению №10 (с. 186), авторов: Арефьева (Ирина Глебовна), Пирютко (Ольга Николаевна), базовый и повышенный уровень обучения учебного пособия издательства Народная асвета.