Номер 15.2, страница 84 - гдз по алгебре 10 класс сборник задач Арефьева, Пирютко

Алгебра, 10 класс Сборник задач, авторы: Арефьева Ирина Глебовна, Пирютко Ольга Николаевна, издательство Народная асвета, Минск, 2020, белого цвета

Авторы: Арефьева И. Г., Пирютко О. Н.

Тип: Сборник задач

Издательство: Народная асвета

Год издания: 2020 - 2026

Уровень обучения: базовый и повышенный

Цвет обложки: белый, голубой с графиком

Допущено Министерством образования Республики Беларусь

Популярные ГДЗ в 10 классе

Глава 3. Тригонометрия. Параграф 15. Синус, косинус, тангенс суммы и разности - номер 15.2, страница 84.

№15.2 (с. 84)
Условие. №15.2 (с. 84)
скриншот условия
Алгебра, 10 класс Сборник задач, авторы: Арефьева Ирина Глебовна, Пирютко Ольга Николаевна, издательство Народная асвета, Минск, 2020, белого цвета, страница 84, номер 15.2, Условие

15.2. Найдите значение выражения:

а) $\frac{\sin 58^\circ \cos 13^\circ - \cos 58^\circ \sin 13^\circ}{\cos 58^\circ \cos 13^\circ + \sin 58^\circ \sin 13^\circ}$;

б) $\frac{\cos 64^\circ \cos 4^\circ - \cos 86^\circ \cos 26^\circ}{\cos 71^\circ \cos 41^\circ - \cos 49^\circ \cos 19^\circ}$;

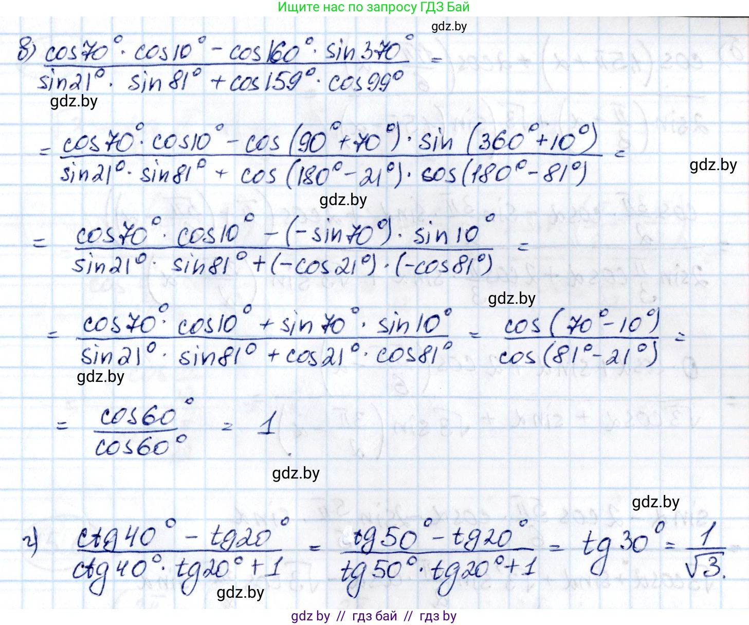
В) $\frac{\cos 70^\circ \cos 10^\circ - \cos 160^\circ \sin 370^\circ}{\sin 21^\circ \sin 81^\circ + \cos 159^\circ \cos 99^\circ}$;

Г) $\frac{\cot 40^\circ - \tan 20^\circ}{\cot 40^\circ \tan 20^\circ + 1}$.

Решение. №15.2 (с. 84)
Алгебра, 10 класс Сборник задач, авторы: Арефьева Ирина Глебовна, Пирютко Ольга Николаевна, издательство Народная асвета, Минск, 2020, белого цвета, страница 84, номер 15.2, Решение Алгебра, 10 класс Сборник задач, авторы: Арефьева Ирина Глебовна, Пирютко Ольга Николаевна, издательство Народная асвета, Минск, 2020, белого цвета, страница 84, номер 15.2, Решение (продолжение 2)
Решение 2. №15.2 (с. 84)

а) В числителе выражения $\frac{\sin58^\circ\cos13^\circ - \cos58^\circ\sin13^\circ}{\cos58^\circ\cos13^\circ + \sin58^\circ\sin13^\circ}$ используется формула синуса разности углов: $\sin(\alpha - \beta) = \sin\alpha\cos\beta - \cos\alpha\sin\beta$.
В знаменателе используется формула косинуса разности углов: $\cos(\alpha - \beta) = \cos\alpha\cos\beta + \sin\alpha\sin\beta$.
Применим эти формулы, где $\alpha = 58^\circ$ и $\beta = 13^\circ$:
Числитель: $\sin(58^\circ - 13^\circ) = \sin45^\circ$.
Знаменатель: $\cos(58^\circ - 13^\circ) = \cos45^\circ$.
Всё выражение принимает вид:$\frac{\sin45^\circ}{\cos45^\circ} = \text{tg}45^\circ = 1$.
Ответ: 1.

б) Преобразуем выражение $\frac{\cos64^\circ\cos4^\circ - \cos86^\circ\cos26^\circ}{\cos71^\circ\cos41^\circ - \cos49^\circ\cos19^\circ}$, используя формулы приведения, в частности, $\cos(90^\circ - \alpha) = \sin\alpha$.
Рассмотрим числитель: $\cos86^\circ = \cos(90^\circ - 4^\circ) = \sin4^\circ$ и $\cos26^\circ = \cos(90^\circ - 64^\circ) = \sin64^\circ$.
Числитель становится равен $\cos64^\circ\cos4^\circ - \sin64^\circ\sin4^\circ$. Это формула косинуса суммы $\cos(\alpha+\beta) = \cos\alpha\cos\beta - \sin\alpha\sin\beta$.
Таким образом, числитель равен $\cos(64^\circ + 4^\circ) = \cos68^\circ$.
Рассмотрим знаменатель: $\cos49^\circ = \cos(90^\circ - 41^\circ) = \sin41^\circ$ и $\cos19^\circ = \cos(90^\circ - 71^\circ) = \sin71^\circ$.
Знаменатель становится равен $\cos71^\circ\cos41^\circ - \sin71^\circ\sin41^\circ$. Это также формула косинуса суммы.
Таким образом, знаменатель равен $\cos(71^\circ + 41^\circ) = \cos112^\circ$.
Получаем дробь: $\frac{\cos68^\circ}{\cos112^\circ}$.
Используем формулу приведения $\cos(180^\circ - \alpha) = -\cos\alpha$:
$\cos112^\circ = \cos(180^\circ - 68^\circ) = -\cos68^\circ$.
Подставляем и получаем результат: $\frac{\cos68^\circ}{-\cos68^\circ} = -1$.
Ответ: -1.

в) Упростим выражение $\frac{\cos70^\circ\cos10^\circ - \cos160^\circ\sin370^\circ}{\sin21^\circ\sin81^\circ + \cos159^\circ\cos99^\circ}$, используя формулы приведения.
Преобразуем числитель. Используем $\cos160^\circ = \cos(90^\circ + 70^\circ) = -\sin70^\circ$ и $\sin370^\circ = \sin(360^\circ + 10^\circ) = \sin10^\circ$.
Числитель: $\cos70^\circ\cos10^\circ - (-\sin70^\circ)(\sin10^\circ) = \cos70^\circ\cos10^\circ + \sin70^\circ\sin10^\circ$.
Это формула косинуса разности $\cos(\alpha - \beta)$, значит числитель равен $\cos(70^\circ - 10^\circ) = \cos60^\circ = \frac{1}{2}$.
Преобразуем знаменатель. Используем $\sin81^\circ = \sin(90^\circ - 9^\circ) = \cos9^\circ$, $\cos159^\circ = \cos(180^\circ - 21^\circ) = -\cos21^\circ$ и $\cos99^\circ = \cos(90^\circ + 9^\circ) = -\sin9^\circ$.
Знаменатель: $\sin21^\circ(\cos9^\circ) + (-\cos21^\circ)(-\sin9^\circ) = \sin21^\circ\cos9^\circ + \cos21^\circ\sin9^\circ$.
Это формула синуса суммы $\sin(\alpha + \beta)$, значит знаменатель равен $\sin(21^\circ + 9^\circ) = \sin30^\circ = \frac{1}{2}$.
В результате получаем: $\frac{\cos60^\circ}{\sin30^\circ} = \frac{1/2}{1/2} = 1$.
Ответ: 1.

г) Для нахождения значения выражения $\frac{\text{ctg}\,40^\circ - \text{tg}\,20^\circ}{\text{ctg}\,40^\circ \text{tg}\,20^\circ + 1}$ преобразуем котангенс и тангенс через синус и косинус: $\text{ctg}\,\alpha = \frac{\cos\alpha}{\sin\alpha}$, $\text{tg}\,\beta = \frac{\sin\beta}{\cos\beta}$.
Преобразуем числитель исходного выражения:
$\text{ctg}\,40^\circ - \text{tg}\,20^\circ = \frac{\cos40^\circ}{\sin40^\circ} - \frac{\sin20^\circ}{\cos20^\circ} = \frac{\cos40^\circ\cos20^\circ - \sin40^\circ\sin20^\circ}{\sin40^\circ\cos20^\circ}$.
В числителе полученной дроби формула косинуса суммы, $\cos(40^\circ+20^\circ) = \cos60^\circ$. Таким образом, числитель исходного выражения равен $\frac{\cos60^\circ}{\sin40^\circ\cos20^\circ}$.
Преобразуем знаменатель исходного выражения:
$\text{ctg}\,40^\circ \text{tg}\,20^\circ + 1 = \frac{\cos40^\circ}{\sin40^\circ}\frac{\sin20^\circ}{\cos20^\circ} + 1 = \frac{\cos40^\circ\sin20^\circ + \sin40^\circ\cos20^\circ}{\sin40^\circ\cos20^\circ}$.
В числителе полученной дроби формула синуса суммы, $\sin(40^\circ+20^\circ) = \sin60^\circ$. Таким образом, знаменатель исходного выражения равен $\frac{\sin60^\circ}{\sin40^\circ\cos20^\circ}$.
Теперь разделим преобразованный числитель на преобразованный знаменатель:
$\frac{\frac{\cos60^\circ}{\sin40^\circ\cos20^\circ}}{\frac{\sin60^\circ}{\sin40^\circ\cos20^\circ}} = \frac{\cos60^\circ}{\sin60^\circ} = \text{ctg}\,60^\circ = \frac{\sqrt{3}}{3}$.
Ответ: $\frac{\sqrt{3}}{3}$.

Помогло решение? Оставьте отзыв в комментариях ниже.

Присоединяйтесь к Телеграм-группе @gdz_by_belarus

Присоединиться

Мы подготовили для вас ответ c подробным объяснением домашего задания по алгебре за 10 класс, для упражнения номер 15.2 расположенного на странице 84 к сборнику задач 2020 года издания для учащихся школ и гимназий.

Теперь на нашем сайте ГДЗ.ТОП вы всегда легко и бесплатно найдёте условие с правильным ответом на вопрос «Как решить ДЗ» и «Как сделать» задание по алгебре к упражнению №15.2 (с. 84), авторов: Арефьева (Ирина Глебовна), Пирютко (Ольга Николаевна), базовый и повышенный уровень обучения учебного пособия издательства Народная асвета.