Номер 13.17, страница 75 - гдз по алгебре 10 класс сборник задач Арефьева, Пирютко

Алгебра, 10 класс Сборник задач, авторы: Арефьева Ирина Глебовна, Пирютко Ольга Николаевна, издательство Народная асвета, Минск, 2020, белого цвета

Авторы: Арефьева И. Г., Пирютко О. Н.

Тип: Сборник задач

Издательство: Народная асвета

Год издания: 2020 - 2026

Уровень обучения: базовый и повышенный

Цвет обложки: белый, голубой с графиком

Допущено Министерством образования Республики Беларусь

Популярные ГДЗ в 10 классе

Глава 3. Тригонометрия. Параграф 13. Тригонометрические уравнения. Тригонометрические неравенства - номер 13.17, страница 75.

№13.17 (с. 75)
Условие. №13.17 (с. 75)
скриншот условия
Алгебра, 10 класс Сборник задач, авторы: Арефьева Ирина Глебовна, Пирютко Ольга Николаевна, издательство Народная асвета, Минск, 2020, белого цвета, страница 75, номер 13.17, Условие

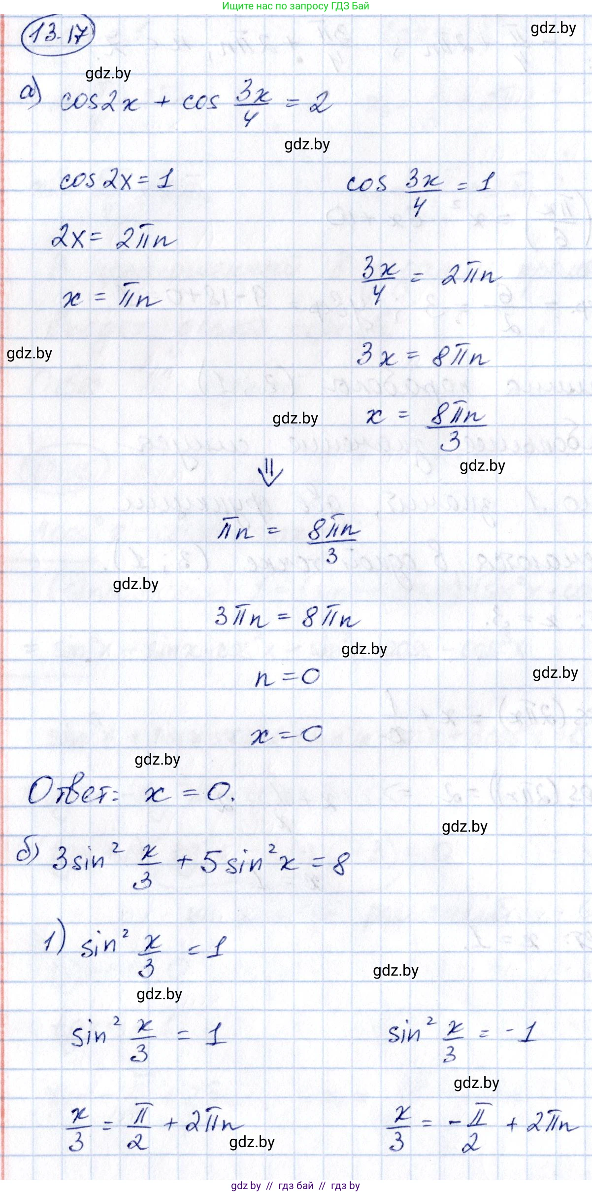
13.17. Решите уравнение, используя множество значений функций синус и косинус:

а) $\cos(2x) + \cos(\frac{3x}{4}) = 2$;

б) $3\sin^2(\frac{x}{3}) + 5\sin^2(x) = 8$.

Решение. №13.17 (с. 75)
Алгебра, 10 класс Сборник задач, авторы: Арефьева Ирина Глебовна, Пирютко Ольга Николаевна, издательство Народная асвета, Минск, 2020, белого цвета, страница 75, номер 13.17, Решение Алгебра, 10 класс Сборник задач, авторы: Арефьева Ирина Глебовна, Пирютко Ольга Николаевна, издательство Народная асвета, Минск, 2020, белого цвета, страница 75, номер 13.17, Решение (продолжение 2)
Решение 2. №13.17 (с. 75)

а) $\cos(2x) + \cos\frac{3x}{4} = 2$

Данное уравнение решается с использованием оценки множества значений функции косинус. Известно, что для любого угла $\alpha$ значение функции косинус находится в пределах от -1 до 1, то есть $-1 \le \cos\alpha \le 1$.

Следовательно, мы имеем:

$-1 \le \cos(2x) \le 1$

$-1 \le \cos\left(\frac{3x}{4}\right) \le 1$

Сумма двух этих выражений может быть равна 2 только в том случае, когда каждое из слагаемых равно своему максимальному значению, то есть 1. Таким образом, исходное уравнение равносильно системе уравнений:

$$ \begin{cases} \cos(2x) = 1 \\ \cos\left(\frac{3x}{4}\right) = 1 \end{cases} $$

Решим каждое уравнение системы по отдельности.

1. Из уравнения $\cos(2x) = 1$ следует, что $2x = 2\pi k$, где $k \in \mathbb{Z}$ (целые числа). Отсюда $x = \pi k, k \in \mathbb{Z}$.

2. Из уравнения $\cos(\frac{3x}{4}) = 1$ следует, что $\frac{3x}{4} = 2\pi n$, где $n \in \mathbb{Z}$. Отсюда $3x = 8\pi n$, и $x = \frac{8\pi n}{3}, n \in \mathbb{Z}$.

Теперь необходимо найти пересечение множеств решений, то есть найти такие значения $x$, которые удовлетворяют обоим условиям. Для этого приравняем полученные выражения для $x$:

$\pi k = \frac{8\pi n}{3}$

$k = \frac{8n}{3}$

Поскольку $k$ должно быть целым числом, $8n$ должно быть кратно 3. Так как числа 8 и 3 взаимно простые, $n$ должно быть кратно 3. Положим $n = 3m$, где $m \in \mathbb{Z}$.

Подставим это значение $n$ в выражение для $x$ из второго уравнения:

$x = \frac{8\pi (3m)}{3} = 8\pi m, m \in \mathbb{Z}$.

Обозначив целочисленный параметр снова через $n$, получаем решение.

а) Ответ: $x = 8\pi n, n \in \mathbb{Z}$.

б) $3\sin^2\frac{x}{3} + 5\sin^2x = 8$

Это уравнение также решается методом оценки. Известно, что $-1 \le \sin\alpha \le 1$, следовательно, для квадрата синуса имеем $0 \le \sin^2\alpha \le 1$.

Таким образом, для слагаемых в левой части уравнения верны следующие неравенства:

$0 \le 3\sin^2\left(\frac{x}{3}\right) \le 3$

$0 \le 5\sin^2(x) \le 5$

Сумма этих двух слагаемых может достигать максимального значения $3 + 5 = 8$. Равенство в исходном уравнении возможно тогда и только тогда, когда оба слагаемых принимают свои максимальные значения. Это означает, что оба множителя $\sin^2$ должны быть равны 1.

Уравнение равносильно системе:

$$ \begin{cases} \sin^2\left(\frac{x}{3}\right) = 1 \\ \sin^2(x) = 1 \end{cases} $$

Решим каждое уравнение.

1. Уравнение $\sin^2(\frac{x}{3}) = 1$ равносильно тому, что $\sin(\frac{x}{3}) = \pm 1$. Решения имеют вид: $\frac{x}{3} = \frac{\pi}{2} + \pi k$, где $k \in \mathbb{Z}$. Отсюда $x = \frac{3\pi}{2} + 3\pi k, k \in \mathbb{Z}$.

2. Уравнение $\sin^2(x) = 1$ равносильно тому, что $\sin(x) = \pm 1$. Решения имеют вид: $x = \frac{\pi}{2} + \pi n$, где $n \in \mathbb{Z}$.

Теперь найдем пересечение этих двух множеств решений. Проверим, являются ли решения первого уравнения также и решениями второго. Подставим $x = \frac{3\pi}{2} + 3\pi k$ во второе условие $\sin^2(x) = 1$:

$\sin^2\left(\frac{3\pi}{2} + 3\pi k\right) = \left(\sin\left(\frac{3\pi}{2} + 3\pi k\right)\right)^2$.

Используя периодичность и формулы приведения, получаем, что $\sin(\frac{3\pi}{2} + 3\pi k)$ равно $-1$ для четных $k$ и $1$ для нечетных $k$. В любом случае, квадрат этого значения равен 1. Значит, все решения первого уравнения удовлетворяют второму.

Следовательно, решением системы является множество решений первого уравнения: $x = \frac{3\pi}{2} + 3\pi k, k \in \mathbb{Z}$.

Выделим целую часть из неправильной дроби $\frac{3}{2}$, которая является коэффициентом при $\pi$: $\frac{3}{2} = 1\frac{1}{2}$.

б) Ответ: $x = \mathbf{1}\frac{1}{2}\pi + 3\pi k, k \in \mathbb{Z}$.

Помогло решение? Оставьте отзыв в комментариях ниже.

Присоединяйтесь к Телеграм-группе @gdz_by_belarus

Присоединиться

Мы подготовили для вас ответ c подробным объяснением домашего задания по алгебре за 10 класс, для упражнения номер 13.17 расположенного на странице 75 к сборнику задач 2020 года издания для учащихся школ и гимназий.

Теперь на нашем сайте ГДЗ.ТОП вы всегда легко и бесплатно найдёте условие с правильным ответом на вопрос «Как решить ДЗ» и «Как сделать» задание по алгебре к упражнению №13.17 (с. 75), авторов: Арефьева (Ирина Глебовна), Пирютко (Ольга Николаевна), базовый и повышенный уровень обучения учебного пособия издательства Народная асвета.